Energy Principles
Potential Energy

Han Erim
30 August 2011
(First published inside the Alice Law version 5 physics program.
November 2005)
Updated for the web.
Potential Energy
Is there an energy equivalent of acceleration? This study, which I
conducted to investigate the answer to this question, has always been
important to me.

I first published my Potential Energy study in 2005 within the Alice Law
version 5 program. I rewrote it so that it can be read more easily on the web.
Although I may have made some small additions, the content of the text has not
changed. I am publishing it with a better translation.
The setup logic of the study is as follows:
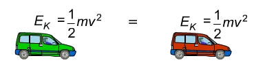
There are two completely identical cars, one accelerating and the other
moving with uniform linear motion. The only difference between the cars is
their colors.


The red car, which is at rest, starts moving and gradually accelerates. During
this time, the green car follows behind at a constant speed. The green car
catches up with the red car and, for a moment, comes level with it. This is
such a special moment that the speed of both cars is equal. However, since the
red car continues to accelerate, immediately afterward the green car falls
behind again. Animated Figure 1
Animated Figure 2. Let us assume that the acceleration of the red car is
provided by pulling it with a rope. And let us assume that the rope is cut at
the moment when both cars are at the same position and at the same speed. In
that case, both cars will continue moving at the speeds they have reached.
Since the speeds of the cars are equal at the moment the rope is cut, they
will maintain their relative alignment.

At the moment the rope is cut, let us first write the kinetic energy of the
green car. We use the kinetic energy equation that we know. Since the equality
of speeds is a prerequisite, the kinetic energy of the red car will be similar
in the same way.

However, at the moment the rope is cut, there is a force acting on the red
car, and the kinetic energy equation we used above does not show us this
detail for the red car.
Let us refer to our knowledge of Classical Mechanics:
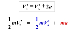
Below, the case of a car moving under a force from point A to point B is
considered. Let the speed of the car at point A be VA, and its speed at
point B be VB. The increase in speed of the car occurs according to the
equation written below. In the equation, a: acceleration, x: the distance
between points A and B.


In this speed equation, let us assume that the distance x is 1 meter. In
that case, x drops out of the equation and the equality becomes as shown
below. If we multiply both sides of the equality by (m/2), we transform the
equality into an energy equation (in the equation, m: the mass of the car).


This equation tells us the following: in order not to cause confusion, I am
writing the texts in color deliberately.
Now let us follow an interesting path:
As we know, the unit meter is a completely arbitrary choice. The standard
length of one meter could have been chosen longer or shorter.

The Animated Figure 3 below shows us how the energy equation above changes
if we accept the meter measure as shorter or longer. Let us observe the change
in the equation by sliding the slider located below the animation.

No matter what length the meter is chosen to be, the energy of the car at
the moment it reaches point B, that is, the left side of the equality, will
not change. The right side, which consists of two parts, is variable. For the
equality in the equation to be maintained, as the meter becomes longer, the
kinetic energy at point A will decrease and the force will increase. If the
meter is chosen shorter, then the kinetic energy at point A will increase and
the force will decrease.

Another thing the figure shows us is this: because the car moves under the
effect of force, even if the length of the meter is equal to zero, the force
value (m.a) on the right side of the equation never becomes
zero.
Now, using the slider in Animated Figure 3, let us set the length of the
meter to the zero case. Let points A and B overlap. In this case, the equality
we described above turns into the following form.


Let us write this result as an energy equation:

It is clearly seen that since m.a, that is, the force, is
not zero in the equation, maintaining the equality is possible only in one
way. The black V on the left side of the equation must be greater than the
blue V on the right side of the equation.


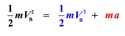
Let us combine the result we reached with our initial example of two cars. We
write the kinetic energies of both cars next to them.


We see that, in order to satisfy the equality on the side where the black V
value is located, we need, in addition to the blue V value,
a red V value.

By writing the kinetic energy equivalent of the force value m.a,
we obtain the red V value.



Thus we reach the result. The speed of the red car is determined together by
the blue V and the red V. Although all
these energies that we assign to different colors are Kinetic Energy, we also
see that they carry different meanings. Let us name these energies that have
different meanings:


- Kinetic Energy: The motion energy that the object
has gained in the past.
- Potential Energy: The motion energy that the object
has gained in the present moment it is in.
- Motion Energy: The sum of the object's potential and kinetic
energies. We can also call this Total Energy. The energy that determines
the object's speed of motion is this energy. (In Alice Law version 5 I called
this energy relativistic energy; here I correct it.)
Results of the potential energy section:
The potential energy section leads to important results in that it provides
the energy equivalent of acceleration. The equalities below show how the
energy added to a system at that instant (at zero time) is calculated.


These equalities can be used for classical (push-pull) forces as well as for
gravitational force (on the right).
The equalities show that if a force acts on an object, the object's speed
cannot be zero.
The equalities show the relationship between acceleration and energy in the
way nature uses it.
Finally:
The Potential Energy study is an original study. Perhaps similar
publications were written by others before. I do not know this; to be honest,
I did not research it either. In the end, I was investigating something whose
answer I was looking for: the energy equivalent of acceleration. That was
the only thing that mattered to me. Because I knew that once I obtained this,
the E=mc² equality would come afterward.

You may also doubt what I wrote here, and the methods I used. Whether it is
right or wrong, whether it is valued or not, whether it is read or not — that
is something left to the fate of this text. What matters is that you publish
what you believe, in the way you believe.

If you ask whether you have any questions left in mind about this section?..
Of course there are, and how many. Maybe one day we will come to discuss
them.

In the logical reasonings made for the moment the rope is cut in the study,
the Principle of Forces was utilized.

