banner
Elektromanyetik Teorideki Hatanın Düzeltilmesi
2. Kısım

Doppler Kayması, Sinyal Hızı
ve Dalga Mekaniği Arasındaki İlişki

Han Erim
Bağımsız Araştırmacı

8 December 2025
DOI:
https://zenodo.org/records/17919673
Bu sayfa, animasyonların Flash formatında sunulduğu orijinal sayfadır.
Herhangi bir sorunla karşılaşırsanız, animasyonların Video olarak
gösterildiği yedek sayfa
üzerinden sorunsuz şekilde devam edebilirsiniz.
Yedek sayfaya gitmek
için tıklayınız.
|

I – ÖZET

Bu çalışmada Doppler Kayması kullanılarak bir elektromanyetik dalganın
(sinyalin) hızının referans sistemlerine göre farklılık gösterdiği
ortaya konmaktadır.

Çalışmanın temel bulguları aşağıdaki şekilde özetlenebilir:
- Hedef Cisim açısından,
kendisine gelen veya gelmekte olan bir sinyalin hızı Hedef Cismin kendi
referans sistemine göre daima
sabittir ve “c” değerine eşittir.
- Kaynak Cisim ile Hedef Cisim
arasında göreli hareket bulunduğunda, Kaynak Cismin kendi
referans sistemine göre yayınladığı sinyalin hızı “c” değerinden
farklıdır.
- Doppler Kayması olayında dalga
boyundaki değişim, Kaynak Cisim ile Hedef Cisim arasındaki mesafeden bağımsız olarak, sinyalin yayınlanma anında
gerçekleşir.
- Doppler Kaymasında, sinyalin
dalga boyundaki değişim ile sinyalin
yayınlanma hızındaki değişim, dalga mekaniğine uygun bir şekilde
eş zamanlı olarak meydana gelir.
Yayınlanan Sinyalin Hızı = Sinyalin frekansı x Sinyalin değişmiş dalga
boyu
Bu sonuçlar, Elektromanyetik Teoride çeşitli eksiklikler ve hatalar
bulunduğunu göstermektedir. Sunulan çalışma, bu eksikliklere yönelik
düzeltmeler yaparak Elektromanyetik Teoriyi daha tutarlı ve açıklayıcı
bir seviyeye taşımaktadır.
II – YÖNTEM VE DENEYSEL KURGU

Bu çalışmanın anlatımında homojen ve tekdüze elektromanyetik dalga
üreten bir sinyal verici cihaz kullanılmıştır. Cihazın frekansının
sabit ve f0 olduğu kabul edilir.
Bu frekans değeri ile cihazın üreteceği sinüzoidal sinyallerin dalga
boyu c = f0 · λ0
eşitliği gereğince olacaktır. Dolayısıyla, f0
ve λ0 değerleri, cihazın fabrika
çıkışı temel karakteristikleri olarak kabul edilmektedir. Çalışmada ele
alınan tüm sinyal gönderme işlemlerinin, bu sabit frekanslı sinyal
üreticileriyle gerçekleştirildiği varsayılmıştır. Bu cihazlardan biri
uçağa, diğerleri ise sinyal kulelerine yerleştirilmiştir.

Figür 1 – Çalışmada
kullanılan cihaz.
Bilgilendirme notu:
Bu makalede kullanılan tüm figürler, ilgili animasyonlardan alınmış
karelerden oluşturulmuştur. Figür açıklamalarında yer alan yıldız
işareti (★), ilgili figürün izlenebilir bir animasyona sahip olduğunu
göstermektedir.
Burada makaleyi okurken bir yandan da bu animasyonları
izleyebilirsiniz.

Deneysel Kurgu:
Konu anlatımının Birinci Bölümünde:

Aşağıdaki Figür 2’de görüldüğü üzere, merkezde O konumunda bir kule ve bunun her
iki yanında A ve B konumlarında iki kenar kulesi
bulunmaktadır.
Figür 2 – Ortada bulunan O
konumundaki kule A ve B kulelerine sinyal gönderir.

Figür 3’te ise O konumunun
üzerinden geçen bir uçak vardır ve yine aynı şekilde A ve B konumlarında birer kule
bulunmaktadır.
Figür 3 – Uçak O konumu üzerinden geçerken A ve B kulelerine sinyal göndermeye
başlar.
Kenarlardaki A ve B kulelerinin, O konumuna olan uzaklıkları
birbirine eşittir. Çalışmada önce ortadaki kuleden yanlardaki A ve B kulelerine sinyal gönderilmiş,
ardından uçaktan A ve B kulelerine sinyal gönderilerek iki
durum karşılaştırılmış; Doppler Kaymasına bağlı dalga boyu değişimleri
ve sinyal hızları bu karşılaştırmalar üzerinden incelenmiştir.

Konu anlatımının İkinci Bölümünde:
Figür 4’te görüldüğü üzere, bu kez yanlardaki A ve B kulelerinden ortada bulunan uçağa
sinyaller gönderilmiş ve yine Doppler Kaymasına bağlı olarak ortaya
çıkan dalga boyu değişimi ve sinyal hızları incelenmiştir.


Figür 4 – Uçak O konumu
üzerinden geçerken A ve B kuleleri sinyal göndermeye başlar.
Doppler Kaymasının oluşumunun ve sinyal hızlarının kaynak ve hedef
referans sistemlerine göre nasıl farklılaştığının açık bir şekilde
görülebilmesi amacıyla kulelerin ve uçağın hareketi aynı doğrultu
üzerinde seçilmiştir. Böylece dalga boyu ve dalga hızı değişimlerinin
hangi fiziksel büyüklüklerden kaynaklandığı daha belirgin biçimde
ortaya konulmuştur.
III – KONU ANLATIMI VE OLAYIN GELİŞİMİ (Birinci Bölüm)

1) Ortadaki Kuleden Sinyal Gönderiliyor
Ortada bulunan O konumundaki
kule, kendisinden eşit uzaklıkta bulunan A ve B kulelerine sinyal gönderir.


Figür 5 – Ortadaki kule, yanlardaki kulelere sinyal gönderiyor.

Olayın gelişimi:
- − Kule t1 anında sinyal
göndermeye başlar.
- − Her iki yönde hareket eden sinyaller t2
anında yanlardaki kulelere varır.
- − Sinyalin seyahat süresi:
t = t2
− t1
Sağ ve sol tarafa giden sinyaller tarafından kat edilen yollar: sinyal
hızı “c”
olduğundan:
AO = BO = c · t
- − Kat edilen yolların dalga boyu cinsinden gösterilmesi:
Kaynak ve hedef kuleler birbirine göre hareketsizdir. Bu nedenle
sinyalin dalga boyunda herhangi bir değişim olmaz ve cihazın üretim
değeri olan sabit dalga boyu geçerli olur.
Dolayısıyla kat edilen yol:
AO = BO = n · λ0
n değeri:
n = c · t / λ0
Kuleler birbirine göre hareketsiz olduğu için burada sinyalin dalga
boyu değişmeyecektir.
Aşağıdaki Figür 6’da sinyallerin varma anı ve ilgili matematiksel
eşitlikler gösterilmektedir.
flash 1
2) Uçaktan Kulelere Sinyal
Gönderilmesi
t1 anında O konumundan geçen uçak her iki
yandaki kulelere sinyal göndermeye başlar. Uçağın hızı “v” olarak kabul edilmektedir.

Figür 7 – Uçak yanlardaki kulelere sinyal gönderiyor.

Uçağın hareketi sebebiyle, gönderilen sinyallerin dalga boylarının değiştiği açıkça
görülür. Figürün animasyonlu versiyonunda bu durum herhangi bir
açıklamaya gerek kalmadan net bir biçimde izlenebilir.
- − Uçağın arkasında kalan A
kulesine doğru giden sinyallerin dalga boyları uzamış olup λ1
ile gösterilmiştir.
- − Uçağın önündeki B kulesine
giden sinyallerin dalga boyu kısalmış
olup λ2 ile gösterilmiştir.

Olay akışı özeti:
t1 anında uçak
O konumundayken sinyal yayını
başlar.
- − Sinyaller O konumundan
yola çıktıkları için, O
noktasına eşit uzaklıkta bulunan A
ve B kulelerine aynı t2 anında varırlar.
- − Sinyallerin seyahat süresi:
t = t2
− t1
- − Uçak olay başlangıcı olan t1
anında O konumundadır.
Sinyaller kulelere ulaşıncaya kadar geçen süre boyunca uçak v hızı ile hareket ederek t2
anında C konumuna gelir.
Uçağın bu süre içinde kat ettiği yol:
CO = v · t
- − Uçak her iki yöne aynı
frekansla sinyal yayınlamaktadır. Bu nedenle her iki yönde
oluşan dalga dizilerinin sayıları eşittir. Bu sayı figürde “n” ile gösterilmektedir.
Uçağın kendi referans sisteminde,
kulelere gönderdiği sinyallerin kat ettiği yolların gösterilmesi:

Sol tarafa giden sinyal (A kulesi
yönü):
A kulesi uçaktan v hızıyla uzaklaşmaktadır. Bu durumda A kulesine giden sinyalin kat ettiği
yol:
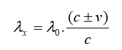
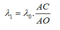
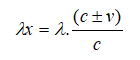
Hız ve zaman cinsinden: AC = c · t + v · t = (c+v)
· t
Dalga boyu cinsinden: AC = n · λ1

Sağ tarafa giden sinyal (B kulesi
yönü):

B kulesi uçağa v hızıyla yaklaşmaktadır. Bu durumda B kulesine giden sinyalin kat ettiği
yol:
Hız ve zaman cinsinden:
BC = c · t
− v · t = (c–v) · t

Dalga boyu cinsinden:
BC = n · λ2

Aşağıdaki figürde, sinyallerin A
ve B kulelerine varma anı ve
ilgili matematiksel eşitlikler gösterilmektedir.
Bu noktada Elektromanyetik Teoride
yapılan temel hatayı açık bir biçimde görebiliyoruz.
Elektromanyetik Teoriye göre, bir kaynaktan gönderilen elektromanyetik
sinyallerin hızı hangi referans sistemi ele alınırsa alınsın daima “c”
olmalıdır. Yer referans sistemine göre ve yanlardaki A ve B kulelerinin referans sistemlerine
göre sinyallerin hızının “c” olduğu figürde açıkça görülen ve
tartışmasız olan bir durumdur. Buna karşılık, uçağın referans sistemine geçtiğimizde
fiziksel tablo tamamen değişmektedir. Uçağın referans sistemine
göre, A kulesine giden sinyallerin hızı "(c + v)"
ve B kulesine giden
sinyallerin hızı "(c - v)" olmaktadır.
Sinyallerin A ve B kulelerine varma süresi t = t2 − t1 olduğu dikkate alındığında, uçağın
referans sistemine göre olan sinyal hızları kolaylıkla hesaplanır:

Uçağın referans sistemine göre:
A kulesine giden sinyallerin
hızı:

B kulesine giden sinyallerin
hızı:

olmaktadır.

Dolayısıyla, uçağın gönderdiği sinyallerin hızlarının c yerine c ± v olması, ışık hızının bütün referans sistemlerinde
sabit olması gerektiğini öne süren elektromanyetik teoriyle açık bir
çelişki oluşturmaktadır. Bu sonuç, teorinin çok kritik bir
noktada gerçekliği doğru yansıtmadığını göstermektedir.
flash 2
Grafiğin ortaya koyduğu bir diğer önemli bulgu şudur:
Sol tarafa giden sinyallerin tamamı aynı dalga boyuna sahiptir
(λ1).
Benzer şekilde, sağ tarafa giden tüm sinyaller de
λ2 dalga boyuna sahiptir.

Dalga boyundaki bu değişimler, sinyali yayınlayan cihazın karakteristik
özelliklerinden bağımsız olarak
ve
sinyalin yayınlanma anında
gerçekleşmiştir.
Figürün animasyon versiyonunda bu süreç açık bir biçimde
izlenebilmektedir.

Cihazın fabrika ayarları teorik olarak


eşitliğini sağlasa da, cihazın yayınladığı sinyallerin dalga
boylarının
her zaman λ0 olacağını düşünmek
gerçek
fiziksel durumu yansıtmaz. Burada
λ0 yalnızca bir
referans dalga boyudur.
Dalga boyundaki değişimi belirleyen fiziksel büyüklük, Kaynak Cisim ile
Hedef Cisim arasındaki göreli hız olan “v”
değeridir.


Doppler Kayması Eşitliği

Doppler Kayması eşitliğinde görüldüğü üzere dalga boyundaki değişim,
v tarafından belirlenen bir oranın
λ0 üzerine uygulanmasıyla
oluşmaktadır.
Bu nedenle λ0, değişimin üzerinde
gerçekleştiği temel referans büyüklüğüdür.

Kaynak Cisim ile Hedef Cisim arasındaki göreli hızın fiziksel olarak
herhangi bir değer alabilmesi,
cihazın üreteceği sinyal dalga boylarının
sonsuz bir çeşitlilikte değişebileceği
anlamına gelir.
Cihaz yalnızca kulelere değil, kendisine göre farklı hızlarda ve farklı
yönlerde hareket eden çok sayıda cisme aynı anda sinyal göndermektedir.
Bu sinyaller aynı cihaz tarafından üretildikleri için frekansları aynı
kalmakta, ancak Kaynak–Hedef göreli hızlarına bağlı olarak
dalga boyları farklı değerler alır.

Figürde sinyallerin beraberce gökyüzünde oluşturduğu şekiller
incelendiğinde her iki tarafta da
homojen dalga dizilerinin
oluştuğu görülmektedir. Bu durum beklenen bir sonuçtur; zira cihaz
sabit
frekansta çalışmakta ve uçak düzgün doğrusal hareket etmektedir.
Bununla birlikte bu görünüm, aynı zamanda çok önemli bir fiziksel
gerçeği açığa çıkarmaktadır:

“Doppler Kaymasında dalga boyundaki
değişim sinyalin yayınlanması esnasında gerçekleşir.”

Sinyal dalga boyundaki değişimin sinyallerin yayınlanma anında
gerçekleştiği göz önüne alındığında, karşı karşıya olduğumuz fiziksel
mekanizmanın ne kadar olağanüstü olduğu daha iyi anlaşılacaktır.

3- Karşılaştırma

Buradaki Figür 9’da karşılaştırma amacıyla Figür 6 ve Figür 8 beraberce
görülebilecek şekilde alt alta verilmiştir.
• Üst kısımda,
uçağın
A ve
B konumlarındaki kulelere
sinyal gönderdiği durum (Figür 8),
• Alt kısımda ise ortadaki
O konumundaki kulenin
yanlardaki kulelere sinyal gönderdiği durum (Figür 6) gösterilmektedir.
flash
Figür 9’da olay akışının özeti:
- − t1 anında O konumundaki kule ile uçak aynı
hizada bulunmaktadır ve sinyal yayını tam bu anda başlamaktadır.
- − Sinyaller t2 anında A ve B konumlarındaki kulelere ulaşmakta,
aynı t2 anında uçak C konumuna gelmiş bulunmaktadır.
- − Hem uçak hem de ortadaki kule aynı tip sinyal üreticisi
kullandığı için t = t2
− t1 süresince her iki kaynak da
her iki yöne eşit sayıda, yani “n” adet dalga yayımlar.
- − Ortadaki kuleden yanlardaki kulelere gönderilen sinyallerde
kuleler birbirine göre hareketsiz olduğundan, bu sinyallerin dalga boyu
değişmez ve her iki yönde de λ0
olarak kalır.
Buna karşılık, uçaktan gönderilen sinyallerde uçak ve kuleler birbirine
göre hareketli olduğu için,
• sol tarafa giden
sinyallerin dalga boyu uzar → λ1
• sağ tarafa giden
sinyallerin dalga boyu kısalır → λ2
olacak şekilde değişmektedir.
Bu durum, figür üzerinde de açıkça görüleceği üzere
λ1 > λ0
> λ2
şeklindeki sıralamayı verir.
Uçağın referans sisteminde sinyal
hızlarının hesaplanması

Figürde verilen büyüklükler kullanılarak, uçağın referans sistemine
göre A ve B kulelerine gönderdiği sinyallerin
hızları oldukça basit bir şekilde hesaplanabilir.

A kulesi yönüne giden sinyal:
Uçak ile A kulesi birbirinden uzaklaştığı
için sinyalin kat ettiği yol
AC = (c + v) · t
olur. Dolayısıyla, uçağın referans sistemine göre A kulesine giden sinyalin hızı:


B kulesi yönüne giden sinyal:
Uçak ile B kulesi birbirine yaklaştığı için
sinyalin kat ettiği yol:
BC = (c − v) · t
olur. Dolayısıyla uçağın referans sistemine göre B kulesine giden sinyalin hızı:


Temel sonuç:
Elde edilen bu sonuçlar, uçağın referans sisteminde
sol taraftaki A kulesine giden
sinyallerin hızının (c + v),
sağ taraftaki B kulesine giden
sinyallerin hızının ise (c − v)
olduğunu açık ve tartışmasız biçimde göstermektedir.
Bu bulgu, elektromanyetik teorinin “bütün referans sistemlerinde ışık
hızının daima c olması gerektiği” yönündeki
temel varsayımıyla çelişmekte ve bu varsayımın fiziksel gerçekliği tam
olarak yansıtmadığını ortaya koymaktadır.
IV – MATEMATİKSEL EŞİTLİKLER

DOPPLER KAYMASI EŞİTLİKLERİNİN ELDE EDİLMESİ

Figürlerden elde edilen niceliklerin doğanın gerçek davranışını doğru
şekilde temsil ettiğini şu temel gerçekten açıkça anlaşılmaktadır:
Doppler Kaymasında dalga boyundaki değişimi veren eşitlik,
figürlerdeki geometrik ve zamansal ilişkilerden yararlanılarak, ek bir
bilgiye ihtiyaç duyulmadan doğrudan türetilebilmektedir.
Aşağıda Figür 9’un vermiş olduğu bilgilerden yararlanarak Doppler
Kayması eşitliklerinin nasıl elde edildiği gösterilmiştir.

Sinyallerin varma süresi:
Uçaktan yayılan sinyallerin A
ve B konumlarındaki kulelere
varma süresi:
t = t2 − t1
t1 : sinyalin yayınlanma anı
t2 : sinyalin kulelere varma anı
Uçak t süresi boyunca v
hızı ile hareket ederek, O
konumundan C konumuna
gelmiştir.
Uçaktan sol taraftaki A
kulesine giden sinyallerin dalga boyunun elde edilmesi:
Uçak ve A kulesi
birbirlerinden uzaklaşmaktadır.


Uçaktan sağ taraftaki B
kulesine giden sinyallerin dalga boyunun elde edilmesi:
Uçak ve B kulesi birbirlerine
yaklaşmaktadır.

VI – SİNYAL HIZLARININ DALGA MEKANİĞİ İLE GÖSTERİLMESİ
Uçağın referans sisteminde, gönderdiği sinyalin hızı c değerinden farklılaşmış olsa bile, Dalga
Mekaniği bu durumda da bütünüyle korunmaktadır. Uçağın referans
sistemine göre elde edilen (c+v) ve (c−v) sinyal hızlarının, Dalga Mekaniği ile tam
uyum içinde olduğu burada açıkça ortaya konmuştur.

Dalga Mekaniğine göre bir dalganın hızı:
Dalga hızı = Dalga boyu x Frekans
şeklindedir.

Uçağın referans sisteminde, sol tarafa (A kulesine) gönderdiği sinyalin
hızının (c+v), sağ tarafa (B kulesine)
gönderdiği sinyalin hızının (c−v) olduğu
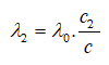
önceki bölümlerde elde edilmiştir. Ortadaki kuleden gönderilen
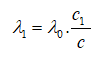
sinyallerin hızı c'dir ve c
= f0 · λ0 eşitliği sağlanmaktadır.
1) Uçaktan A kulesine gönderilen sinyaller için
Dalga Mekaniği:
Dördüncü bölümde elde edilen [1] numaralı Doppler Kayması eşitliğini
kullanırız (uçak ve A kulesi birbirinden uzaklaşıyor)

Bu sonuç, A kulesine giden
sinyalin Dalga Mekaniği ile uyumlu bir şekilde frekansı, dalga boyu ve
hızıyla hareket ettiğini göstermektedir.
2) Uçaktan B kulesine gönderilen sinyaller için
Dalga Mekaniği
Aynı işlem burada da uygulanır. Sayfa 10’da daha önce elde edilen [2]
numaralı Doppler Kayması eşitliği kullanılarak (kule ve uçak birbirine
yaklaşıyor) sonuca ulaşılır.

3) Sonuçlar
Elde ettiğimiz [3] ve [4] numaralı eşitliklerde açıkça görüldüğü üzere,
eğer sinyalin dalga boyu yayınlanma
anında değişiyorsa, sinyalin yayınlanma hızı “c”
sabitinden farklı olmaktadır. Burada özellikle vurgulanmalıdır ki, bu
hız değeri sinyali yayınlayan Kaynak
Cismin kendi referans sistemine göre olan hız değeridir.
4) Kulelere göre uçaktan
kendilerine gelen sinyallerin frekansları nedir?

Sinyalin varacağı Hedef Cismin referans sistemine göre kendisine gelen
bir sinyalin hızı her zaman için sabittir ve c’ye
eşittir.
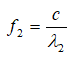
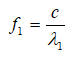
A Kulesine gelen sinyalin dalga boyu λ1’dir
ve sinyal kendisine c hızı ile gelmiştir.
Bu nedenle gelen sinyalin frekansı
olur.
B Kulesine gelen sinyalin dalga boyu λ2’dir
ve sinyal kendisine c hızı ile gelmiştir.
Bu nedenle gelen sinyalin frekansı
olur.
VII – FİZİĞİN GELECEĞİNE GİDEN YOL
Bu aşamada, fiziğin geleceğini doğrudan ilgilendiren ve ileride
fizik bilimine yön verecek bir konudan bahsetmek istiyorum. Normal
şartlarda bu tür değerlendirmeler çalışmanın sonunda yer alır, ancak
burada bir istisna yapma gereği duydum. Çünkü konunun devamını
anlayabilmek için, öncelikle çok özel ve sıra dışı bir durumun
varlığını göstermek zorundayız.
Uzaklığı milyonlarca hatta milyarlarca ışık yılı olan bir galaksiyi
gözlemlediğimizi düşünelim. Bu tür gözlemlerde Doppler Kayması her
zaman açık bir şekilde kendisini gösterir. Peki ama, bu nasıl mümkün
olmaktadır?

Önceki bölümlerde gösterildiği üzere, Doppler Kaymasında dalga
boyundaki değişim sinyalin yayınlanması esnasında oluşmaktadır. Bu
olgunun taşıdığı gerçek anlam şudur:
O uzak galaksideki bir yıldız, Dünya’nın kendisine göre olan hızını
biliyormuşçasına, yayınladığı ışığın dalga boyunu Doppler Eşitliğini
sağlayacak şekilde ayarlayarak yayınlamaktadır.
Yıldızdan Dünya’ya gelmek üzere çıkan elektromanyetik sinyal,
milyonlarca/milyarlarca yıl sürecek yolculuğuna, değişmiş dalga boyu
ile başlıyor. Sinyal Dünya’ya vardığında biz sinyalin dalga boyunu
(veya frekansını) ölçüyor, Doppler Kayması eşitliğini kullanarak
yıldızın/galaksinin bizden uzaklaştığını veya bize yaklaştığını
hesaplıyoruz.
Buradaki kritik nokta şudur:
Yıldız ile Dünya arasındaki mesafenin bu mekanizmada hiçbir önemi
yoktur.
Galaksi bize milyar kere milyar ışık yılı uzakta olsaydı dahi, Doppler
Kayması aynı şekilde ortaya çıkacaktı.

Doppler Kaymasının oluşabilmesi için doğada, sinyalin dalga boyunu
yayınlanma anında belirleyen; sinyal hızında (c+v) (c–v) matematiğini
fiziksel olarak üreten mekanik bir altyapı bulunmak zorundadır. Eğer
evren böyle bir mekanik altyapıya sahip olmasaydı, Doppler Kayması
denen olgu hiçbir şekilde ortaya çıkamazdı.

Bu mekanik altyapının ne olduğuna
dair şu anda fizikte hiçbir açık bilgi yoktur.

Mevcut teorik çerçeveler, Doppler Kaymasının nasıl hesaplandığını
söyler; ancak bu mekanizmanın neden ve nasıl var olduğu hakkında tatmin
edici bir açıklama sunamaz.
Bu çalışmada elde edilen sonuçlar —dalga boyu değişiminin sinyalin
yayınlanması anında gerçekleştiği ve Kaynak Cismin referans sistemine
göre sinyal hızının c’den farklı olabileceği bilgisi— Doppler Kayması
konusuna yeni bir derinlik kazandırmaktadır. Ancak bu çalışma da söz
konusu “mekanik altyapının” ne olduğunu ortaya koymaz; yalnızca onun
varlığına çok daha güçlü ve doğrudan bir şekilde işaret eder.
Dolayısıyla fizik biliminin önünde, geleceğin araştırmalarını
şekillendirecek büyük bir soru durmaktadır:
Doppler Kaymasını mümkün
kılan, evrenin bu gizli mekanizmasının gerçek doğası nedir?
Bu soruya verilecek yanıt, fiziğin geleceğini belirleyen temel
yapı taşlarından biri olacaktır.
VIII – KONU ANLATIMI VE OLAYIN GELİŞİMİ (İkinci Bölüm)

YANLARDAKİ KULELER UÇAĞA SİNYAL
GÖNDERİYOR
Konu anlatımının birinci bölümünde Doppler Kaymasının oluşumu
gösterilirken kurguda en basit yol tercih edilmişti: Sinyaller uçaktan
yayınlanıyor ve yanlarda hareketsiz durumda bulunan kulelere
gönderiliyor. Yer referans sistemine göre kulelere giden sinyallerin
hızları c olduğundan, bu kurguda itiraz
edilebilecek fiziksel çelişkili bir durum yoktur. Böylece olayın
kurgusu bir zorlanma olmadan Doppler Kaymasının oluşumunu, uçağın
referans sistemine göre sinyal hızlarının c
den farklı olduğunu ve dalga mekaniği ile olan ilişkilerini rahat bir
şekilde gösterebilmektedir. Sinyal dalga boyunun niçin değiştiği de,
figürlere dikkat edildiğinde oldukça anlaşılır bir durumdadır.

Bu ikinci bölümde olay akışı farklı bir bakış açısından ele
alınmaktadır. Burada yanlarda bulunan kuleler ortadaki uçağa sinyal
göndermektedir. Olayın başlangıç
anında, uçak O konumundayken kuleler sinyal göndermeye başlar.
Kuleler ile uçak birbirlerine göre hareket halinde olduğu için bu
durumda da Doppler Kayması mutlaka ortaya çıkacaktır. Burada
yanıtlanması gereken temel soru şudur:
Dalga boyundaki değişim nerede ve
nasıl oluşur ve kulelerin uçağa gönderdiği sinyallerin hızları nedir?

1) Yanlış varsayım:
Kulelerden sinyallerin bütün yönlerde ve “c”
hızı ile yayınlandığını varsayalım (Figür 9). Sinyaller “v” hızı ile hareket eden uçağa ulaştığında, uçağın
hareket yönüne bağlı olarak (c+v) ve (c−v) şeklinde bir etki oluşacağını düşünebiliriz.
İlk bakışta bu makul gibi görünse de, bu varsayım fiziksel gerçeklikle
uyumlu değildir.

Çünkü bu varsayım doğru kabul edilirse, uçağın referans sistemine göre
kendisine gelen sinyallerin hızının “c”
olmadığını ileri sürülmüş olur. Bu durumda uçağın referans sistemine
göre, uçağa önden gelen sinyallerin hızı (c+v),
arkadan gelen sinyallerin hızı (c−v) olurdu
ve şöyle bir fiziksel çelişki ortaya çıkardı: uçak arkadan gelen
sinyaller üzerinde (c−v)
ifadesinin belirttiği şekilde enerjide bir azalma hissederdi, önden
gelen sinyallerde ise (c+v) ifadesinin
belirttiği şekilde enerjide bir artış hissederdi.
Oysa Doppler Kaymasında durum tam tersinedir. Doppler kaymasında (c−v) enerjide artmayı (dalga boyu küçülür), (c+v) enerjide azalmayı temsil eder (dalga boyu
büyür). Dolayısıyla bu varsayım doğa ile uyumlu değildir ve fiziksel
gerçekliği açıklayamaz.

Figür 10 – Yanlardaki kuleler uçağa c
hızıyla sinyal gönderiyor.
2) Doğru Varsayım:
Uçağın referans sistemine göre, kendisine doğru gelen sinyallerin
hızının c olduğunu kabul ederek matematiksel
çözüm üretirsek, doğru sonucun hemen ortaya çıktığı görülür. Ancak bu
yaklaşımın doğal bir sonucu vardır:

Soldaki A kulesinin referans
sistemine göre uçağa gönderdiği sinyallerin hızı (c+v)
olmalıdır.
Sağdaki B kulesinin referans
sistemine göre uçağa gönderdiği sinyallerin hızı (c−v)
olmalıdır. (Figür 11)
Birinci bölümde uçağın referans sisteminde kulelere gönderdiği
sinyallerin hızlarının (c+v) ve (c−v) olduğunu bulmuştuk. Burada da böyle bir
durum
geçerli olabilir mi?
Figür 11 – Soldaki kule (c+v) hızı ile, sağdaki kule ise (c−v) hızı ile uçağa sinyal gönderiyor.

Şimdi bu çözüm yolunun doğru olduğunu görelim.

Kulelerin uçağa yolladıkları sinyallerin hızlarının niye değiştiğini şu
an için açıklayamasak da (evrenin o
esrarengiz mekanik altyapısına atıf yapıyorum), bu çözüm yolunun doğru
olduğunu kanıtlamanın basit ve etkili bir yöntemi vardır. Bunun için
Galile Relativite Prensibine başvurmak yeterlidir. Bu prensip bu çözüm
yolunun doğru olduğunu kolaylıkla gösterirken, bir tartışma payı da
bırakmaz.

Galile Relativite Prensibi: Fiziğin
temel yasaları, birbirine göre sabit hızda hareket eden tüm referans
çerçevelerinde aynıdır.

Galile Relativite Prensibi, fizik yasalarının ivmesiz (sabit hızlı)
hareket eden tüm referans sistemlerinde aynı şekilde geçerli olduğunu
söyler. Fizikte yararlanabileceğimiz pek çok mantıksal sonuca işaret
eder. Bu mantıksal sonuçlardan yararlanarak sağlam ve doğru bir
fikirsel bütünlüğe ulaşmak çoğu zaman mümkündür. Burada da aynı yöntemi
izleyeceğiz. Aşağıda bu prensipten yararlanılarak hazırlanmış ve
konumuzla doğrudan ilişkili bazı önemli sonuçlar verilmiştir.

1) Hareketli cisim–durgun cisim ayrımı
mutlak değildir.
Fiziğin mantığı içerisinde eğer iki cisim birbirine göre hareket
halinde ise, “hangisi hareketli, hangisi durağan” sorusunun fiziksel
bir cevabı yoktur. Özel olarak seçilen bir referans sistemine göre bu
iki cisimden herhangi birini hareketsiz konumda farz edebiliriz. Böyle
bir seçim, iki cisim arasındaki fiziksel süreçler üzerinde bir
farklılık oluşturmayacaktır.

2) Sinyalin kim tarafından
gönderildiği fiziksel sonucu değiştirmez.
Bir önceki mantık sebebiyle, kule ve uçak örneğimizde sinyali
hangisinin gönderdiği önemli olmamalıdır. Sinyal dalga boyu değişimi,
Kaynak Cisim ve Hedef Cisim arasındaki göreli hızına bağlıdır, ancak
sinyali hangi cismin gönderdiğine bağlı değildir. Uçağın A kulesine gönderdiği sinyalin dalga
boyu λ1 olduğuna göre, A kulesinin uçağa gönderdiği
sinyalin dalga boyu yine λ1
olacaktır. Benzer şekilde, uçaktan B
kulesine giden sinyalin dalga boyu λ2
olduğuna göre, B kulesinin
uçağa göndereceği sinyalin dalga boyu λ2
olacaktır.

3) Bir cisme göre “gelen sinyalin
hızı” evrensel olarak c’dir.
A ve B kulelerinin referans
sistemine göre, kendilerine gelen sinyalin hızı sabit ve c olduğuna göre, Uçağın referans sistemine göre
kendisine gelen sinyalin hızı c olmalıdır.
Bu şart sağlanıyor mu? Bu şartın sağlandığı Figür 11’den görülmektedir.
Uçağa göre A kulesinden
kendisine gelen sinyalin hızı: c = (c+v)−v
Uçağa göre B kulesinden
kendisine gelen sinyalin hızı: c = (c−v)+v

4) Sinyallerin karşılıklı varış
süreleri eş zamanlı olmalıdır.
Uçağın A ve B kulelerine gönderdiği sinyaller bu
kulelere t
süresinde ve eş zamanlı olarak vardığına göre, kulelerin uçağa
gönderdikleri sinyaller de uçağa t süresinde ve eş zamanlı olarak
varmalıdır.

5) Kulelerin gönderdiği sinyallerin
hızları (c ± v) olmak zorundadır.
Uçağın referans sistemine göre, A
kulesine gönderdiği sinyalin hızı c1 = c
+ v = f0 · λ1 olduğuna göre,
A kulesinin referans sistemine
göre, uçağa gönderdiği sinyalin hızı c1
= c + v = f0 · λ1 olmak zorundadır.

Benzer durum B kulesi için de
vardır. B kulesinin referans
sistemine göre uçağa gönderdiği sinyalin hızı c2
= c − v = f0 · λ2 olacaktır.
Sanıyorum ki Galile Relativite Prensibinin sağladığı mantıksal
tutarlılığı göstermek için bu kadar örnek yeterlidir. Bu mantıksal
sonuçların figürlerde ve animasyonlarda doğru biçimde ortaya çıkmasının
yolu da açıktır: Figür, yukarıda belirtilen tüm koşulları sağlayacak
şekilde kurgulanmalı ve matematiksel düzenlemeler buna göre
yapılmalıdır.
Şartları eksiksiz karşılayan tek bir çözüm yolu vardır:

A kulesinden çıkan sinyallerin
uçağa (c+v) hızıyla, B kulesinden çıkan
sinyallerin ise (c−v) hızıyla gönderilmesi
gerekir.

Aşağıdaki figürlerde iki durum gösterilmektedir.

Figür 12 – Uçak kulelere (c+v) ve (c−v) hızlarıyla
sinyal gönderiyor.

Figür 13 – Kuleler uçağa (c+v) ve (c−v)
hızlarıyla sinyal gönderiyor.
Aşağıdaki Figür 14’te, sinyallerin varma anını karşılaştırmalı olarak
gösterilmektedir.
Figürün üst kısmında sinyaller uçaktan gönderilmektedir; alt kısmında
ise sinyaller yanlardaki kulelerden gönderilmektedir.

Her iki durumda da sinyaller hedeflerine ulaşmış durumdadır. Figür
14, Galile Relativite Prensibinin gerektirdiği bütün koşulları eksiksiz
olarak sağlamaktadır.
flash 4

Figürden elde edilen veriler incelendiğinde, her iki kurguda da
aynı matematiksel eşitliklerin geçerli olduğu görülür.
Böylelikle normalde anlatması gerçekten zor olan İkinci Bölüm, Galile
Relativite Prensibini kullanarak kolay yoldan, üstelik hiçbir ek
matematiksel türetmeye ihtiyaç duymadan açıklanmaktadır. Eğer ikinci
bölümü normal yoldan açıklamaya kalkışsaydım, yüzlerce sayfadan oluşan
bir anlatım yapmam gerekirdi ve anlattığım pek çok şey teorik öngörüler
ve belirsizliklerin arasında kaybolurdu. Galile Relativite Prensibi
gerçekten çok güçlü bir prensiptir.
IX – BULGULAR VE SONUÇLAR
Bu çalışma, fizik teorisinin temel taşlarını doğrudan ilgilendiren son
derece önemli bulgular ortaya koymuştur. Elde edilen sonuçlar aşağıda
maddeler hâlinde özetlenmiştir:

1. Işık hızı sabitinin fiziksel anlamı
yanlış bilinmektedir.
Bu çalışmanın en temel bulgusu şudur:
Işık hızı sabiti c, bir cismin referans
sistemine göre kendisine doğru gelen sinyalin hızını temsil eder.
Bütün cisimler için kendisine gelen sinyalin hızı sabit ve c’ye eşittir.

2. Kaynak Cisme göre sinyalin
yayınlanma hızı sabit değildir.
Kaynak Cismin kendi referans sisteminde, yayınladığı bir sinyalin hızı,
sinyalin hangi Hedef Cisme gittiğine bağlı olarak herhangi bir değer
alabilmektedir. Sinyalin hızı Kaynak Cisim ile Hedef Cisim arasındaki
göreli hızla ilişkili olarak (c ± v)
şeklinde belirlenmektedir. Bu hız değeri Dalga Mekaniği ile de
uyumludur.

3. Kaynak Cisimden aynı anda
yayınlanan sinyallerin hızları çoğu kez birbirinden farklıdır.
Bir Kaynak Cisim olarak bir yıldızı ele alalım. Yıldız, aynı anda yakın
veya çok uzak çevresinde bulunan neredeyse sonsuz sayıda cisme ışık
sinyalleri göndermektedir. Bu cisimlerin neredeyse tamamı yıldıza göre
farklı hız ve yönlerde hareket etmektedir. Bu nedenle, Kaynak Cismin,
yani yıldızın kendi referans sistemine göre, aynı anda yayınlanan ancak
farklı hedef cisimlere giden sinyallerin hızları birbirinden farklı
olacaktır.
Dolayısıyla, Kaynak Cisimden aynı anda yayınlanan sinyallerin
“uzayda c hızıyla genişleyen bir kürenin
yüzeyi” şeklinde yayıldığını varsaymak doğru değildir. Böyle bir model,
Kaynak Cisme göre sinyal hızlarının gerçekte (c+v),
(c−v) gibi farklı değerler alabildiği
gerçeğini göz ardı eder ve bu nedenle geçerliliğini kaybetmiştir.

4. Doppler Kaymasındaki dalga boyu
değişimi Kaynak Cisimde ve yayınlanma anında oluşur.
Dalga boyundaki değişimin miktarını Hedef Cisim ile Kaynak Cisim
arasındaki göreli hız belirlemektedir.
Bir öngörü olarak “Doppler Kayması sürecinde Kaynak Cismin pasif bir
rol üstlendiğini, yalnızca sinyali üretip yayınladığını; buna karşılık
dalga boyundaki değişimin belirlenmesinde Hedef Cismin aktif bir rol
oynadığını” burada ifade etmek isterim.

5. Bir sinyal yayınlandığı anda, hangi
Hedef Cisme doğru yol alacağı fiziksel olarak belirlenmiş durumdadır.
Sinyal hedefine ulaştığında seyahati sona erer. Elektromanyetik ışıma,
daima bir cisimden başka bir cisme gerçekleşen bir etkileşimdir;
dolayısıyla varacağı bir hedef cisim olmadan bir sinyalin yayınlanması
mümkün değildir.

6. Bu bulgular Elektromanyetik Teoride
temel bir eksiklik/yanlışlık bulunduğunu açıkça göstermektedir.
Güncel Elektromanyetik Teori, sinyal hızları için yalnızca sabit c değerini kabul etmekte ve burada ana hatlarıyla
gördüğümüz (c+v) ve (c−v)
matematiğini içermemektedir. Elektromanyetik Teorinin, (c+v) ve (c−v)
matematiğini içine alacak şekilde yeniden düzenlenmesi gereklidir.

7. Bu düzenleme yapıldığında Özel
Relativite Teorisine ihtiyaç kalmayacaktır.
Elektromanyetik Teori (c+v) ve (c−v) matematiğine tam olarak geçiş yaptığı zaman,
birbirine göre hareketli cisimler arasındaki elektromanyetik etkileşimi
doğru bir şekilde ifade edebilen bir duruma gelecektir.
Böyle bir teorik yapı, Özel Relativite Teorisinin açıklamaya çalıştığı
tüm fiziksel olayları zaten kendi içinde barındırmış olacağından, Özel
Relativite Teorisi gibi ayrı bir teoriye ihtiyaç kalmayacaktır.

8) Alice Yasası, (c+v) (c−v)
matematiğini kullanan Elektromanyetik Teoridir.
2001 yılından beri, yani neredeyse 25 yıldır (c+v)
ve (c−v) matematiği üzerinde çalışıyorum.
Hazırladığım tüm çalışmaları bugüne kadar Alice Yasası adı altında
yayınladım. İlk yıllarda Alice Yasasını — yani (c+v)
(c−v) matematiğini — alternatif bir
relativite teorisi temelinde değerlendiriyordum. Ancak zaman içinde bu
matematiğin aslında Elektromanyetik Teoriye ait olduğunu anladım. Bu
nedenle bugün rahatlıkla şunu söyleyebilirim:
Alice Yasası, (c+v) (c−v)
matematiğini kullanan Elektromanyetik Teoridir.

Relativite Teorisi gibi, Alice Yasasının da işaret ettiği birçok
öngörü ve sonuç bulunmaktadır. Örneğin:
• Alice Yasasında Zaman
Kayması ve Uzunluk Kayması,
• Özel Relativite Teorisinde
ise Zaman Gecikmesi ve Uzunluk Kısalması vardır.
Burada anlatmaya çalıştığım şudur:
Bir yerde zamanın yavaşladığını
ölçüyorsanız, bir cismin boyutunda değişim görüyorsanız, bunun sebebi
Alice Yasasının varlığıdır.

Relativite Teorisinin kavramlarıyla Alice Yasasına yaklaşmak doğru
bir yöntem değildir.
Ayrıca her iki teorinin öngörüleri arasında önemli yapısal
farklılıkların bulunduğu da unutulmamalıdır.

Alice Yasasının öngörüleri ve sonuçlarıyla ilgili tüm çalışmalarıma
aliceinphysics.com web sitemden ulaşabilirsiniz.

9) Geleceğin fiziğine giden yol.
Elektromanyetik Teori, (c+v) ve (c−v) matematiği temelinde ilerledikçe, c ışık hızı sabitinin gerçek fiziksel anlamı daha
iyi anlaşılacak ve bu matematiğin ortaya çıkmasını sağlayan evrenin o gizemli mekanik
altyapısının keşfedilmesinin yolunu açacaktır.
X – KAYNAKÇA

[1] Einstein, A. (1991). İzafiyet
teorisi
(G. Aktaş, Trans.). İstanbul, Türkiye: Say Yayınları.
(Original work published as Relativity: The Special and the General
Theory)

[2] Milli Eğitim Bakanlığı. (1996). Liseler
için Fizik I
(Yayın No. 553; Ders Kitapları Dizisi No. 168). Ankara, Türkiye: Gaye
Matbaacılık.

[3] Erim, H. (2017). Alice Law –
Transition to (c+v) (c–v) Mathematics in Electromagnetic Theory
(Trans. M. H. Kaya; Redaction Y. Özmenekşe). İstanbul, Türkiye: Cinius
Publishing.
Çevrimiçi yayın:
https://www.aliceinphysics.com/publications/alice_law_8/en/index.html

[4] Erim, H. (2017). Alice Yasası –
Elektromanyetik Teoride (c+v) (c–v) Matematiğine Geçiş.
İstanbul, Türkiye: Cinius Publishing.
Çevrimiçi yayın:
https://www.aliceinphysics.com/publications/alice_law_8/tr/index.html

[5] Erim, H. (2025). Correction of
the Major Error in Electromagnetic Theory and Transition to the Alice
Law.
Zenodo:
https://zenodo.org/records/17667009
Çevrimiçi yayınlar:
Türkçe:
https://www.aliceinphysics.com/publications/alice_law_8/tr/part_61.html
İngilizce:
https://www.aliceinphysics.com/publications/alice_law_8/en/part_61.html

[6] Erim, H. (2025). AliceYasası – Versiyon 9 Fizik Programı [Yazılım].
Program Türkçe, İngilizce, Rusça ve İspanyolca dil desteğine sahiptir.
İndirme adresi:
Türkçe Sayfa:
https://www.aliceinphysics.com/download/download_tr.html
link