banner
II – MÉTODO Y CONFIGURACIÓN EXPERIMENTAL

En la exposición de este estudio, se ha utilizado un dispositivo
transmisor de señales que genera una onda electromagnética homogénea y
uniforme. Se considera que la frecuencia del dispositivo es constante y
f0.
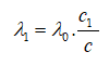
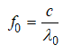
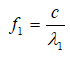
Con este valor de frecuencia, la longitud de onda de las señales
sinusoidales producidas por el dispositivo será, según la ecuación c = f0 . λ0 . Por lo tanto, los valores f0
y λ0 se consideran características
básicas de fábrica del dispositivo. Se supone que todas las operaciones
de envío de señales tratadas en el estudio se llevan a cabo con estos
generadores de señales de frecuencia fija. Uno de estos dispositivos se
coloca en el avión y los demás en las torres de señales.

Figura 1 – Dispositivo utilizado en el estudio.
Nota informativa:
Todas las figuras utilizadas en este artículo se han creado a partir de
fotogramas tomados de las animaciones correspondientes. El símbolo de
estrella (★) en las descripciones de las figuras indica que la figura
correspondiente tiene una animación visible.
Aquí, mientras lee el artículo, también puede ver estas animaciones.

Configuración experimental:
En la Primera Sección de la explicación:

Como se muestra en la Figura 2 a continuación, hay una torre en la
posición O en el centro y dos
torres laterales en las posiciones A
y B.

Figura 2 – La torre en
la posición O envía señales a las torres A y B.

En la Figura 3, un avión pasa sobre la posición O, y de nuevo hay torres en las
posiciones A y B.

Figura 3 – Cuando el
avión pasa sobre la posición O,
comienza a enviar señales a las torres A
y B.
Las distancias de las torres laterales A y B
a la posición O son iguales
entre sí. En el estudio, primero se enviaron señales desde la torre
central a las torres laterales A
y B, y después se enviaron
señales desde el avión a las torres A
y B, y se compararon ambas
situaciones; los cambios de longitud de onda debidos al Desplazamiento
Doppler y las velocidades de la señal se analizaron a partir de estas
comparaciones.

En la Segunda Sección de la exposición:

Como se muestra en la Figura 4, esta vez se enviaron señales desde
las torres laterales A y B hacia el avión situado en el
centro, y de nuevo se estudiaron el cambio de longitud de onda y las
velocidades de la señal que aparecen debido al Desplazamiento Doppler.

Figura 4 – Cuando el
avión pasa sobre la posición O, las torres A y B comienzan a enviar
señales.
Con el fin de que pueda verse claramente cómo la formación del
Desplazamiento Doppler y las velocidades de la señal difieren según los
sistemas de referencia de la fuente y del destino, el movimiento de las
torres y del avión se ha elegido sobre una misma línea recta. De este
modo, se muestra de forma más clara de qué magnitudes físicas provienen
los cambios en la longitud de onda y en la velocidad de la onda.
III – EXPOSICIÓN DEL TEMA Y DESARROLLO DEL SUCESO (Primera Sección)

1) Se envía la señal desde la torre
central
La torre situada en la posición central O envía señales a las torres A y B,
que se encuentran a la misma distancia de ella.


Figura 5 – La torre
central envía señales a las torres laterales.

Desarrollo del suceso:

− La torre comienza a enviar la
señal en el momento
t1.

− Las señales que se mueven en
ambas direcciones llegan a las torres laterales en el momento
t2.

− Tiempo de viaje de la señal:
t
=
t2 −
t1

− Los recorridos de las señales
que van hacia la derecha y la izquierda

Dado que la velocidad de la señal
es “
c”:
AO = BO = c·t

− Representación del recorrido en
términos de longitud de onda:

Las torres emisora y
receptora están inmóviles entre sí. Por lo tanto, no hay ningún cambio
en la longitud de onda de la señal, y se mantiene válida la longitud de
onda fija
λ0 del
dispositivo.

Por lo tanto, el
recorrido es:
AO = BO = n·λ0

El valor de n:

n = c·t / λ
0

Como las torres están
inmóviles entre sí, aquí la longitud de onda de la señal no cambiará.
En la Figura 6 de abajo se muestran el momento de llegada de las
señales y las ecuaciones matemáticas relacionadas.

flash
2) Envío de señales desde el avión
a las torres
Cuando el avión pasa por la posición O, comienza a enviar señales a las
torres en ambos lados. Se acepta que la velocidad del avión es “v”.

Figura 7 – El avión envía
señales a las torres laterales.

Debido al movimiento del avión, se observa claramente que las longitudes de onda de las señales
cambian. En la versión animada de la figura, esta situación
puede verse claramente sin ninguna explicación adicional.
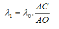
− Las longitudes de onda de las
señales que van hacia la torre A,
situada detrás del avión, están alargadas
y se muestran como λ1.
− Las longitudes de onda de las
señales que van hacia la torre B,
situada delante del avión, están acortadas y se muestran como λ2.

Resumen del desarrollo del suceso:
En el instante t1, cuando el avión se encuentra en
la posición O, comienza la
emisión de la señal.
− Como las señales parten de la
posición O, llegan a las
torres A y B, que están a igual distancia del
punto O, en el mismo instante t2
.
− Tiempo de viaje de las señales: t
= t2 − t1
− En el instante inicial del
suceso, t1, el avión está en la posición O. Durante el tiempo que transcurre
hasta que las señales alcanzan las torres, el avión se mueve con
velocidad v y, en el instante t2, llega a la
posición C.
La distancia recorrida por
el avión durante este tiempo: CO =
v·t
− El avión emite señales en ambas
direcciones con la misma frecuencia.
Por ello, el número de trenes de ondas que se forman en ambas
direcciones es igual. Este número se indica en la figura con “n”.

En el propio sistema de
referencia del avión, los recorridos de las señales que envía a
las torres se muestran así:
Señal que va hacia la izquierda
(dirección de la torre A):
La torre A se aleja del avión
con velocidad v. En este caso, el recorrido de la señal que va
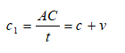
hacia la torre A:
En términos de velocidad y tiempo: AC
= c·t + v·t = (c+v)·t
En términos de longitud de onda:
AC = n · λ1
Señal que va hacia la derecha
(dirección de la torre B):
La torre B se aproxima al
avión con velocidad v. En este caso,
el recorrido de la señal que va hacia la torre B:
En términos de velocidad y tiempo: BC
= c·t − v·t = (c−v)·t
En términos de longitud de onda: BC =
n · λ2

En la figura siguiente se muestran el instante de llegada de las
señales a las torres A y B y las ecuaciones matemáticas
correspondientes.
En este punto podemos ver claramente
el error fundamental cometido en la Teoría Electromagnética.
Según la Teoría Electromagnética, la velocidad de las señales
electromagnéticas enviadas desde una fuente debe ser siempre “c”, independientemente de qué sistema
de referencia se considere. En el sistema de referencia de la Tierra y
en los sistemas de referencia de las torres laterales A y B,
el hecho de que la velocidad de las señales sea “c” se ve
claramente en la figura y no admite discusión. En cambio, cuando pasamos al sistema de referencia del
avión, el cuadro físico cambia por completo. En el sistema de
referencia del avión, la velocidad de las señales que van hacia la
torre A se convierte en “c+v”,
y la velocidad de las señales que van hacia la torre B se convierte en “c−v”. Teniendo en cuenta que el
tiempo de llegada de las señales a las torres A y B
es t = t2 − t1, las
velocidades de las señales en el sistema de referencia del avión se
calculan fácilmente:

En el sistema de referencia del avión:
La velocidad de las señales que van hacia la torre A:
La velocidad de las señales que van hacia la torre B:
son esas.

Por lo tanto, el hecho de que las velocidades de las señales
enviadas por el avión se conviertan en c±v
en lugar de c constituye una clara contradicción con la teoría
electromagnética, que sostiene que la
velocidad de la luz debe ser constante en todos los sistemas de
referencia. Este resultado muestra que la teoría no
refleja correctamente la realidad en un punto muy crítico.

flash
Otro resultado importante que muestra el gráfico es el siguiente: Todas
las señales que van hacia la izquierda tienen la misma longitud de onda
(λ
1). Del mismo modo, todas las señales que van hacia la
derecha tienen la longitud de onda
λ2.

Estos cambios en la longitud de onda ocurren independientemente de las
características del dispositivo que emite la señal y en el momento en que la señal es emitida.
En la versión animada de la figura, este proceso puede observarse
claramente.

Los ajustes de fábrica del dispositivo satisfacen teóricamente
f0= c / λ0

Aunque esta igualdad se cumple, pensar que las longitudes de onda de
las señales emitidas por el dispositivo serán siempre λ0 no refleja la
situación física real. Aquí, λ0 es sólo una longitud de onda de referencia. La
magnitud física que determina el cambio en la longitud de onda es la
velocidad relativa “v”
entre el Cuerpo Fuente y el Cuerpo Objetivo.


Ecuación del Efecto Doppler

Como se observa en la ecuación del Efecto Doppler, el cambio en la
longitud de onda se produce aplicando una razón determinada por v. Por lo tanto,
λ0 es la magnitud de referencia
fundamental sobre la que se produce el cambio.

El hecho de que la velocidad relativa entre el Cuerpo Fuente y el
Cuerpo Objetivo pueda tomar cualquier
valor significa que las longitudes de onda de las señales
producidas por el dispositivo pueden
variar en una diversidad infinita. El dispositivo envía señales
no sólo a las torres, sino simultáneamente a numerosos cuerpos que se
mueven con diferentes velocidades y en distintas direcciones con
respecto a él. Dado que estas señales son generadas por el mismo
dispositivo, sus frecuencias permanecen iguales, pero sus longitudes de
onda toman valores diferentes según la velocidad relativa entre la
Fuente y el Objetivo.

Al examinar las formas que las señales crean conjuntamente en el cielo,
se observa que en ambos lados se forman trenes de ondas homogéneos. Este es
un resultado esperado, ya que el dispositivo funciona a frecuencia fija
y el avión se mueve con movimiento rectilíneo uniforme. Al mismo
tiempo, esta apariencia revela un hecho físico muy importante:

«En el Efecto Doppler, el cambio
en la longitud de onda se produce durante la emisión de la señal».

Teniendo en cuenta que el cambio en la longitud de onda de la señal se
produce en el momento en que las señales son emitidas, se comprenderá
mejor lo extraordinario que es el mecanismo físico al que nos
enfrentamos.

3- Comparación

En la Figura 9, con fines de comparación, las Figuras 6 y 8 se
presentan una debajo de la otra de manera que puedan verse juntas.
• En la parte superior, el caso en
el que el avión envía señales
a las torres en las posiciones A
y B (Figura 8),
• En la parte inferior, el caso en
el que la torre en la posición O
central envía señales a las torres laterales (Figura 6).

flash
Resumen del desarrollo del suceso en la Figura 9:

− En el instante
t1
la torre en la posición
O y el
avión se encuentran alineados, y la emisión de la señal comienza
exactamente en ese instante.

− En el instante
t2
las señales llegan a las torres en las posiciones
A y
B,
y en el mismo instante
t2 el avión ha llegado a la
posición
C.

− Puesto que tanto el avión como
la torre central utilizan el mismo tipo de generador de señales,
durante el intervalo de tiempo
t =
t2 −
t1
ambas fuentes emiten en ambas direcciones
el mismo número de ondas, es decir, “n”
ondas.

− En las señales enviadas desde la
torre central a las torres laterales, como las torres están en reposo
entre sí, la longitud de onda de estas señales no cambia y permanece
como λ
0 en ambas direcciones.

En cambio, en las
señales enviadas desde el avión, dado que el avión y las torres están
en movimiento relativo entre sí,

• la longitud de onda
de las señales que van hacia la izquierda aumenta → λ
1

• la longitud de onda
de las señales que van hacia la derecha disminuye → λ
2

cambiando de esta
forma.

Como puede verse
claramente en la figura,


λ
1 > λ
0 > λ
2

es el orden que se obtiene.

Cálculo de las velocidades de las
señales en el sistema de referencia del avión
Utilizando las magnitudes dadas en la figura, las velocidades de las
señales enviadas a las torres A
y B pueden calcularse de
manera muy sencilla en el sistema de referencia del avión.

Señal que va hacia la torre A:
Como el avión y la torre A se alejan uno del otro, la
distancia recorrida por la señal
AC = (c + v) · t
Por lo tanto, la velocidad de la señal que va hacia la torre A
según el sistema de referencia del avión es:

Señal que va hacia la torre B:
Como el avión y la torre B se aproximan entre sí, la
distancia recorrida por la señal:
BC = (c − v)
· t
Por lo tanto, la velocidad de la señal que va hacia la torre B según
el sistema de referencia del avión es:


Resultado fundamental:
Estos resultados muestran clara e indiscutiblemente que en el sistema
de referencia del avión:
la velocidad de las señales que van hacia la torre izquierda A es c+v,
y la velocidad de las señales que van hacia la torre derecha B es c−v.
Este resultado contradice el supuesto fundamental de la teoría
electromagnética, que afirma que «la velocidad de la luz debe ser
siempre c
en todos los sistemas de referencia», y muestra que este supuesto no
refleja completamente la realidad física.
IV- ECUACIONES MATEMÁTICAS

OBTENCIÓN DE LAS ECUACIONES DEL EFECTO DOPPLER

Del siguiente hecho fundamental se entiende claramente que las
magnitudes obtenidas de las figuras representan correctamente el
comportamiento real de la naturaleza:
La ecuación que da el cambio de longitud de onda en el Efecto Doppler
puede derivarse directamente de las relaciones geométricas y temporales
de las figuras, sin necesidad de información adicional.
A continuación, utilizando la información proporcionada por la
Figura 9, se muestra cómo se obtienen las ecuaciones del Efecto Doppler.

Tiempo de llegada de las señales:
El tiempo de llegada de las señales emitidas por el avión a las torres
en las posiciones A y B:
t =
t2 −
t1
t1 : instante de emisión de la señal
t2 : instante en que la señal llega a las torres
Durante el intervalo de tiempo t, el avión se mueve con
velocidad v y pasa de la posición O a la posición C.

Obtención de la longitud de onda de
las señales que van desde el avión a la torre A de la izquierda:
El avión y la torre A se alejan uno del otro.


Obtención de la longitud de onda de
las señales que van desde el avión a la torre B de la derecha:
El avión y la torre B se aproximan entre sí.


V- DIVERSOS SIGNIFICADOS DE LA EXPRESIÓN DEL DESPLAZAMIENTO DOPPLER:
En la ecuación del Desplazamiento Doppler, el término de velocidad
v representa la velocidad relativa entre el Cuerpo Fuente y el Cuerpo
Objetivo. En este trabajo, para poder analizar el origen de las
ecuaciones del Desplazamiento Doppler, el movimiento de las torres y
del avión se ha elegido sobre una misma línea recta. Por ello, el valor
v, que es la velocidad del avión, aparece directamente en la expresión del
Desplazamiento Doppler.

El Desplazamiento Doppler puede interpretarse en función de distintos
parámetros físicos. A continuación, estas interpretaciones se presentan
en tres apartados.

1) Interpretación basada en la
velocidad relativa
En este enfoque, el Desplazamiento Doppler expresa el cambio en la
longitud de onda de la señal como resultado de la velocidad relativa
entre el Cuerpo Fuente y el Cuerpo Objetivo. Aquí, el parámetro
determinante es el valor v.

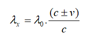
λx : Longitud de
onda modificada
λ : Longitud de onda
original de la señal emitida cuando el Cuerpo Fuente y el Cuerpo
Objetivo están en reposo relativo
v : Velocidad relativa
entre el Cuerpo Fuente y el Cuerpo Objetivo
c : Constante de la
velocidad de la luz

2) Interpretación basada en las
distancias (relación emisión–llegada)
Aquí los parámetros son las distancias. La ecuación del Desplazamiento
Doppler puede expresarse en función de las distancias entre el Cuerpo
Fuente y el Cuerpo Objetivo en los instantes de emisión y de llegada de
la señal. Expresar el Desplazamiento Doppler de este modo:
Longitud de onda de las señales que van a la torre A:
Longitud de onda de las señales que van a la torre B:
tiempo de viaje de la señal:
t = t2 − t1
Distancia entre el avión y las torres en el instante de emisión de la señal:
AO = OB = c · t
Distancia entre el avión y la torre A en el instante de llegada de la señal:
AC = (c
+ v) · t
Distancia entre el avión y la torre B en el instante de llegada de la señal:
BC = (c
− v)
· t

3) Interpretación basada en las
velocidades de la señal
En esta interpretación, los parámetros determinantes son los valores de
la velocidad de la señal con respecto a los sistemas de referencia del
Cuerpo Fuente y del Cuerpo Objetivo. El Desplazamiento Doppler
puede expresarse en función de la velocidad relativa de la señal
emitida con respecto al Cuerpo Fuente y al Cuerpo Objetivo.
Longitud de onda de las señales que van a la torre A:

Longitud de onda de las señales que van a la torre B:

Velocidad de la señal que va
a la torre A según el sistema
de referencia del avión:
c1
= c + v :
Velocidad de la señal que va
a la torre B según el sistema
de referencia del avión:
c2 =
c − v :
Velocidad de la señal que llega a las torres A y B
según sus sistemas de referencia:
c
VI - REPRESENTACIÓN DE LAS VELOCIDADES DE LA SEÑAL MEDIANTE LA
MECÁNICA ONDULATORIA
Aunque en el sistema de referencia del avión la velocidad de
la señal que emite sea diferente del valor c, la Mecánica Ondulatoria también
se conserva por completo en este caso. Aquí se muestra claramente que
las velocidades de la señal c+v y c–v,
obtenidas en el sistema de referencia del avión, están en plena
concordancia con la Mecánica Ondulatoria.

Según la Mecánica Ondulatoria, la velocidad de una onda es:
Velocidad de la onda = Longitud de
onda × Frecuencia

En el sistema de referencia del avión, en las secciones anteriores se
obtuvo que la velocidad de la señal que envía hacia la izquierda (a la
torre A) es c+v , y que la velocidad de la señal
que envía hacia la derecha (a la torre B) es c–v.
La velocidad de las señales enviadas desde la torre central es «c»
y se cumple la relación c = f0 · λ0 .
1) Mecánica ondulatoria para las
señales enviadas desde el avión a la torre A:
Utilizamos la ecuación del Desplazamiento Doppler [1] obtenida en la
Sección Cuatro (el avión y la torre A se alejan uno del otro).


Este resultado muestra que la señal que va hacia la torre A se propaga, de manera coherente
con la Mecánica Ondulatoria, con su frecuencia, longitud de onda y
velocidad.

2) Mecánica ondulatoria para las
señales enviadas desde el avión a la torre B
El mismo procedimiento se aplica aquí. Usando la ecuación del
Desplazamiento Doppler [2] obtenida anteriormente en la Sección Cuatro
(la torre y el avión se están acercando), se llega al resultado.


3) Resultados
Tal como se ve claramente en las ecuaciones [3] y [4] que hemos
obtenido, si la longitud de onda de
la señal cambia en el instante de emisión, la velocidad de
emisión de la señal pasa a ser diferente de la constante «c».
Aquí debe subrayarse especialmente que este valor de velocidad es el
valor de la velocidad con respecto al
sistema de referencia del Cuerpo Fuente que emite la señal.

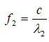
4) ¿Cuáles son las frecuencias de las
señales que llegan desde el avión a las torres según las torres?

Según el sistema de referencia del Cuerpo Objetivo al que llega, la
velocidad de una señal que le llega es siempre constante e igual a c.

La longitud de onda de la señal que llega a la torre A es λ1,
y la señal le ha llegado con velocidad c.
Por tanto, la frecuencia de la señal entrante es
La longitud de onda de la señal que llega a la torre B es λ2,
y la señal le ha llegado con velocidad c.
Por tanto, la frecuencia de la señal entrante es
VII - EL CAMINO HACIA EL FUTURO DE LA FÍSICA
En esta etapa, me gustaría hablar de un tema que concierne
directamente al futuro de la física y que, en el porvenir, orientará a
la ciencia física. En condiciones normales, este tipo de
consideraciones aparecen al final de un trabajo, pero aquí he sentido
la necesidad de hacer una excepción. Porque, para poder comprender la
continuación del tema, primero debemos mostrar la existencia de una
situación muy especial y extraordinaria.
Pensemos que estamos observando una galaxia cuya distancia es de millones o incluso miles de millones de
años luz. En este tipo de observaciones, el Desplazamiento Doppler se manifiesta
siempre de forma clara. Pero, ¿cómo es esto posible?

Tal como se mostró en las secciones anteriores, el cambio en la
longitud de onda en el Desplazamiento Doppler se produce en el momento en que se emite la señal.
El significado real de este fenómeno es el siguiente:
Una estrella en aquella galaxia lejana
emite la luz como si conociera la velocidad de la Tierra con respecto a
sí misma, ajustando la longitud de onda de la luz que emite de manera
que se cumpla la Ecuación de Doppler.
La señal electromagnética que parte de la estrella para llegar
a la Tierra comienza su viaje, que durará millones/miles de millones de
años, con una longitud de onda ya modificada.
Cuando la señal llega a la Tierra, medimos la longitud de onda (o la
frecuencia) de la señal y, utilizando la ecuación del Desplazamiento
Doppler, calculamos si la estrella/galaxia se aleja de nosotros o se
acerca a nosotros.
El punto crítico aquí es el siguiente:
La distancia entre la estrella y la
Tierra no tiene ninguna importancia en este mecanismo.
Aunque la galaxia estuviera a una distancia de mil millones por mil millones de
años luz de nosotros, el Desplazamiento Doppler aparecería exactamente
de la misma manera.

Para que pueda producirse el Desplazamiento Doppler, en la naturaleza
debe existir necesariamente una infraestructura mecánica que determine
la longitud de onda de la señal en el momento de la emisión y que
produzca físicamente la matemática (c+v) (c–v) en la velocidad de la
señal. Si el universo no poseyera tal infraestructura mecánica, el
fenómeno llamado Desplazamiento Doppler no podría aparecer de ningún modo.

En la actualidad, en física no
existe ninguna información clara sobre qué es esta infraestructura
mecánica.

Los marcos teóricos existentes indican cómo se calcula el
Desplazamiento Doppler; sin embargo, no pueden ofrecer una explicación
satisfactoria sobre por qué y cómo existe este mecanismo.

Los resultados obtenidos en este trabajo —que el cambio en la
longitud de onda se produce en el momento de la emisión y que la
velocidad de la señal con respecto al sistema de referencia del Cuerpo
Fuente puede ser diferente de c— aportan una nueva profundidad al tema
del Desplazamiento Doppler. Pero este estudio tampoco revela qué es esa
“infraestructura mecánica”; sólo señala su existencia de una manera
mucho más fuerte y directa.
Por lo tanto, frente a la ciencia física se alza una gran
pregunta que determinará las investigaciones futuras:
¿Cuál es la verdadera
naturaleza de este mecanismo oculto del universo que hace posible el
Desplazamiento Doppler?
La respuesta que se dé a esta pregunta será uno de los
elementos fundamentales que determinen el futuro de la física.
VIII – EXPLICACIÓN DEL TEMA Y DESARROLLO DEL EVENTO (SEGUNDA PARTE)

LAS TORRES LATERALES ENVÍAN SEÑALES AL
AVIÓN
En la primera parte de la explicación, al mostrar la formación
del Desplazamiento Doppler, se eligió el escenario más simple: las
señales se emiten desde el avión y se envían a las torres que
permanecen inmóviles a ambos lados. Como la velocidad de las señales
que van hacia las torres es c en el sistema
de referencia terrestre, en este esquema no aparece ninguna
contradicción física. De este modo, la configuración puede mostrar
cómodamente la formación del Desplazamiento Doppler, indicar que las
velocidades de las señales en el sistema de referencia del avión son
diferentes de c,
y mostrar sus relaciones con la mecánica ondulatoria. La razón por la
cual cambia la longitud de onda también se entiende claramente al
examinar las figuras.
En esta segunda parte, el desarrollo del evento se aborda
desde una perspectiva diferente. Aquí, las torres situadas en los
laterales envían señales al avión que se encuentra en el centro. En el momento inicial del evento, cuando el
avión está en la posición O, las torres comienzan a enviar señales.
Como las torres y el avión están en movimiento relativo,
también en este caso el Desplazamiento Doppler aparecerá
inevitablemente. La pregunta fundamental a responder aquí es:
¿Dónde y cómo se produce el cambio en
la longitud de onda, y cuáles son las velocidades de las señales que
las torres envían al avión?

1) Suposición incorrecta:
Supongamos que las torres emiten señales en todas direcciones con
velocidad «c» (Figura 10). Cuando las
señales llegan al avión, que se mueve con velocidad «v»,
podríamos pensar que se producirá un efecto del tipo (c+v) y (c–v),
según la dirección del movimiento del avión. Aunque esto pueda parecer
razonable a primera vista, esta suposición no es compatible con la
realidad física.
Porque si se acepta esta suposición, significaría que la
velocidad de las señales que llegan al avión en su propio sistema de
referencia no es «c».
En tal caso, en el sistema de
referencia del avión, la velocidad de las señales que llegan por
delante sería c+v, y la de las que llegan por
detrás sería c–v. Esto generaría la siguiente
contradicción física: el avión sentiría una disminución de energía
proveniente de las señales que llegan por detrás (según c–v)
y un aumento de energía proveniente de las señales que llegan por
delante (según c+v).

Sin embargo, en el Desplazamiento Doppler ocurre exactamente lo
contrario. En el Desplazamiento Doppler, c–v
representa un aumento de energía (la longitud de onda disminuye),
mientras que c+v representa una disminución de
energía (la longitud de onda aumenta). Por lo tanto, esta suposición no
es compatible con la naturaleza y no puede explicar la realidad física.


Figura 10 – Las torres
laterales envían señales al avión con velocidad c.
2) Suposición correcta:
Si aceptamos en el sistema
de referencia del avión que la velocidad de las señales que
llegan a él es c,
y luego realizamos la solución matemática, veremos que el resultado
correcto aparece inmediatamente. Sin embargo, este enfoque tiene una
consecuencia natural:
La velocidad de las señales enviadas por la torre izquierda A al
avión, según su propio sistema de referencia, debe ser c+v.
La velocidad de las señales enviadas por la torre derecha B al avión
debe ser c–v. (Figura 11)
En la primera parte encontramos que las velocidades de las
señales que el avión enviaba a las torres eran c+v
y c–v. ¿Podría ser válida también aquí
una situación similar?

Figura 11 – La torre
izquierda envía señales al avión con velocidad c+v, y la torre derecha
con velocidad c–v.

Ahora veamos que este camino de solución es realmente correcto.

Aunque por ahora no podamos explicar por qué cambian las velocidades de
las señales enviadas por las torres al avión (me refiero a la
misteriosa infraestructura mecánica del universo O), existe un método simple y eficaz
para demostrar que este camino de solución es correcto. Para ello basta
con recurrir al Principio de
Relatividad de Galileo. Este principio demuestra con facilidad
que la solución es correcta y no deja lugar a debate.

Principio de Relatividad de
Galileo: Las leyes fundamentales de la física son las mismas en
todos los marcos de referencia que se mueven a velocidad constante unos
respecto a otros.

El Principio de Relatividad de Galileo establece que las leyes de la
física son válidas de la misma manera en todos los sistemas de
referencia que se mueven sin aceleración (a velocidad constante).
Señala muchas consecuencias lógicas de las que podemos beneficiarnos en
física. Aprovechando estas consecuencias lógicas, a menudo es posible
alcanzar una estructura conceptual sólida y correcta. Aquí seguiremos
el mismo método. A continuación se presentan algunos resultados
importantes, obtenidos a partir de este principio y directamente
relacionados con nuestro tema.

1) La distinción entre cuerpo en
movimiento y cuerpo en reposo no es absoluta.
Dentro de la lógica de la física, si dos cuerpos están en movimiento
relativo, la pregunta de «cuál se mueve y cuál está en reposo» no tiene una respuesta física. Con
respecto a un sistema de referencia especialmente elegido, podemos
suponer que cualquiera de estos dos cuerpos está en reposo. Tal
elección no producirá ninguna diferencia en los procesos físicos entre
ambos cuerpos.

2) Quién envía la señal no cambia el
resultado físico.
Por la razón anterior, en nuestro ejemplo de las torres y el avión no
debería importar cuál de ellos envía la señal. El cambio en la longitud
de onda de la señal depende de la velocidad relativa entre el Cuerpo
Fuente y el Cuerpo Objetivo, pero no depende de cuál de los cuerpos
emite la señal. Dado que la longitud de onda de la señal que el avión
envía a la torre A es λ1, la longitud de onda de la señal
que la torre A envía al avión volverá a ser λ1. De manera
similar, como la longitud de onda de la señal que va del avión a la
torre B es λ2, la longitud de onda de la señal que la torre
B enviará al avión será λ2.

3) Para un cuerpo dado, la “velocidad
de la señal entrante” es universalmente c.
Dado que en los sistemas de referencia de las torres A y B
la velocidad de la señal que les llega es constante e igual a c, en el sistema
de referencia del avión la velocidad de la señal que le llega también
debe ser c.
¿Se cumple esta condición? En la Figura 11 se ve que esta condición se
cumple.
Según el avión, la velocidad de la señal que le llega desde la torre A:
c = (c+v)–v
Según el avión, la velocidad de la señal que le llega desde la torre B:
c = (c-v)+v

4) Los tiempos de llegada mutua de las
señales deben ser simultáneos.
Dado que las señales que el avión envía a las torres A y B llegan a
esas torres en el tiempo t y de forma
simultánea, las señales que las torres envían al avión también
deben llegar al avión en el tiempo t
y de forma simultánea.

5) Las velocidades de las señales
enviadas por las torres deben ser (c ± v).
Dado que, en el sistema de referencia del avión, la velocidad de la
señal que envía a la torre A es
c1= c
+ v = f0.λ1,
entonces, en el sistema de referencia de la torre A, la velocidad de la
señal que ésta envía al avión también debe ser
necesariamente c1
= c + v = f0.
Existe una situación similar para la torre B. Según el sistema de
referencia de la torre B, la velocidad de la señal que envía al avión
c2 = c −
v = f0.λ2
será.
Creo que estos ejemplos son suficientes para demostrar la
coherencia lógica proporcionada por el Principio de Relatividad de
Galileo. También es claro cómo estos resultados lógicos deben aparecer
correctamente en las figuras y animaciones: la figura debe construirse
de manera que cumpla todas las condiciones mencionadas anteriormente, y
los ajustes matemáticos deben realizarse en consecuencia.

Existe un único camino de solución que cumple completamente con las
condiciones:

Las señales emitidas por la torre A deben
enviarse al avión con velocidad c+v, y las señales emitidas por la
torre B deben enviarse con velocidad c–v.
Las siguientes figuras muestran dos situaciones.

Figura 12 – El avión envía
señales a las torres con velocidades (c+v) y (c–v).

Figura 13 – Las torres
envían señales al avión con velocidades (c+v) y (c–v).

En la Figura 14, que aparece a continuación, se muestran
comparativamente los instantes de llegada de las señales.
En la parte superior de la figura, las señales son enviadas por el avión; en la parte inferior,
las señales son enviadas por las
torres laterales.

En ambos casos, las señales han llegado a sus objetivos. La figura
cumple completamente todas las condiciones exigidas por el Principio de
Relatividad de Galileo.

flash
Al examinar los datos obtenidos de la figura, se observa que en
ambos escenarios son válidas las
mismas ecuaciones matemáticas.
De este modo, la Segunda Parte —que normalmente sería muy
difícil de explicar— se explica fácilmente utilizando el Principio de
Relatividad de Galileo, sin necesidad de ninguna derivación matemática
adicional. Si intentara explicar la segunda parte de forma
convencional, tendría que escribir una exposición de cientos de
páginas, y gran parte de lo que explicara se perdería entre
predicciones teóricas e incertidumbres. El Principio de Relatividad de
Galileo es un principio extremadamente poderoso y fundamental para
explicar coherentemente los fenómenos físicos.
IX – HALLAZGOS Y RESULTADOS
Este estudio ha puesto de manifiesto hallazgos de una importancia
extraordinaria que afectan directamente a los pilares fundamentales de
la teoría física. Los resultados obtenidos se resumen a continuación en
forma de puntos:

1. El significado físico de la
constante de la velocidad de la luz se entiende de forma incorrecta.
El resultado más fundamental de este estudio es el siguiente:

La constante de la velocidad de la
luz “c” representa la
velocidad de una señal que llega a un cuerpo, medida en el sistema de
referencia de ese cuerpo.
Para todos los cuerpos, la velocidad de la señal que les llega
es constante e igual a “c”.

2. La velocidad de emisión de la señal
con respecto al Cuerpo Fuente no es constante.
En el sistema de referencia propio del Cuerpo Fuente, la velocidad de
una señal emitida puede tomar cualquier valor dependiendo de a qué
Cuerpo Objetivo se dirija la señal. Debido a la velocidad relativa
entre el Cuerpo Fuente y el Cuerpo Objetivo, la velocidad de la señal
toma un valor de la forma c' = c ± v. Este
valor de velocidad es plenamente compatible con la Mecánica Ondulatoria.

3. Las velocidades de las señales
emitidas simultáneamente desde el Cuerpo Fuente, en la mayoría de los
casos, son diferentes entre sí.
Consideremos una estrella como Cuerpo Fuente. La estrella envía
simultáneamente señales luminosas a un número casi infinito de cuerpos
situados en su entorno cercano o muy lejano. Casi todos estos cuerpos
se mueven con distintas velocidades y en diferentes direcciones con
respecto a la estrella. Por ello, en el sistema de referencia del
Cuerpo Fuente, es decir, de la estrella, las velocidades de las señales
que se emiten al mismo tiempo pero se dirigen a distintos cuerpos
objetivo serán diferentes entre sí.

Por lo tanto, no es correcto suponer que las señales emitidas
simultáneamente desde el Cuerpo Fuente “se propagan como la superficie
de una esfera que se expande en el espacio con velocidad c”. Un modelo
de este tipo pasa por alto el hecho de que, en realidad, las
velocidades de las señales con respecto al Cuerpo Fuente pueden tomar
diferentes valores como c+v, c−v, y por ello ha perdido su
validez.

En las Figuras 1, 5, 6 y 7 del estudio, los dibujos esféricos que
describen la emisión de la señal se han incluido deliberadamente,
aunque se sabe que son incorrectos. En realidad, las señales nunca se
emiten de la forma mostrada en esas figuras.

4. El cambio de longitud de onda en el
Efecto Doppler se produce en el Cuerpo Fuente y en el instante de la
emisión.
La magnitud del cambio de longitud de onda está determinada por la
velocidad relativa entre el Cuerpo Objetivo y el Cuerpo Fuente.
Como una predicción, quisiera expresar aquí que «en el proceso del Efecto Doppler, el
Cuerpo Fuente desempeña un papel pasivo,
limitándose únicamente a generar y emitir la señal; mientras que el
Cuerpo Objetivo desempeña un papel activo
en la determinación del cambio de longitud de onda».

5. En el momento en que se emite una
señal, el Cuerpo Objetivo hacia el cual va a viajar ya está físicamente
determinado.
Cuando la señal alcanza su objetivo, su viaje termina. La radiación
electromagnética es siempre una interacción que se produce de un cuerpo
a otro; por lo tanto, no es posible la emisión de una señal sin que
exista un cuerpo objetivo al que finalmente vaya a llegar.

6. Estos hallazgos muestran claramente
que existe una deficiencia/error fundamental en la Teoría
Electromagnética.
La Teoría Electromagnética actual acepta únicamente el valor constante
c para las velocidades de las señales y no incluye la matemática (c+v) (c−v) que hemos visto aquí a grandes
rasgos. Es necesario reformular la Teoría Electromagnética de modo que
incorpore la matemática (c+v) (c−v).

7. Una vez realizada esta
reformulación, ya no será necesaria la Teoría de la Relatividad
Especial.
Cuando la Teoría Electromagnética adopte plenamente la matemática (c+v)
(c–v), llegará a un estado en el que
podrá describir correctamente la interacción electromagnética entre
cuerpos que se encuentran en movimiento relativo entre sí.

Una estructura teórica de este tipo contendrá ya en su interior
todos los fenómenos físicos que la Teoría de la Relatividad Especial
intenta explicar y, por lo tanto, ya
no será necesaria una teoría separada como la Teoría de la Relatividad
Especial.

8) La Ley de Alice es la Teoría
Electromagnética que utiliza la matemática (c+v) (c−v).
Desde 2001, es decir, desde hace casi 25 años, he estado trabajando con
la matemática (c+v) (c–v).
Todos los trabajos que he preparado hasta hoy los he publicado bajo el
nombre de Ley de Alice. En los
primeros años, evaluaba la Ley de Alice —es decir, la matemática (c+v)
(c–v)— sobre la base de una teoría
alternativa de la relatividad. Sin embargo, con el tiempo comprendí que
esta matemática en realidad pertenece
a la Teoría Electromagnética. Por ello, hoy puedo afirmar con
plena tranquilidad lo siguiente:
La Ley de Alice es la Teoría
Electromagnética que utiliza la matemática (c+v) (c−v).

Al igual que la Teoría de la Relatividad, la Ley de Alice también
señala muchas predicciones y resultados. Por ejemplo:
• En la Ley de Alice existen el Desplazamiento del Tiempo y el Desplazamiento de la Longitud,
• En la Teoría de la Relatividad
Especial existen la Dilatación
Temporal y la Contracción de
la Longitud.
Lo que intento explicar aquí es lo siguiente:
Si usted mide que el tiempo se
ralentiza en algún lugar, si observa un cambio en el tamaño de un
cuerpo, la razón de ello es la existencia de la Ley de Alice.
Acercarse a la Ley de Alice utilizando los conceptos de la
Teoría de la Relatividad no es un método adecuado.
Además, no debe olvidarse que existen diferencias estructurales
importantes entre las predicciones de ambas teorías.

Puede acceder a todos mis trabajos relacionados con las predicciones y
resultados de la Ley de Alice en mi sitio web aliceinphysics.com.

9) El camino hacia la física del
futuro.
A medida que la Teoría Electromagnética avance sobre la base de la
matemática (c+v) (c–v), el verdadero significado físico
de la constante de la velocidad de la luz «c»
se comprenderá mejor y se abrirá el camino para descubrir esa
misteriosa infraestructura mecánica del universo que hace aparecer esta
matemática.
X – BIBLIOGRAFÍA

[1] Einstein, A. (1991).
Teoría de
la relatividad (G. Aktaş, Trad.). Estambul, Turquía: Say
Yayınları.

(Obra original publicada como
Relativity: The Special and the General Theory)

[2] Ministerio de Educación Nacional. (1996). Física I para institutos
(Publicación n.º 553; Serie de
Libros de Texto n.º 168). Ankara, Turquía: Gaye Matbaacılık.

[3] Erim, H. (2017). Alice Law –
Transition to (c+v) (c–v) Mathematics in Electromagnetic Theory
(Trad. M. H. Kaya; Redacción Y.
Özmenekşe). Estambul, Turquía: Cinius Publishing.
Publicaciones en línea:

Español:
https://www.aliceinphysics.com/publications/alice_law_8/es/index.html
Inglés: https://www.aliceinphysics.com/publications/alice_law_8/en/index.html

[4] Erim, H. (2025). Correction of
the Major Error in Electromagnetic Theory and Transition to the Alice
Law.
Zenodo: https://zenodo.org/records/17667009
Publicaciones en línea:
Español: https://www.aliceinphysics.com/publications/alice_law_8/es/part_61.html
Inglés: https://www.aliceinphysics.com/publications/alice_law_8/en/part_61.html

[5] Erim, H. (2025). Ley de Alice – Versión 9. Programa de Física
[Software].
El programa admite los idiomas
turco, inglés, ruso y español.
Dirección de descarga:
Página en español: https://www.aliceinphysics.com/download/download_es.html