Principios de energía
Energía potencial

Han Erim
30 de agosto de 2011
(Se publicó por primera vez dentro del programa de física Ley de Alice versión 5.
Noviembre de 2005)
Actualizado para la web.
Energía potencial
¿Existe un equivalente energético de la aceleración? Este estudio que realicé
para investigar la respuesta a esta pregunta siempre ha sido importante para mí.

Publiqué por primera vez mi estudio de Energía potencial en 2005 dentro del
programa Ley de Alice versión 5. Lo reescribí para que pudiera leerse con mayor
facilidad en la web. Aunque pueda haber hecho algunas pequeñas adiciones, el
contenido del texto no ha cambiado. Lo publico con una mejor traducción.
La lógica de instalación del estudio es la siguiente:
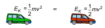
Hay dos coches completamente idénticos, uno acelerando y el otro moviéndose
con movimiento rectilíneo uniforme. La única diferencia entre los coches es
su color.


El coche rojo, que está detenido, se pone en marcha y acelera gradualmente. Mientras
tanto, el coche verde viene detrás a una velocidad constante. El coche verde
alcanza al coche rojo y, por un instante, queda a su misma altura. Es un momento
tan especial que la velocidad de ambos coches es igual. Sin embargo, como el coche
rojo sigue acelerando, inmediatamente después el coche verde vuelve a quedarse atrás.
Figura animada 1
Animated Figure 2. Supongamos que la aceleración del coche rojo se logra tirando
de él con una cuerda. Y supongamos que la cuerda se corta en el momento en que ambos
coches están a la misma altura y a la misma velocidad. En ese caso, ambos coches
seguirán moviéndose a las velocidades que han alcanzado. Dado que las velocidades
de los coches son iguales en el momento en que se corta la cuerda, mantendrán su
alineación relativa.

En el momento en que se corta la cuerda, escribamos primero la energía cinética
del coche verde. Usamos la ecuación de energía cinética que conocemos. Puesto que
la igualdad de velocidades es un requisito previo, la energía cinética del coche rojo
también será similar del mismo modo.

Sin embargo, en el momento en que se corta la cuerda, hay una fuerza que actúa
sobre el coche rojo, y la ecuación de energía cinética que usamos arriba no nos
muestra este detalle para el coche rojo.
Recurramos a nuestros conocimientos de Mecánica clásica:
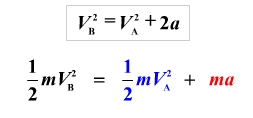
A continuación se considera el caso de un coche que se mueve bajo la acción de
una fuerza desde el punto A hasta el punto B. Sea la velocidad del coche en el punto A
VA y su velocidad en el punto B VB. El aumento de la velocidad del coche
se produce según la ecuación escrita a continuación. En la ecuación, a: aceleración,
x: la distancia entre los puntos A y B.


En esta ecuación de velocidad, supongamos que la distancia x es de 1 metro.
En ese caso, x desaparece de la ecuación y la igualdad se convierte en la forma
siguiente. Si multiplicamos ambos lados de la igualdad por (m/2), convertimos la
igualdad en una ecuación de energía (en la ecuación, m: la masa del coche).


Esta ecuación nos dice lo siguiente: para no provocar confusión, escribo los
textos especialmente en color.
Ahora sigamos un camino interesante:
Como sabemos, la unidad de medida metro es una elección completamente arbitraria.
La longitud estándar de un metro podría haberse elegido más larga o más corta.

La Animated Figure 3 de abajo nos muestra cómo cambiaría la ecuación de energía
de arriba en caso de que aceptáramos la medida del metro como más corta o más larga.
Observemos el cambio en la ecuación deslizando el control (slider) situado debajo
de la animación.

Sea cual sea la longitud elegida para el metro, la energía del coche en el momento
en que llega al punto B, es decir, el lado izquierdo de la igualdad, no cambiará.
El lado derecho, que consta de dos partes, es variable. Para que la igualdad se
mantenga en la ecuación, a medida que el metro se alarga, la energía cinética en el
punto A disminuirá y la fuerza aumentará. Si el metro se elige más corto, entonces
la energía cinética en el punto A aumentará y la fuerza disminuirá.

Otra cosa que nos muestra la figura es la siguiente: debido a que el coche se mueve
bajo el efecto de una fuerza, incluso si la longitud del metro es igual a cero, el
valor de la fuerza (m.a) en el lado derecho de la ecuación nunca
se vuelve cero.
Ahora, usando el slider en la Animated Figure 3, pongamos la longitud del metro
en el estado cero. Hacemos que los puntos A y B se superpongan. En este caso, la
igualdad que describimos arriba se convierte en la siguiente forma.


Escribamos este resultado en forma de ecuación de energía:

Se ve claramente que, dado que m.a, es decir, la fuerza, no es
cero en la ecuación, el cumplimiento de la igualdad solo es posible de una manera.
La V negra en el lado izquierdo de la ecuación debe ser mayor que la V azul
en el lado derecho de la ecuación.


Combinemos el resultado al que llegamos con nuestro ejemplo inicial de dos coches.
Escribimos las energías cinéticas de ambos coches junto a ellos.


Vemos que, para poder satisfacer la igualdad en el lado donde se encuentra el valor
de la V negra, necesitamos, además del valor de la V azul, un valor de
V roja.

Escribiendo el equivalente en energía cinética del valor de la fuerza m.a,
obtenemos el valor de la V roja.



De este modo llegamos al resultado. La velocidad del coche rojo está determinada conjuntamente por
la V azul y la V roja. Aunque todas estas energías que
definimos con diferentes colores son Energía cinética, también vemos que tienen significados
diferentes. Demos nombre a estas energías con significados distintos:


- Energía cinética: Es la energía de movimiento que el objeto
ha adquirido en el pasado.
- Energía potencial: Es la energía de movimiento que el objeto
ha adquirido en el momento presente en el que se encuentra.
- Energía de movimiento: Es la suma de las energías potencial y cinética del objeto.
También podemos llamarla Energía total. La energía que determina la velocidad de movimiento
del objeto es esta energía. (En la Ley de Alice versión 5, llamé a esta energía energía relativista;
aquí lo corrijo.)
Resultados de la sección de energía potencial:
La sección de energía potencial conduce a resultados importantes en cuanto proporciona el
equivalente energético de la aceleración. Las igualdades de abajo muestran cómo se calcula la
energía añadida a un sistema en ese instante (en tiempo cero).


Estas igualdades pueden usarse tanto para fuerzas clásicas (de empuje-tiro) como para la fuerza
gravitatoria (a la derecha).
Las igualdades muestran que, si una fuerza actúa sobre un objeto, la velocidad del objeto no
puede ser cero.
Las igualdades muestran la relación entre aceleración y energía de la manera en que la naturaleza
la utiliza.
Por último:
El estudio de Energía potencial es un estudio original. Tal vez publicaciones similares hayan sido
escritas anteriormente por otros. No lo sé; para ser sincero, tampoco lo investigué. Al final, yo
estaba investigando algo cuya respuesta buscaba: el equivalente energético de la aceleración.
Eso era lo único que me importaba. Porque sabía que, una vez que obtuviera esto, después vendría
la igualdad E=mc².

También puedes dudar de lo que escribí aquí y de los métodos que utilicé. Sea correcto o incorrecto,
se valore o no, se lea o no — es algo que queda al destino de este texto. Lo importante es publicar
lo que crees, de la manera en que lo crees.

Si preguntas si te quedó alguna duda sobre esta sección?.. Claro que sí, y cuántas. Quizás algún día
lleguemos a discutirlas.

En los razonamientos lógicos realizados en el estudio para el momento en que se corta la cuerda,
se utilizó el Principio de las Fuerzas.

