Bases Numéricas, Números
y
El Lado Derecho de las Matemáticas
Han Erim
7 de noviembre de 2015


El Lado Derecho en matemáticas es una interpretación alternativa de las
bases numéricas. En esta interpretación, el número 1 perteneciente a la
base 1 es el número mayor. Los valores de los elementos numéricos
pertenecientes a las bases se forman según la regla número/base.
Las bases numéricas y los números del Lado Derecho han sido definidos
con este trabajo y han adquirido una base.
El Lado Izquierdo de las Matemáticas
Cuando definimos algo como el Lado Derecho en matemáticas, naturalmente
es necesario explicar primero qué significa el Lado Izquierdo en
matemáticas. El Lado Izquierdo representa la disposición normal de las
bases numéricas tal como las usamos actualmente. La tabla siguiente
muestra la disposición de los números dentro del Lado Izquierdo.
Normalmente, consideramos y usamos las bases numéricas y los números en
la forma clásica que vemos en esta tabla.



Como sabemos, en la vida cotidiana usamos el sistema decimal (base 10).
La base 10 consta de 10 elementos (0,1,2,3,4,5,6,7,8,9). Además, algunas
bases numéricas como Binary (base 2) y Hexadecimal (base 16) se utilizan
con frecuencia en programación y en cálculos matemáticos.
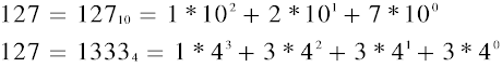
Cualquier número puede escribirse según cualquier base. Por ejemplo, la
escritura del número "127" en algunas bases numéricas es la siguiente:
| Binary (Base 2) |
111 1111 |
| Octal (Base 8) |
177 |
| Decimal (Base 10) |
127 |
| Hexadecimal (Base 16) |
7F |
| Base 4 |
1333 |
| Base 23 |
5C |
La regla de desarrollo de un número según su base es la siguiente:
En los ejemplos se muestran los desarrollos del número 127 en base 10 y
base 4.


BASE 1

Aunque no se use en el Lado Izquierdo, la base 1 es extremadamente
importante para el Lado Derecho. La base 1 consta de un solo elemento,
pero para poder expresarla se necesita también un segundo número
auxiliar. Para ello se utiliza el número 0. Los números en base 1 pueden
representarse de dos maneras.

| Valor del número |
1.ª forma de representación |
2.ª forma de representación |
| 1 |
1 |
10 |
| 2 |
11 |
100 |
| 3 |
111 |
1000 |
| 4 |
1111 |
10000 |

Como se ve en la tabla, en la 1.ª forma de representación escribimos el
dígito 1 repetido tantas veces como el valor del número.
En la 2.ª forma de representación, añadimos ceros consecutivamente
tantas veces como el valor del número y ponemos un 1 al comienzo.
En este trabajo se utilizan ambas formas de representación. Por
ejemplo, en la tabla principal de arriba, para mantener la coherencia
con la tabla, se prefirió la segunda forma de representación.
Los números que son elementos de una base numérica siempre tienen
valores menores que el valor de la base. Por ejemplo, la base 2 consta
de (0,1), la base 6 consta de (0,1,2,3,4,5) y la base 16, llamada
Hexadecimal, consta de los elementos (0,1,2,3,4,5,6,7,8,9,A,B,C,D,E,F).
Sin embargo, por necesidad y como una excepción, en la base 1 el dígito
1 se utiliza tanto como valor del número como valor de la base. Es
decir, en la base 1 se usan representaciones como 11,
101, 1111.

Debido a que no es práctica para los cálculos matemáticos, la base 1 no
se utiliza en el Lado Izquierdo. Sin embargo, es posible realizar
cálculos utilizando esta base.
Como ejemplo, la operación 3 + 2 = 5 en base 1 es la siguiente:
Según la 1.ª forma de representación: 1111 + 111 = 111111
Según la 2.ª forma de representación: 10001 + 1001 = 1000001
OBTENCIÓN DE LAS BASES NUMÉRICAS DEL LADO DERECHO

La siguiente tabla comparativa muestra la diferencia entre las bases
numéricas del Lado Izquierdo y del Lado Derecho.
(Los valores de la tabla se han organizado según el sistema decimal,
ignorando las reglas de escritura numérica.)
Como puede verse, los números del Lado Derecho se forman según la regla
11 = 2×12 = 3×13
= 4×14 ... = (n-1)×1n-1 = n×1n.


A continuación se muestra la versión de la tabla anterior preparada de
acuerdo con las reglas de escritura numérica. Al añadir una interpretación
geométrica, los números se han posicionado verticalmente en proporción a
los valores que representan.


Dentro de la tabla del Lado Derecho, todos los números permanecen dentro
de la longitud del número 1
1.
|
Definición de la Longitud de 1:
En la tabla de bases numéricas del Lado Derecho, la longitud
que representa el número 11 en la base 1 y al mismo tiempo indica
el intervalo 0–1 se denomina Longitud de 1.
|

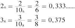
Posición y valor numérico de los números del Lado Derecho sobre la Longitud de 1:
En el Lado Derecho, un número se sitúa en un punto fijo sobre la
Longitud de 1 y se ubica en proporción a valorDelNúmero/base,
según el valor que contiene.
Por ejemplo, el número 2 en la base 6 está en el punto 0,333... de la
Longitud de 1, mientras que el número 3 en la base 8 está en el punto
0,375. El punto de posición es también el verdadero valor numérico del
número.


(Los equivalentes en el Lado Izquierdo de los mismos números son:
26 = 2 y 38 = 3.)
En la tabla siguiente podemos observar de forma comparativa las
características principales de los números del Lado Izquierdo y del Lado
Derecho:

| NÚMEROS DEL LADO IZQUIERDO |
NÚMEROS DEL LADO DERECHO |
11 = 12 = 13
= ... = 1n
ab = ac = ad = a
101 < 102 < 103 ... < 10n
|
11 > 12
> 13 ... > 1n
ab = a/b, ac = a/c, ad = a/d
101 = 102 = 103 ... = 10n |
| Aquí a, b, c, d, n son números enteros. |
Representación fraccionaria de los números del Lado Derecho
En el Lado Derecho, la representación fraccionaria se obtiene escribiendo los valores
de las bases como valores del denominador de los elementos numéricos.
La tabla siguiente muestra dos representaciones distintas de las Bases Numéricas del Lado Derecho:
natural y fraccionaria.
En la representación fraccionaria, por conveniencia se utiliza el sistema decimal
para el numerador y el denominador. Sin embargo, también puede mostrarse de acuerdo con
las reglas de escritura numérica.


Representación natural de los números del Lado Derecho: 26, 813,
5866, ...
Representación fraccionaria de los números del Lado Derecho: 2/6, 8/13, 58/66, ...
Conexión entre el Lado Izquierdo y el Lado Derecho
Con el fin de construir un puente entre ambos lados, se acepta que el número 11,
perteneciente a la base 1 en el Lado Izquierdo, es igual al número 11,
perteneciente a la base 1 en el Lado Derecho.
Por lo tanto, la Longitud de 1 del Lado Derecho es igual al número 1 del Lado Izquierdo.



Componentes izquierdo y derecho de un número
El valor de un número que es igual a uno o mayor que uno es el componente del Lado Izquierdo;
los valores menores que uno son el componente del Lado Derecho.

Por ejemplo, en el número 19,375:
El entero 19 a la izquierda del separador decimal es el componente del Lado Izquierdo:
1910 (Lado Izquierdo)
El valor 0,375 a la derecha del separador decimal es el componente del Lado Derecho.
Dado que 0,375 = 3/8, en el Lado Derecho se expresa como 38.
Resultado:
19,375 = 1910 (Lado Izquierdo) + 38 (Lado Derecho)
Otros ejemplos:
2,333... = 2 + 0,333... = 2 + 1/3 = 210 (Lado Izquierdo) + 13
(Lado Derecho)
8,5 = 8 + 0,5 = 8 + 1/2 = 810 (Lado Izquierdo) + 12
(Lado Derecho)
Representación del Lado Derecho para números irracionales
En los números irracionales, los valores del numerador y del denominador en la fracción del Lado Derecho
se extienden hasta el infinito.
Por esta razón, las fracciones se expresan con valores aproximados.
≈ 1 +
0.4142 ≈ 1 + 6625109/15994428
Es decir:
≈ 110
(Lado Izquierdo) + 662510915994428 (Lado Derecho)
De manera similar:
π ≈ 3 + 0.1415 ≈ 3 + 29629644/209259755
π ≈ 310 (Lado Izquierdo) + 29629644209259755 (Lado Derecho)

| Como resultado, todos los números en el intervalo 0–1 son números del Lado Derecho.
El valor de un número consiste en la suma del componente del Lado Izquierdo y del componente del Lado Derecho. |

Algunas últimas palabras sobre las bases numéricas y los números del Lado Derecho
El Lado Derecho es un tema amplio que debe investigarse.
Debido a su estructura interesante, considero posible desarrollar
diferentes algoritmos y soluciones utilizando las bases numéricas y los números del Lado Derecho.

Si los matemáticos trabajan en este tema, podrán alcanzar resultados muy interesantes.
El resultado más valioso de las matemáticas del Lado Derecho para mí es que me condujo a mi trabajo
en el campo de la física, al que di el nombre de Ley de Alice.
Gracias por leer.
Han Erim