Corrección del Error en la Teoría Electromagnética

Parte 2

La relación entre el Desplazamiento Doppler, la Velocidad de la Señal
y la Mecánica de Ondas

Han Erim

Investigador Independiente

  8 de diciembre de 2025

DOI: https://zenodo.org/records/17919673


Esta página es una página de respaldo en la que las animaciones se presentan en formato de video.
La página original contiene animaciones en Flash. Te recomiendo utilizar primero la página original. Si encuentras algún problema, puedes continuar sin inconvenientes desde esta página de respaldo.

Haz clic aquí para ir a la página original.




I – RESUMEN


En este estudio, utilizando el Desplazamiento Doppler, se demuestra que la velocidad de una onda electromagnética (señal) varía según los sistemas de referencia.

Los principales hallazgos del estudio pueden resumirse de la siguiente manera:

Estos resultados muestran que existen diversas deficiencias y errores en la Teoría Electromagnética. El estudio presentado realiza correcciones a estas deficiencias y lleva la Teoría Electromagnética a un nivel más coherente y explicativo.

II – MÉTODO Y CONFIGURACIÓN EXPERIMENTAL

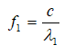
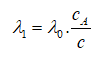
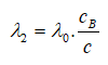
En la exposición de este estudio, se ha utilizado un dispositivo transmisor de señales que genera una onda electromagnética homogénea y uniforme. Se considera que la frecuencia del dispositivo es constante y f0. Con este valor de frecuencia, la longitud de onda de las señales sinusoidales producidas por el dispositivo será, según la ecuación c = f0 . λ0 . Por lo tanto, los valores f0 y λ0 se consideran características básicas de fábrica del dispositivo. Se supone que todas las operaciones de envío de señales tratadas en el estudio se llevan a cabo con estos generadores de señales de frecuencia fija. Uno de estos dispositivos se coloca en el avión y los demás en las torres de señales.


Figura 1 – Dispositivo utilizado en el estudio.

Nota informativa:
Todas las figuras utilizadas en este artículo se han creado a partir de fotogramas tomados de las animaciones correspondientes. El símbolo de estrella (★) en las descripciones de las figuras indica que la figura correspondiente tiene una animación visible.

Aquí, mientras lee el artículo, también puede ver estas animaciones.

Configuración experimental:
En la Primera Sección de la explicación:

Como se muestra en la Figura 2 a continuación, hay una torre en la posición O en el centro y dos torres laterales en las posiciones A y B.

 

Figura 2 – La torre en la posición O envía señales a las torres A y B.


En la Figura 3, un avión pasa sobre la posición O, y de nuevo hay torres en las posiciones A y B.



 

Figura 3 – Cuando el avión pasa sobre la posición O, comienza a enviar señales a las torres A y B.


Las distancias de las torres laterales A y B a la posición O son iguales entre sí. En el estudio, primero se enviaron señales desde la torre central a las torres laterales A y B, y después se enviaron señales desde el avión a las torres A y B, y se compararon ambas situaciones; los cambios de longitud de onda debidos al Desplazamiento Doppler y las velocidades de la señal se analizaron a partir de estas comparaciones.

En la Segunda Sección de la exposición:

Como se muestra en la Figura 4, esta vez se enviaron señales desde las torres laterales A y B hacia el avión situado en el centro, y de nuevo se estudiaron el cambio de longitud de onda y las velocidades de la señal que aparecen debido al Desplazamiento Doppler.


Figura 4 – Cuando el avión pasa sobre la posición O, las torres A y B comienzan a enviar señales.

 Con el fin de que pueda verse claramente cómo la formación del Desplazamiento Doppler y las velocidades de la señal difieren según los sistemas de referencia de la fuente y del destino, el movimiento de las torres y del avión se ha elegido sobre una misma línea recta. De este modo, se muestra de forma más clara de qué magnitudes físicas provienen los cambios en la longitud de onda y en la velocidad de la onda.

III – EXPOSICIÓN DEL TEMA Y DESARROLLO DEL SUCESO (Primera Sección)


1) Se envía la señal desde la torre central
La torre situada en la posición central O envía señales a las torres A y B, que se encuentran a la misma distancia de ella.

Figura 5 – La torre central envía señales a las torres laterales.

Desarrollo del suceso:

− La torre comienza a enviar la señal en el momento t1.
− Las señales que se mueven en ambas direcciones llegan a las torres laterales en el momento t2.
− Tiempo de viaje de la señal: t = t2t1
− Los recorridos de las señales que van hacia la derecha y la izquierda
Dado que la velocidad de la señal es “c”: AO = BO = c·t
− Representación del recorrido en términos de longitud de onda:
   Las torres emisora y receptora están inmóviles entre sí. Por lo tanto, no hay ningún cambio en la longitud de onda de la señal, y se mantiene válida la longitud de onda fija λ0 del dispositivo.
   Por lo tanto, el recorrido es:
   AO = BO = n·λ0
   El valor de n:
   n = c·t / λ0
   Como las torres están inmóviles entre sí, aquí la longitud de onda de la señal no cambiará.


En la Figura 6 de abajo se muestran el momento de llegada de las señales y las ecuaciones matemáticas relacionadas.

Figura 6 (★) – Las señales enviadas por la torre central han llegado a las torres laterales.

2) Envío de señales desde el avión a las torres
  Cuando el avión pasa por la posición O, comienza a enviar señales a las torres en ambos lados. Se acepta que la velocidad del avión es “v”.

Figura 7 – El avión envía señales a las torres laterales.

Debido al movimiento del avión, se observa claramente que las longitudes de onda de las señales cambian. En la versión animada de la figura, esta situación puede verse claramente sin ninguna explicación adicional.
− Las longitudes de onda de las señales que van hacia la torre A, situada detrás del avión, están alargadas y se muestran como λ1.
− Las longitudes de onda de las señales que van hacia la torre B, situada delante del avión, están acortadas y se muestran como λ2.

Resumen del desarrollo del suceso:
En el instante t1, cuando el avión se encuentra en la posición O, comienza la emisión de la señal.
− Como las señales parten de la posición O, llegan a las torres A y B, que están a igual distancia del punto O, en el mismo instante t2 .
− Tiempo de viaje de las señales: t = t2t1 
− En el instante inicial del suceso, t1, el avión está en la posición O. Durante el tiempo que transcurre hasta que las señales alcanzan las torres, el avión se mueve con velocidad v y, en el instante t2, llega a la posición C.
  La distancia recorrida por el avión durante este tiempo: CO = v·t
− El avión emite señales en ambas direcciones con la misma frecuencia. Por ello, el número de trenes de ondas que se forman en ambas direcciones es igual. Este número se indica en la figura conn.


En el propio sistema de referencia del avión, los recorridos de las señales que envía a las torres se muestran así: 
Señal que va hacia la izquierda (dirección de la torre A):
La torre A se aleja del avión con velocidad v.  En este caso, el recorrido de la señal que va hacia la torre A:
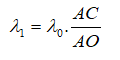
En términos de velocidad y tiempo: AC = c·t + v·t = (c+v)·t
En términos de longitud de onda:   AC = n · λ1
Señal que va hacia la derecha (dirección de la torre B):
La torre B se aproxima al avión con velocidad v. En este caso, el recorrido de la señal que va hacia la torre B:
En términos de velocidad y tiempo: BC = c·t − v·t = (c−v)·t
En términos de longitud de onda: BC = n · λ2

En la figura siguiente se muestran el instante de llegada de las señales a las torres A y B y las ecuaciones matemáticas correspondientes.
En este punto podemos ver claramente el error fundamental cometido en la Teoría Electromagnética. Según la Teoría Electromagnética, la velocidad de las señales electromagnéticas enviadas desde una fuente debe ser siempre c, independientemente de qué sistema de referencia se considere. En el sistema de referencia de la Tierra y en los sistemas de referencia de las torres laterales A y B, el hecho de que la velocidad de las señales sea “c” se ve claramente en la figura y no admite discusión. En cambio, cuando pasamos al sistema de referencia del avión, el cuadro físico cambia por completo. En el sistema de referencia del avión, la velocidad de las señales que van hacia la torre A se convierte en “c+v”, y la velocidad de las señales que van hacia la torre B se convierte en “c−v”. Teniendo en cuenta que el tiempo de llegada de las señales a las torres A y B es  t = t2t1, las velocidades de las señales en el sistema de referencia del avión se calculan fácilmente:

En el sistema de referencia del avión:

La velocidad de las señales que van hacia la torre A:
 

La velocidad de las señales que van hacia la torre B:

son esas.

Por lo tanto, el hecho de que las velocidades de las señales enviadas por el avión se conviertan en c±v en lugar de c constituye una clara contradicción con la teoría electromagnética, que sostiene que la velocidad de la luz debe ser constante en todos los sistemas de referencia.  Este resultado muestra que la teoría no refleja correctamente la realidad en un punto muy crítico.


Figura 8 (★) – Las señales enviadas por el avión llegan a las torres laterales.

Otro resultado importante que muestra el gráfico es el siguiente: Todas las señales que van hacia la izquierda tienen la misma longitud de onda (λ1). Del mismo modo, todas las señales que van hacia la derecha tienen la longitud de onda λ2.

 Estos cambios en la longitud de onda ocurren independientemente de las características del dispositivo que emite la señal y en el momento en que la señal es emitida. En la versión animada de la figura, este proceso puede observarse claramente.

Los ajustes de fábrica del dispositivo satisfacen teóricamente

f0= c / λ0

Aunque esta igualdad se cumple, pensar que las longitudes de onda de las señales emitidas por el dispositivo serán siempre λ0 no refleja la situación física real. Aquí, λ0 es sólo una longitud de onda de referencia. La magnitud física que determina el cambio en la longitud de onda es la velocidad relativa “v” entre el Cuerpo Fuente y el Cuerpo Objetivo.

Ecuación del Efecto Doppler


Como se observa en la ecuación del Efecto Doppler, el cambio en la longitud de onda se produce aplicando una razón determinada por v. Por lo tanto, λ0 es la magnitud de referencia fundamental sobre la que se produce el cambio.

El hecho de que la velocidad relativa entre el Cuerpo Fuente y el Cuerpo Objetivo pueda tomar cualquier valor significa que las longitudes de onda de las señales producidas por el dispositivo pueden variar en una diversidad infinita. El dispositivo envía señales no sólo a las torres, sino simultáneamente a numerosos cuerpos que se mueven con diferentes velocidades y en distintas direcciones con respecto a él. Dado que estas señales son generadas por el mismo dispositivo, sus frecuencias permanecen iguales, pero sus longitudes de onda toman valores diferentes según la velocidad relativa entre la Fuente y el Objetivo.

Al examinar las formas que las señales crean conjuntamente en el cielo, se observa que en ambos lados se forman trenes de ondas homogéneos. Este es un resultado esperado, ya que el dispositivo funciona a frecuencia fija y el avión se mueve con movimiento rectilíneo uniforme. Al mismo tiempo, esta apariencia revela un hecho físico muy importante:


«En el Efecto Doppler, el cambio en la longitud de onda se produce durante la emisión de la señal».


Teniendo en cuenta que el cambio en la longitud de onda de la señal se produce en el momento en que las señales son emitidas, se comprenderá mejor lo extraordinario que es el mecanismo físico al que nos enfrentamos.

3- Comparación


En la Figura 9, con fines de comparación, las Figuras 6 y 8 se presentan una debajo de la otra de manera que puedan verse juntas.
• En la parte superior, el caso en el que el avión envía señales a las torres en las posiciones A y B (Figura 8),
• En la parte inferior, el caso en el que la torre en la posición O central envía señales a las torres laterales (Figura 6).


Figura 9 (★) – Momento en que las señales enviadas desde la torre y el avión llegan a las torres en las posiciones A y B.

Resumen del desarrollo del suceso en la Figura 9:

− En el instante t1 la torre en la posición O y el avión se encuentran alineados, y la emisión de la señal comienza exactamente en ese instante.
− En el instante t2 las señales llegan a las torres en las posiciones A y B, y en el mismo instante t2 el avión ha llegado a la posición C.
− Puesto que tanto el avión como la torre central utilizan el mismo tipo de generador de señales, durante el intervalo de tiempo t = t2t1  ambas fuentes emiten en ambas direcciones el mismo número de ondas, es decir, “n” ondas.
− En las señales enviadas desde la torre central a las torres laterales, como las torres están en reposo entre sí, la longitud de onda de estas señales no cambia y permanece como λ0 en ambas direcciones.
   En cambio, en las señales enviadas desde el avión, dado que el avión y las torres están en movimiento relativo entre sí,
   • la longitud de onda de las señales que van hacia la izquierda aumenta → λ1 
   • la longitud de onda de las señales que van hacia la derecha disminuye → λ2 
   cambiando de esta forma.
   Como puede verse claramente en la figura,
λ1 > λ0 > λ2
  es el orden que se obtiene.


Cálculo de las velocidades de las señales en el sistema de referencia del avión
Utilizando las magnitudes dadas en la figura, las velocidades de las señales enviadas a las torres A y B pueden calcularse de manera muy sencilla en el sistema de referencia del avión.

Señal que va hacia la torre A:
Como el avión y la torre A se alejan uno del otro, la distancia recorrida por la señal

AC = (c + v) · t
Por lo tanto, la velocidad de la señal que va hacia la torre A según el sistema de referencia del avión es:


Señal que va hacia la torre B:
Como el avión y la torre B se aproximan entre sí, la distancia recorrida por la señal:

BC = (cv) · t

Por lo tanto, la velocidad de la señal que va hacia la torre B según el sistema de referencia del avión es:


Resultado fundamental:
Estos resultados muestran clara e indiscutiblemente que en el sistema de referencia del avión:
la velocidad de las señales que van hacia la torre izquierda A es c+v,
y la velocidad de las señales que van hacia la torre derecha B es cv.
Este resultado contradice el supuesto fundamental de la teoría electromagnética, que afirma que «la velocidad de la luz debe ser siempre c en todos los sistemas de referencia», y muestra que este supuesto no refleja completamente la realidad física.

IV- ECUACIONES MATEMÁTICAS

OBTENCIÓN DE LAS ECUACIONES DEL EFECTO DOPPLER



Del siguiente hecho fundamental se entiende claramente que las magnitudes obtenidas de las figuras representan correctamente el comportamiento real de la naturaleza:
La ecuación que da el cambio de longitud de onda en el Efecto Doppler puede derivarse directamente de las relaciones geométricas y temporales de las figuras, sin necesidad de información adicional.

 A continuación, utilizando la información proporcionada por la Figura 9, se muestra cómo se obtienen las ecuaciones del Efecto Doppler.

Tiempo de llegada de las señales:
El tiempo de llegada de las señales emitidas por el avión a las torres en las posiciones A y B:

t = t2t1 

t1  : instante de emisión de la señal
t2 : instante en que la señal llega a las torres
Durante el intervalo de tiempo t, el avión se mueve con velocidad v y pasa de la posición O a la posición C.

Obtención de la longitud de onda de las señales que van desde el avión a la torre A de la izquierda:
El avión y la torre A se alejan uno del otro.


Obtención de la longitud de onda de las señales que van desde el avión a la torre B de la derecha:
El avión y la torre B se aproximan entre sí.


 

V- DIVERSOS SIGNIFICADOS DE LA EXPRESIÓN DEL DESPLAZAMIENTO DOPPLER:


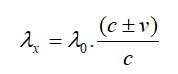
En la ecuación del Desplazamiento Doppler, el término de velocidad v representa la velocidad relativa entre el Cuerpo Fuente y el Cuerpo Objetivo. En este trabajo, para poder analizar el origen de las ecuaciones del Desplazamiento Doppler, el movimiento de las torres y del avión se ha elegido sobre una misma línea recta. Por ello, el valor v, que es la velocidad del avión, aparece directamente en la expresión del Desplazamiento Doppler.

El Desplazamiento Doppler puede interpretarse en función de distintos parámetros físicos. A continuación, estas interpretaciones se presentan en tres apartados.

1) Interpretación basada en la velocidad relativa
En este enfoque, el Desplazamiento Doppler expresa el cambio en la longitud de onda de la señal como resultado de la velocidad relativa entre el Cuerpo Fuente y el Cuerpo Objetivo. Aquí, el parámetro determinante es el valor v.

λx : Longitud de onda modificada
 λ : Longitud de onda original de la señal emitida cuando el Cuerpo Fuente y el Cuerpo Objetivo están en reposo relativo
 v : Velocidad relativa entre el Cuerpo Fuente y el Cuerpo Objetivo
 c : Constante de la velocidad de la luz

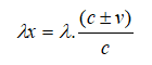
2) Interpretación basada en las distancias (relación emisión–llegada)
Aquí los parámetros son las distancias. La ecuación del Desplazamiento Doppler puede expresarse en función de las distancias entre el Cuerpo Fuente y el Cuerpo Objetivo en los instantes de emisión y de llegada de la señal. Expresar el Desplazamiento Doppler de este modo:
Longitud de onda de las señales que van a la torre A:

Longitud de onda de las señales que van a la torre B:

tiempo de viaje de la señal:

t = t2t1
Distancia entre el avión y las torres en el instante de emisión de la señal:
AO = OB = c · t
Distancia entre el avión y la torre A en el instante de llegada de la señal:
AC = (c + v) · t
Distancia entre el avión y la torre B en el instante de llegada de la señal:
BC = (c v) · t 

3) Interpretación basada en las velocidades de la señal
En esta interpretación, los parámetros determinantes son los valores de la velocidad de la señal con respecto a los sistemas de referencia del Cuerpo Fuente y del Cuerpo Objetivo.  El Desplazamiento Doppler puede expresarse en función de la velocidad relativa de la señal emitida con respecto al Cuerpo Fuente y al Cuerpo Objetivo.
Longitud de onda de las señales que van a la torre A:

Longitud de onda de las señales que van a la torre B:  

Velocidad de la señal que va a la torre A según el sistema de referencia del avión:
c1 = c + v :
Velocidad de la señal que va a la torre B según el sistema de referencia del avión:
c2 = c − v :
Velocidad de la señal que llega a las torres A y B según sus sistemas de referencia:

c

VI - REPRESENTACIÓN DE LAS VELOCIDADES DE LA SEÑAL MEDIANTE LA MECÁNICA ONDULATORIA

 Aunque en el sistema de referencia del avión la velocidad de la señal que emite sea diferente del valor c, la Mecánica Ondulatoria también se conserva por completo en este caso. Aquí se muestra claramente que las velocidades de la señal c+y cv, obtenidas en el sistema de referencia del avión, están en plena concordancia con la Mecánica Ondulatoria.

Según la Mecánica Ondulatoria, la velocidad de una onda es:

Velocidad de la onda = Longitud de onda × Frecuencia


En el sistema de referencia del avión, en las secciones anteriores se obtuvo que la velocidad de la señal que envía hacia la izquierda (a la torre A) es c+v , y que la velocidad de la señal que envía hacia la derecha (a la torre B) es cv. La velocidad de las señales enviadas desde la torre central es «c» y se cumple la relación c = f0 · λ0 .

1) Mecánica ondulatoria para las señales enviadas desde el avión a la torre A:
Utilizamos la ecuación del Desplazamiento Doppler [1] obtenida en la Sección Cuatro (el avión y la torre A se alejan uno del otro).


Este resultado muestra que la señal que va hacia la torre A se propaga, de manera coherente con la Mecánica Ondulatoria, con su frecuencia, longitud de onda y velocidad.

2) Mecánica ondulatoria para las señales enviadas desde el avión a la torre B
El mismo procedimiento se aplica aquí. Usando la ecuación del Desplazamiento Doppler [2] obtenida anteriormente en la Sección Cuatro (la torre y el avión se están acercando), se llega al resultado.



3) Resultados
Tal como se ve claramente en las ecuaciones [3] y [4] que hemos obtenido, si la longitud de onda de la señal cambia en el instante de emisión, la velocidad de emisión de la señal pasa a ser diferente de la constante «c». Aquí debe subrayarse especialmente que este valor de velocidad es el valor de la velocidad con respecto al sistema de referencia del Cuerpo Fuente que emite la señal.

4) ¿Cuáles son las frecuencias de las señales que llegan desde el avión a las torres según las torres?

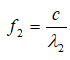
Según el sistema de referencia del Cuerpo Objetivo al que llega, la velocidad de una señal que le llega es siempre constante e igual a c.

La longitud de onda de la señal que llega a la torre A es λ1, y la señal le ha llegado con velocidad c.
Por tanto, la frecuencia de la señal entrante es



La longitud de onda de la señal que llega a la torre B es λ2, y la señal le ha llegado con velocidad c.
Por tanto, la frecuencia de la señal entrante es

VII - EL CAMINO HACIA EL FUTURO DE LA FÍSICA

En esta etapa, me gustaría hablar de un tema que concierne directamente al futuro de la física y que, en el porvenir, orientará a la ciencia física. En condiciones normales, este tipo de consideraciones aparecen al final de un trabajo, pero aquí he sentido la necesidad de hacer una excepción. Porque, para poder comprender la continuación del tema, primero debemos mostrar la existencia de una situación muy especial y extraordinaria.

Pensemos que estamos observando una galaxia cuya distancia es de millones o incluso miles de millones de años luz. En este tipo de observaciones, el Desplazamiento Doppler se manifiesta siempre de forma clara. Pero, ¿cómo es esto posible?

Tal como se mostró en las secciones anteriores, el cambio en la longitud de onda en el Desplazamiento Doppler se produce en el momento en que se emite la señal. El significado real de este fenómeno es el siguiente:
Una estrella en aquella galaxia lejana emite la luz como si conociera la velocidad de la Tierra con respecto a sí misma, ajustando la longitud de onda de la luz que emite de manera que se cumpla la Ecuación de Doppler.

 La señal electromagnética que parte de la estrella para llegar a la Tierra comienza su viaje, que durará millones/miles de millones de años, con una longitud de onda ya modificada. Cuando la señal llega a la Tierra, medimos la longitud de onda (o la frecuencia) de la señal y, utilizando la ecuación del Desplazamiento Doppler, calculamos si la estrella/galaxia se aleja de nosotros o se acerca a nosotros.

El punto crítico aquí es el siguiente:

La distancia entre la estrella y la Tierra no tiene ninguna importancia en este mecanismo.
Aunque la galaxia estuviera a una distancia de mil millones por mil millones de años luz de nosotros, el Desplazamiento Doppler aparecería exactamente de la misma manera.

Para que pueda producirse el Desplazamiento Doppler, en la naturaleza debe existir necesariamente una infraestructura mecánica que determine la longitud de onda de la señal en el momento de la emisión y que produzca físicamente la matemática (c+v) (c–v) en la velocidad de la señal. Si el universo no poseyera tal infraestructura mecánica, el fenómeno llamado Desplazamiento Doppler no podría aparecer de ningún modo.

En la actualidad, en física no existe ninguna información clara sobre qué es esta infraestructura mecánica.

Los marcos teóricos existentes indican cómo se calcula el Desplazamiento Doppler; sin embargo, no pueden ofrecer una explicación satisfactoria sobre por qué y cómo existe este mecanismo.

Los resultados obtenidos en este trabajo —que el cambio en la longitud de onda se produce en el momento de la emisión y que la velocidad de la señal con respecto al sistema de referencia del Cuerpo Fuente puede ser diferente de c— aportan una nueva profundidad al tema del Desplazamiento Doppler. Pero este estudio tampoco revela qué es esa “infraestructura mecánica”; sólo señala su existencia de una manera mucho más fuerte y directa.

 Por lo tanto, frente a la ciencia física se alza una gran pregunta que determinará las investigaciones futuras:

 ¿Cuál es la verdadera naturaleza de este mecanismo oculto del universo que hace posible el Desplazamiento Doppler?

 La respuesta que se dé a esta pregunta será uno de los elementos fundamentales que determinen el futuro de la física.

VIII – EXPLICACIÓN DEL TEMA Y DESARROLLO DEL EVENTO (SEGUNDA PARTE)


LAS TORRES LATERALES ENVÍAN SEÑALES AL AVIÓN

 En la primera parte de la explicación, al mostrar la formación del Desplazamiento Doppler, se eligió el escenario más simple: las señales se emiten desde el avión y se envían a las torres que permanecen inmóviles a ambos lados. Como la velocidad de las señales que van hacia las torres es c en el sistema de referencia terrestre, en este esquema no aparece ninguna contradicción física. De este modo, la configuración puede mostrar cómodamente la formación del Desplazamiento Doppler, indicar que las velocidades de las señales en el sistema de referencia del avión son diferentes de c, y mostrar sus relaciones con la mecánica ondulatoria. La razón por la cual cambia la longitud de onda también se entiende claramente al examinar las figuras.

 En esta segunda parte, el desarrollo del evento se aborda desde una perspectiva diferente. Aquí, las torres situadas en los laterales envían señales al avión que se encuentra en el centro. En el momento inicial del evento, cuando el avión está en la posición O, las torres comienzan a enviar señales.

 Como las torres y el avión están en movimiento relativo, también en este caso el Desplazamiento Doppler aparecerá inevitablemente. La pregunta fundamental a responder aquí es:
¿Dónde y cómo se produce el cambio en la longitud de onda, y cuáles son las velocidades de las señales que las torres envían al avión?

1) Suposición incorrecta:
Supongamos que las torres emiten señales en todas direcciones con velocidad «c» (Figura 10). Cuando las señales llegan al avión, que se mueve con velocidad «v», podríamos pensar que se producirá un efecto del tipo (c+v) y (c–v), según la dirección del movimiento del avión. Aunque esto pueda parecer razonable a primera vista, esta suposición no es compatible con la realidad física.

 Porque si se acepta esta suposición, significaría que la velocidad de las señales que llegan al avión en su propio sistema de referencia no es «c». En tal caso, en el sistema de referencia del avión, la velocidad de las señales que llegan por delante sería c+v, y la de las que llegan por detrás sería cv. Esto generaría la siguiente contradicción física: el avión sentiría una disminución de energía proveniente de las señales que llegan por detrás (según cv) y un aumento de energía proveniente de las señales que llegan por delante (según c+v).


Sin embargo, en el Desplazamiento Doppler ocurre exactamente lo contrario. En el Desplazamiento Doppler, cv representa un aumento de energía (la longitud de onda disminuye), mientras que c+v representa una disminución de energía (la longitud de onda aumenta). Por lo tanto, esta suposición no es compatible con la naturaleza y no puede explicar la realidad física.

 

Figura 10 – Las torres laterales envían señales al avión con velocidad c.


2) Suposición correcta:
Si aceptamos en el sistema de referencia del avión que la velocidad de las señales que llegan a él es c, y luego realizamos la solución matemática, veremos que el resultado correcto aparece inmediatamente. Sin embargo, este enfoque tiene una consecuencia natural:

La velocidad de las señales enviadas por la torre izquierda A al avión, según su propio sistema de referencia, debe ser c+v.
La velocidad de las señales enviadas por la torre derecha B al avión debe ser cv. (Figura 11)

 En la primera parte encontramos que las velocidades de las señales que el avión enviaba a las torres eran c+v y cv. ¿Podría ser válida también aquí una situación similar?

 

Figura 11 – La torre izquierda envía señales al avión con velocidad c+v, y la torre derecha con velocidad c–v.


Ahora veamos que este camino de solución es realmente correcto.

Aunque por ahora no podamos explicar por qué cambian las velocidades de las señales enviadas por las torres al avión (me refiero a la misteriosa infraestructura mecánica del universo O), existe un método simple y eficaz para demostrar que este camino de solución es correcto. Para ello basta con recurrir al Principio de Relatividad de Galileo. Este principio demuestra con facilidad que la solución es correcta y no deja lugar a debate.

Principio de Relatividad de Galileo: Las leyes fundamentales de la física son las mismas en todos los marcos de referencia que se mueven a velocidad constante unos respecto a otros.

El Principio de Relatividad de Galileo establece que las leyes de la física son válidas de la misma manera en todos los sistemas de referencia que se mueven sin aceleración (a velocidad constante). Señala muchas consecuencias lógicas de las que podemos beneficiarnos en física. Aprovechando estas consecuencias lógicas, a menudo es posible alcanzar una estructura conceptual sólida y correcta. Aquí seguiremos el mismo método. A continuación se presentan algunos resultados importantes, obtenidos a partir de este principio y directamente relacionados con nuestro tema.

1) La distinción entre cuerpo en movimiento y cuerpo en reposo no es absoluta.
Dentro de la lógica de la física, si dos cuerpos están en movimiento relativo, la pregunta de «cuál se mueve y cuál está en reposo» no tiene una respuesta física. Con respecto a un sistema de referencia especialmente elegido, podemos suponer que cualquiera de estos dos cuerpos está en reposo. Tal elección no producirá ninguna diferencia en los procesos físicos entre ambos cuerpos.

2) Quién envía la señal no cambia el resultado físico.
Por la razón anterior, en nuestro ejemplo de las torres y el avión no debería importar cuál de ellos envía la señal. El cambio en la longitud de onda de la señal depende de la velocidad relativa entre el Cuerpo Fuente y el Cuerpo Objetivo, pero no depende de cuál de los cuerpos emite la señal. Dado que la longitud de onda de la señal que el avión envía a la torre A es λ1, la longitud de onda de la señal que la torre A envía al avión volverá a ser λ1. De manera similar, como la longitud de onda de la señal que va del avión a la torre B es λ2, la longitud de onda de la señal que la torre B enviará al avión será λ2.

3) Para un cuerpo dado, la “velocidad de la señal entrante” es universalmente c.
Dado que en los sistemas de referencia de las torres A y B la velocidad de la señal que les llega es constante e igual a c, en el sistema de referencia del avión la velocidad de la señal que le llega también debe ser c.
¿Se cumple esta condición? En la Figura 11 se ve que esta condición se cumple.
Según el avión, la velocidad de la señal que le llega desde la torre A: c = (c+v)v
Según el avión, la velocidad de la señal que le llega desde la torre B: c = (c-v)+v

4) Los tiempos de llegada mutua de las señales deben ser simultáneos.
Dado que las señales que el avión envía a las torres A y B llegan a esas torres en el tiempo t y de forma simultánea, las señales que las torres envían al avión también deben llegar al avión en el tiempo t y de forma simultánea.

5) Las velocidades de las señales enviadas por las torres deben ser (c ± v).
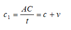
Dado que, en el sistema de referencia del avión, la velocidad de la señal que envía a la torre A es c1 = c + v = f0·λ1,
entonces, en el sistema de referencia de la torre A, la velocidad de la señal que ésta envía al avión también debe ser necesariamente c1 = c + v = f0·λ1.

Existe una situación similar para la torre B. Según el sistema de referencia de la torre B, la velocidad de la señal que envía al avión
c2 = cv = f0·λ2
será.

 Creo que estos ejemplos son suficientes para demostrar la coherencia lógica proporcionada por el Principio de Relatividad de Galileo. También es claro cómo estos resultados lógicos deben aparecer correctamente en las figuras y animaciones: la figura debe construirse de manera que cumpla todas las condiciones mencionadas anteriormente, y los ajustes matemáticos deben realizarse en consecuencia.

Existe un único camino de solución que cumple completamente con las condiciones:

Las señales emitidas por la torre A deben enviarse al avión con velocidad c+v, y las señales emitidas por la torre B deben enviarse con velocidad cv.

Las siguientes figuras muestran dos situaciones.
 

Figura 12 – El avión envía señales a las torres con velocidades (c+v) y (c–v).


 

Figura 13 – Las torres envían señales al avión con velocidades (c+v) y (c–v).


En la Figura 14, que aparece a continuación, se muestran comparativamente los instantes de llegada de las señales.

En la parte superior de la figura, las señales son enviadas por el avión; en la parte inferior, las señales son enviadas por las torres laterales.

En ambos casos, las señales han llegado a sus objetivos. La figura cumple completamente todas las condiciones exigidas por el Principio de Relatividad de Galileo.


Figura 14 (★) – Gráfico comparativo elaborado utilizando el principio de relatividad de Galileo

Al examinar los datos obtenidos de la figura, se observa que en ambos escenarios son válidas las mismas ecuaciones matemáticas.

 De este modo, la Segunda Parte —que normalmente sería muy difícil de explicar— se explica fácilmente utilizando el Principio de Relatividad de Galileo, sin necesidad de ninguna derivación matemática adicional. Si intentara explicar la segunda parte de forma convencional, tendría que escribir una exposición de cientos de páginas, y gran parte de lo que explicara se perdería entre predicciones teóricas e incertidumbres. El Principio de Relatividad de Galileo es un principio extremadamente poderoso y fundamental para explicar coherentemente los fenómenos físicos.

IX – HALLAZGOS Y RESULTADOS


Este estudio ha puesto de manifiesto hallazgos de una importancia extraordinaria que afectan directamente a los pilares fundamentales de la teoría física. Los resultados obtenidos se resumen a continuación en forma de puntos:

1. El significado físico de la constante de la velocidad de la luz se entiende de forma incorrecta.
El resultado más fundamental de este estudio es el siguiente:

La constante de la velocidad de la luz “c” representa la velocidad de una señal que llega a un cuerpo, medida en el sistema de referencia de ese cuerpo.

 Para todos los cuerpos, la velocidad de la señal que les llega es constante e igual a “c”.

2. La velocidad de emisión de la señal con respecto al Cuerpo Fuente no es constante.
En el sistema de referencia propio del Cuerpo Fuente, la velocidad de una señal emitida puede tomar cualquier valor dependiendo de a qué Cuerpo Objetivo se dirija la señal. Debido a la velocidad relativa entre el Cuerpo Fuente y el Cuerpo Objetivo, la velocidad de la señal toma un valor de la forma c' = c ± v. Este valor de velocidad es plenamente compatible con la Mecánica Ondulatoria.

3. Las velocidades de las señales emitidas simultáneamente desde el Cuerpo Fuente, en la mayoría de los casos, son diferentes entre sí.
Consideremos una estrella como Cuerpo Fuente. La estrella envía simultáneamente señales luminosas a un número casi infinito de cuerpos situados en su entorno cercano o muy lejano. Casi todos estos cuerpos se mueven con distintas velocidades y en diferentes direcciones con respecto a la estrella. Por ello, en el sistema de referencia del Cuerpo Fuente, es decir, de la estrella, las velocidades de las señales que se emiten al mismo tiempo pero se dirigen a distintos cuerpos objetivo serán diferentes entre sí.


Por lo tanto, no es correcto suponer que las señales emitidas simultáneamente desde el Cuerpo Fuente “se propagan como la superficie de una esfera que se expande en el espacio con velocidad c”. Un modelo de este tipo pasa por alto el hecho de que, en realidad, las velocidades de las señales con respecto al Cuerpo Fuente pueden tomar diferentes valores como c+v, c−v, y por ello ha perdido su validez.

En las Figuras 1, 5, 6 y 7 del estudio, los dibujos esféricos que describen la emisión de la señal se han incluido deliberadamente, aunque se sabe que son incorrectos. En realidad, las señales nunca se emiten de la forma mostrada en esas figuras.

4. El cambio de longitud de onda en el Efecto Doppler se produce en el Cuerpo Fuente y en el instante de la emisión.
La magnitud del cambio de longitud de onda está determinada por la velocidad relativa entre el Cuerpo Objetivo y el Cuerpo Fuente.

Como una predicción, quisiera expresar aquí que «en el proceso del Efecto Doppler, el Cuerpo Fuente desempeña un papel pasivo, limitándose únicamente a generar y emitir la señal; mientras que el Cuerpo Objetivo desempeña un papel activo en la determinación del cambio de longitud de onda».

5. En el momento en que se emite una señal, el Cuerpo Objetivo hacia el cual va a viajar ya está físicamente determinado.
Cuando la señal alcanza su objetivo, su viaje termina. La radiación electromagnética es siempre una interacción que se produce de un cuerpo a otro; por lo tanto, no es posible la emisión de una señal sin que exista un cuerpo objetivo al que finalmente vaya a llegar.

6. Estos hallazgos muestran claramente que existe una deficiencia/error fundamental en la Teoría Electromagnética.
La Teoría Electromagnética actual acepta únicamente el valor constante c para las velocidades de las señales y no incluye la matemática (c+v) (c−v) que hemos visto aquí a grandes rasgos. Es necesario reformular la Teoría Electromagnética de modo que incorpore la matemática (c+v) (c−v).

7. Una vez realizada esta reformulación, ya no será necesaria la Teoría de la Relatividad Especial.
Cuando la Teoría Electromagnética adopte plenamente la matemática (c+v) (cv), llegará a un estado en el que podrá describir correctamente la interacción electromagnética entre cuerpos que se encuentran en movimiento relativo entre sí.

Una estructura teórica de este tipo contendrá ya en su interior todos los fenómenos físicos que la Teoría de la Relatividad Especial intenta explicar y, por lo tanto, ya no será necesaria una teoría separada como la Teoría de la Relatividad Especial.

8) La Ley de Alice es la Teoría Electromagnética que utiliza la matemática (c+v) (c−v).
Desde 2001, es decir, desde hace casi 25 años, he estado trabajando con la matemática (c+v) (cv). Todos los trabajos que he preparado hasta hoy los he publicado bajo el nombre de Ley de Alice. En los primeros años, evaluaba la Ley de Alice —es decir, la matemática (c+v) (cv)— sobre la base de una teoría alternativa de la relatividad. Sin embargo, con el tiempo comprendí que esta matemática en realidad pertenece a la Teoría Electromagnética. Por ello, hoy puedo afirmar con plena tranquilidad lo siguiente:
La Ley de Alice es la Teoría Electromagnética que utiliza la matemática (c+v) (cv).

Al igual que la Teoría de la Relatividad, la Ley de Alice también señala muchas predicciones y resultados. Por ejemplo:
• En la Ley de Alice existen el Desplazamiento del Tiempo y el Desplazamiento de la Longitud,
• En la Teoría de la Relatividad Especial existen la Dilatación Temporal y la Contracción de la Longitud.
Lo que intento explicar aquí es lo siguiente:
Si usted mide que el tiempo se ralentiza en algún lugar, si observa un cambio en el tamaño de un cuerpo, la razón de ello es la existencia de la Ley de Alice.

 Acercarse a la Ley de Alice utilizando los conceptos de la Teoría de la Relatividad no es un método adecuado.
Además, no debe olvidarse que existen diferencias estructurales importantes entre las predicciones de ambas teorías.

Puede acceder a todos mis trabajos relacionados con las predicciones y resultados de la Ley de Alice en mi sitio web aliceinphysics.com.

9) El camino hacia la física del futuro.
A medida que la Teoría Electromagnética avance sobre la base de la matemática (c+v) (cv), el verdadero significado físico de la constante de la velocidad de la luz «c» se comprenderá mejor y se abrirá el camino para descubrir esa misteriosa infraestructura mecánica del universo que hace aparecer esta matemática.

X – BIBLIOGRAFÍA

[1] Einstein, A. (1991). Teoría de la relatividad (G. Aktaş, Trad.). Estambul, Turquía: Say Yayınları.
(Obra original publicada como Relativity: The Special and the General Theory)


[2] Ministerio de Educación Nacional. (1996). Física I para institutos
(Publicación n.º 553; Serie de Libros de Texto n.º 168). Ankara, Turquía: Gaye Matbaacılık.

[3] Erim, H. (2017). Alice Law – Transition to (c+v) (c–v) Mathematics in Electromagnetic Theory
(Trad. M. H. Kaya; Redacción Y. Özmenekşe). Estambul, Turquía: Cinius Publishing.
Publicaciones en línea:

Español: https://www.aliceinphysics.com/publications/alice_law_8/es/index.html

Inglés: https://www.aliceinphysics.com/publications/alice_law_8/en/index.html

[4] Erim, H. (2025). Correction of the Major Error in Electromagnetic Theory and Transition to the Alice Law.
Zenodo: https://zenodo.org/records/17667009
Publicaciones en línea:
Español: https://www.aliceinphysics.com/publications/alice_law_8/es/part_61.html
Inglés: https://www.aliceinphysics.com/publications/alice_law_8/en/part_61.html

[5] Erim, H. (2025). Ley de Alice – Versión 9. Programa de Física [Software].
El programa admite los idiomas turco, inglés, ruso y español.
Dirección de descarga:
Página en español: https://www.aliceinphysics.com/download/download_es.html