Sayı Tabanları, Sayılar
ve
Matematiğin Sağ Yönü
Han Erim
7 Kasım 2015


Matematikte Sağ Yön, sayı
tabanlarının farklı bir yorumudur. Bu
yorumda 1 tabanına ait 1 sayısı en büyük sayıdır. Tabanlara ait sayı
elemanların değerleri sayı/taban kuralına göre oluşur.
Sağ Yön sayı tabanları ve sayıları bu çalışmayla birlikte
tanımlanmış ve bir temel kazanmıştır.
Matematiğin Sol Yönü
Matematikte Sağ Yön diye bir tanım yaptığımız zaman, doğal olarak
öncelikle matematikte Sol Yön'ün ne anlama geldiğini açıklamak gerekir.
Sol Yön, sayı tabanlarının halen kullandığımız şekildeki normal
dizilimini temsil eder. Aşağıdaki tablo sayıların Sol Yön içindeki
dizilimini göstermektedir. Normal olarak sayı tabanlarını ve sayıları
bu klasik tabloda gördüğümüz şekilde ele alır ve kullanırız.



Bildiğimiz gibi, gündelik hayatımızda 10 sayı tabanını kullanıyoruz.
10 Sayı tabanı 10 elemandan (0,1,2,3,4,5,6,7,8,9) oluşur. Bunun yanı
sıra Binary (2 tabanı) ve Hexadecimal (16 Tabanı) gibi bazı sayı
tabanları özellikle programlamada ve matematiksel hesaplamalarda
sıklıkla kullanılan sayı tabanlarıdır.
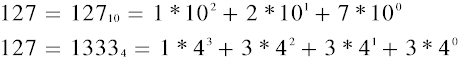
Herhangi bir sayı herhangi bir tabana göre yazılabilir. Örneğin
"127" sayısının bazı sayı tabanlarına göre yazılımı şu şekildedir:
| Binary (Taban 2) |
111 1111 |
| Octal (Taban 8) |
177 |
| Decimal (Ondalık taban) |
127 |
| Hexadecimal (Taban 16) |
7F |
| Taban 4 |
1333 |
| Taban 23 |
5C |
Bir sayının tabanına göre açılım kuralı aşağı gibidir:
Örneklerde 127 sayısının 10 ve 4 tabanına göre açılımları
gösterilmiştir.


1 TABANI

Sol Yönde hiç kullanılmasa da, Sağ Yön için 1 Tabanı son derece
önemlidir. 1 Tabanı tek bir elemandan oluşur, ancak onu ifade edebilmek
için ikinci bir yardımcı sayıya da ihtiyaç duyulur. Bunun için 0 sayısı
kullanılır. 1 Tabanındaki sayılar iki türlü gösterilebilir.

| Sayı Değeri |
1. Gösterim Şekli |
2. Gösterim Şekli |
| 1 |
1 |
10 |
| 2 |
11 |
100 |
| 3 |
111 |
1000 |
| 4 |
1111 |
10000 |

Tabloda görüldüğü üzere 1. gösterim şeklinde sayı değeri kadar 1'i
arka arkaya yazıyoruz.
2. gösterim şeklinde ise sayı değeri kadar 0'ı ard arda ekliyor ve
başına 1 ekliyoruz.
Bu çalışmada her iki gösterim şekli de kullanılmıştır. Mesela
yukarıdaki ana tabloda, tabloya uyum açısından ikinci gösterim şekli
tercih edilmiştir.
Bir sayı tabanının elemanı olan sayılar her zaman taban değerinden
daha küçük değerlere sahiptirler. Örneğin 2 tabanı (0,1), 6 tabanı
(0,1,2,3,4,5), Hexadecimal adındaki 16 tabanı
(0,1,2,3,4,5,6,7,8,9,A,B,C,D,E,F) elemanlardan oluşur.
Ancak mecburiyetten ötürü ve bir istisna olarak, 1 tabanında hem
sayı değerinde hem de taban değerinde 1 kullanılır. Yani; 1 tabanında 11
, 101, 1111 gibi gösterimler yapılır.

Matematiksel hesaplamalar için kullanışsız olması sebebiyle 1 sayı
tabanı Sol Yönde kullanılmaz. Ancak gene de bu sayı tabanını kullanarak
hesaplama yapılabilir.
Örnek olarak 3 + 2 = 5 işlemi 1 tabanında şu şekilde olur:
1. Gösterim şekline göre: 1111 + 111 = 111111
2. Gösterim şekline göre: 10001 + 1001 = 1000001
SAĞ YÖN SAYI TABANLARININ ELDE EDİLMESİ

Aşağıdaki karşılaştırmalı tablo, Sol Yön ve Sağ Yön sayı tabanları
arasındaki farkı göstermektedir.
(Tablodaki değerler, sayı yazım kuralları göz ardı edilerek ondalık
sisteme göre düzenlenmiştir.)
Görüldüğü gibi Sağ Yön sayıları 11 = 2×12 = 3×13
= 4×14 ... = (n-1)×1n-1 = n×1n kuralı
ile şekillenmektedir.


Aşağıda, yukarıdaki tablonun sayı yazım kuralına uygun hazırlanmış
hali gösterilmektedir. Geometrik bir yorum da eklenerek, sayılar
taşıdıkları değer ölçüsünde düşey yönde konumlandırılmıştır.


Sağ Yön tablosu içinde bütün sayılar 1
1 sayısının
uzunluğu içinde kalır.
|
1 Uzunluğu
Tanımı:
Sağ Yön sayı tabanları tablosunda,
1 tabanındaki 11
sayısını temsil eden ve aynı zamanda 0-1 sayı aralığını gösteren
uzunluğa 1 Uzunluğu adı verilir.
|

Sağ Yön Sayılarının 1 Uzunluğu Üzerindeki Konumu ve Sayısal
Değeri:
Sağ Yönde bir sayı, içerdiği değer oranında 1 Uzunluğu
üzerinde yeri değişmeyen bir noktada ve sayıDeğeri/taban ölçüsünde
konumlanır.
Örneğin, Taban 6'ya ait 2 sayısı 1 Uzunluğu'nun 0,333... noktasında,
Taban 8'e ait 3 sayısı ise 0,375 noktasındadır. Konum noktası aynı
zamanda sayının gerçek sayısal değeridir.


(Aynı sayıların Sol Yöndeki karşılıkları: 26 = 2 ve 38
= 3 şeklindedir.)
Aşağıdaki tabloda Sol Yön ve Sağ Yön sayılarının ana karakterlerini
karşılaştırmalı olarak görebiliriz:

| SOL YÖN SAYILARI |
SAĞ YÖN SAYILARI |
11 = 12 = 13
= ... = 1n
ab = ac = ad = a
101 < 102 < 103 ... < 10n
|
11 > 12
> 13 ... > 1n
ab = a/b, ac = a/c, ad = a/d
101 = 102 = 103 ... = 10n |
| Burada a, b, c, d, n
tam sayılardır. |
Sağ Yön Sayılarının Kesirli Gösterimi
Sağ Yönde sayı elemanlarının payda değerlerine kendi taban değerleri
yazılarak kesirli gösterim şekli elde edilir.
Aşağıdaki tabloda Sağ Yön Sayı Tabanlarının doğal ve kesirli olmak
üzere iki farklı gösterim şekli görülmektedir.
Kesirli gösterimde pay ve payda kolaylık amacıyla Ondalık sayı
sistemi kullanılır. Ancak sayı yazım kuralına uygun olarak da
gösterilebilir.


Sağ Yön sayılarının Doğal Gösterimi: 26, 813,
5866, ...
Sağ Yön sayılarının Kesirli Gösterimi: 2/6, 8/13, 58/66, ...
Sol Yön ve Sağ Yön Arasındaki Bağlantı
Her iki yön arasında bir köprü oluşturmak amacıyla, Sol Yöndeki 1
sayı tabanına ait 11 sayısı ile Sağ Yöndeki 1 sayı tabanına
ait 11 sayısının birbirine eşit olduğu kabul edilir.
Dolayısıyla Sağ Yön'ün 1 Uzunluğu, Sol Yöndeki 1 sayısına eşittir.



Bir Sayının Sol Yön ve Sağ Yön Bileşenleri
Bir sayının bire eşit ve birden büyük değeri sayının Sol Yön
bileşenidir; birden küçük olan değerleri ise Sağ Yön bileşenidir.

Örneğin 19,375 sayısında:
Virgülün solunda kalan 19 tam sayısı Sol Yön bileşenidir: 1910
(Sol Yön)
Virgülün sağında kalan 0,375 değeri ise Sağ Yön bileşenidir.
0,375 = 3/8 olduğundan, Sağ Yön'de 38 olarak ifade edilir.
Sonuç:
19,375 = 1910 (Sol Yön) + 38 (Sağ Yön)
Başka örnekler:
2,333... = 2 + 0,333... = 2 + 1/3 = 210 (Sol Yön) + 13
(Sağ Yön)
8,5 = 8 + 0,5 = 8 + 1/2 = 810 (Sol Yön) + 12
(Sağ Yön)
İrrasyonel Sayılarda Sağ Yön Gösterimi
İrrasyonel sayılarda Sağ Yön kesrindeki pay ve payda değerleri
sonsuza uzanır.
Bu nedenle, kesirler yaklaşık değerlerle ifade edilir.
≈ 1 +
0,4142 ≈ 1 + 6625109/15994428
Yani:
≈ 110
(Sol Yön) + 662510915994428 (Sağ Yön)
Benzer şekilde:
π ≈ 3 + 0,1415 ≈ 3 + 29629644/209259755
π ≈ 310 (Sol Yön) + 29629644209259755 (Sağ Yön)

| Sonuç olarak, 0-1 aralığındaki tüm sayılar Sağ Yön
sayılarıdır. Bir sayının değeri, Sol Yön bileşeni ile Sağ Yön
bileşeninin toplamından oluşur. |

Sağ Yön sayı tabanları ve sayıları üzerine son birkaç cümle
Sağ Yön, araştırılması gereken kapsamlı bir konudur. İlginç yapısı
dolayısıyla, Sağ Yön sayı tabanları ve sayıları kullanılarak değişik
algoritmalar ve çözümler üretmenin mümkün olduğunu düşünüyorum.

Eğer matematikçiler bu konunun üzerinde çalışırlarsa, çok ilginç
bulgulara ulaşacaklardır.
Sağ Yön matematiğinin benim için en güzel sonucu, Alice Yasası adını
verdiğim fizik konusundaki çalışmama beni ulaştırmasıdır.
Okuduğunuz için teşekkür ederim.
Han Erim