баннер
ИСПРАВЛЕНИЕ БОЛЬШОЙ ОШИБКИ
В ЭЛЕКТРОМАГНИТНОЙ ТЕОРИИ
И
ПЕРЕХОД К ЗАКОНУ ALICE
Han Erim
Независимый исследователь

11 августа 2025 года
DOI:https://zenodo.org/records/17653302
I – ПРЕДИСЛОВИЕ

В современной Электромагнитной Теории скорость света принимается постоянной для всех
систем отсчёта и обозначается константой
“
c”.
Однако в
системе отсчёта объекта,
излучающего свет, скорость испускаемого светового сигнала часто отличается от значения “
c”.
Это происходит из-за явления, называемого
доплеровский сдвиг,
которое изменяет длину волны испускаемого светового сигнала, и скорость испускаемого сигнала определяется уравнением "
Скорость волны".
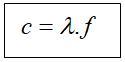
УРАВНЕНИЕ СКОРОСТИ ВОЛНЫ
Скорость волны = Длина волны × Частота волны

В данном исследовании было установлено, что на основе уравнений
скорости волны и доплеровского смещения скорость света изменяется в
зависимости от системы отсчёта. Этот результат показал, что в
современной электромагнитной теории в качестве основы должен быть
принят подход, который я назвал
Закон Alice — основанный на
математике (c+v)(c−v).
II – ВВЕДЕНИЕ

Если
Источник сигнала и
Цель,
принимающая сигнал,
покоятся относительно друг друга,
то в системе отсчёта Источника скорость сигнала
постоянна, то есть равна “
c”.

Если Источник и Цель покоятся относительно друг друга,
то в системе отсчёта Источника скорость испускаемого светового сигнала
равна “c”. |

Однако, если Источник и Цель
движутся относительно друг друга,
частота испускания сигнала не меняется,
но
длина волны сигнала изменяется. В этом случае,
так как скорость волны определяется изменённой длиной волны,
скорость испускаемого сигнала будет отличаться от значения “
c”.

Если Источник и Цель движутся относительно друг друга,
то в системе отсчёта Источника скорость испускаемого светового сигнала
отличается от “c”.
|

Для
Цели, получающей сигнал,
ситуация иная. В собственной системе отсчёта объекта
скорость приходящего светового сигнала всегда постоянна и равна “c”. Это результат, полученный
путём измерений, и именно поэтому в физике существует константа “
c”.

Если Источник и Цель покоятся относительно друг друга,
то в системе отсчёта Цели скорость приходящего светового сигнала
равна “c”. Длина волны и частота приходящего сигнала совпадают с длиной волны и частотой
сигнала, испускаемого Источником. |

Однако, если Исходный
Объект и Целевой Объект движутся относительно друг друга, скорость
светового сигнала, достигающего Целевого Объекта, всё равно будет “
c”.
Однако из-за изменения длины волны испускаемого сигнала для Целевого
Объекта как длина волны, так и частота поступающего сигнала будут
отличаться.

Если Источник и Цель движутся относительно друг друга,
то в системе отсчёта Цели скорость приходящего светового сигнала
равна “c”, но длина волны и частота
сигнала изменились. |

В данной работе
математически показано, что свет ведёт себя так, как описано здесь. В
результате в Электромагнитной Теории необходимо перейти к математике,
представленной здесь и названной математикой (c+v) (c-v).
III
– МЕТОД И РЕЗУЛЬТАТЫ

Начало события, Рисунок 1:

В качестве отправной точки я опишу «
Событие»
и затем разовью тему.

Как видно на рисунке ниже, в позиции
A
находятся три Цели (коробки), а
в позиции
B — три Источника (лампы). Коробки идентичны друг другу. Лампы идентичны друг другу.

В начале события Цели и Источники находятся в своих позициях A и B в
покое.

Событие начинается, Рисунок
2:
Три лампы загораются одновременно, и в тот же момент Лампа 2 начинает двигаться в сторону от коробок,
а Лампа 3 — в сторону коробок. Скорость ламп я обозначаю как "
v". Обе лампы движутся с одинаковой скоростью, но в противоположных направлениях.
Развитие события,
Рисунок 3
Когда свет, испускаемый лампами, движется к своим целям, Лампа 2 и
Лампа 3 продолжают движение в своих направлениях. Я принимаю как
базовый факт физики, что скорость световых лучей, идущих к Целям, равна
"
c"
относительно целей. Так как лампы находятся в позиции B и загораются
одновременно, расстояния от коробок до приближающихся световых лучей
всегда будут одинаковыми.

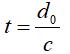
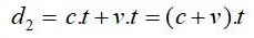
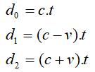
Конец события, Рисунок 4
Поскольку свет был зажжён, когда лампы находились в позиции B, он
достигает своих целей в позиции A одновременно и за время "t" (

).
Момент прибытия света я показываю на рисунке, указывая расстояния ламп до коробок.


Выразив размеры математически, мы легко можем увидеть, что утверждение о том, что скорость света равна
"
c" во всех системах отсчёта,
невозможно и является очень ошибочной
информацией.

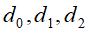
Полученные нами данные представлены ниже в виде таблицы.
ТАБЛИЦА ЗНАЧЕНИЙ
Время прибытия света:
|
|
Расстояния между коробками и лампами в момент прибытия света к коробкам:
|
Коробка 1 - Лампа 1
|
 |
Коробка 2 - Лампа 2
|
|
Коробка 3 - Лампа 3
|
|
Скорости световых сигналов, испускаемых лампами в их собственных системах отсчёта:
|
Лампа 1
|
|
| Лампа 2 |
|
| Лампа 3 |
|
Скорости световых сигналов, приходящих к коробкам в их собственных системах отсчёта:
|
Коробка 1
|
|
Коробка 2
|
|
Коробка 3
|
 |
Как видно из Таблицы значений, величины (c+v) и (c-v) представляют собой скорости световых сигналов, испускаемых лампами, в их собственной системе отсчёта.

Поскольку скорость света зависит от используемой
системы отсчёта, скорость светового сигнала может быть точно определена только
с помощью «математики (c+v) (c-v)». Закон Alice
— это электромагнитная теория, основанная на этой математике. Поэтому, когда вы
заявляете, что приняли Закон Alice,
вы фактически заявляете, что приняли математику
(c+v) (c-v).
Универсальность события, Рисунок 5

Описывая «Событие», я
отметил, что в начальном состоянии Лампы и Коробки находились в покое.
Однако во Вселенной не существует объекта, который находился бы в
состоянии абсолютного покоя. Даже если Лампы и Коробки находятся в
покое относительно друг друга, это не означает, что они не движутся.
Рассмотрим, что описываемое здесь «Событие» происходит в более высоком
уровне системы отсчёта. Эта более высокая система может двигаться в
любом направлении и с любой скоростью. Тем не менее, «Событие»
происходит точно так же, без каких-либо изменений. В физике эта
ситуация объясняется
Принципом относительности Галилея.

| Принцип относительности Галилея: Основные законы физики одинаковы во всех системах отсчёта, движущихся равномерно и прямолинейно относительно друг друга. |

Следовательно, в данном
«Событии» рассчитанные нами значения расстояний и скоростей являются
правильными и надёжными. Поскольку мы включили Принцип относительности
Галилея в логику «События», мы можем сформулировать последовательный
принцип для описания поведения света следующим образом:
| Универсальная скорость света:
В пустом пространстве свет распространяется с постоянной скоростью c
относительно системы отсчёта точки назначения, независимо от источника,
испускающего его. |

Развитие события и длины волн, Рисунок 6

На этом этапе, добавив
длины волн излучаемого света к рассматриваемому «Событию», мы придём к
важным выводам. Давайте теперь выразим расстояния

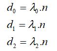
через длины волн.

ППредполагается, что лампы идентичны друг другу. Следовательно, частоты
света, испускаемого всеми тремя лампами, равны между собой. Обозначим
это значение частоты как

.
Частота

является общей для всех трёх ламп.

Предположим, что фотоны,
образующие свет от ламп, испускаются лампами по одному и
последовательно. Пронумеруем фотоны в порядке их излучения и
дополнительно изобразим длину волны каждого фотона в виде полной
синусоиды. Как показано на рисунке ниже, испускается фотон номер 1,
затем испускается фотон номер 2, и излучение света продолжается таким
образом. Предположим, что в момент, когда фотоны с номером 1 достигают
своих целей, завершилось излучение фотонов с номером «n».
Соответственно, в момент прибытия света ситуация с фотонами будет
такой, как показано на рисунке ниже.

Обратим внимание: так как частоты ламп равны, все три лампы испустили
"n" фотонов за одно и то же время
"𝑡".
Однако длины волн испущенного света не равны между собой. Так как
«Коробка 2 и Лампа 2» и «Коробка 3 и Лампа 3» движутся относительно
друг друга, длины волн световых сигналов, испускаемых Лампой 2 и Лампой
3, изменились.

Если принять длину волны света, излучённого «Лампой 1», за точку отсчёта;
Длина волны света, излучённого «Лампой 2»,
увеличилась.
Длина волны света, излучённого «Лампой 3»,
уменьшилась.

Изменение длины волны, вызванное относительным движением между Источником и Целью, в физике известно как
эффект Доплера,
и приведённый выше рисунок иллюстрирует его формирование. И ещё раз
обратите внимание: когда свет (фотоны) испускается, он уже испускается с
изменённой длиной волны. При эффекте Доплера изменение длины волны происходит в Источнике и
в момент излучения светового сигнала.
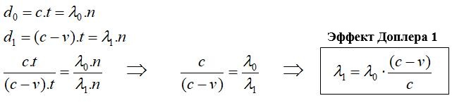
Вывод уравнения доплеровского сдвига:

Используем полученные нами данные о расстояниях, чтобы вывести уравнение доплеровского сдвига.

Вывод уравнения доплеровского сдвига для света от третьей лампы:
(Источник и Цель приближаются друг к другу)

Вывод уравнения доплеровского сдвига для света от второй лампы:
(Источник и Цель удаляются друг от друга)

Мы можем обобщить приведённые выше уравнения доплеровского сдвига
следующим образом. Мы уже видели, что значения (c+v) и (c-v) в этих
уравнениях представляют собой скорости сигнала, отправленного в системе
отсчёта Источника. Соответственно, общее уравнение доплеровского сдвига
можно записать следующим образом и в двух формах. Уравнение слева — это
всё ещё уравнение доплеровского сдвига, используемое в классической
механике. Уравнение справа — это новая информация, появившаяся с
Законом Alice.
Общие уравнения Доплеровского сдвига

| Символ |
Описание
|
|
Скорость движения Источника относительно Цели.
|
|
1 – Постоянная скорость света
2 – Скорость сигнала, приходящего к Цели, относительно системы отсчёта Цели.
3 – Скорость сигнала, посланного Источником к неподвижной Цели, относительно системы отсчёта Источника.
|
|
Скорость сигнала, посланного Источником к движущейся Цели, относительно системы отсчёта Источника.
Возможные значения выражения:
Если Источник и Цель удаляются друг от друга:

Если Источник и Цель сближаются: |
|
Скорость сигнала, посланного Источником к движущейся Цели, относительно системы отсчёта Источника.
|
|
Исходная длина волны сигнала, посланного от источника к неподвижной цели. |
|
Изменённая длина волны сигнала, посланного от источника к движущейся цели. |
Вывод уравнений скорости волны для Источников и Целей:

Сначала перепишем здесь общее уравнение доплеровского сдвига, выведенное выше:


1) В системе отсчёта Источника запишем скорость светового сигнала, отправленного к
неподвижной Цели:


2) Используя два уравнения выше, в системе отсчёта Источника запишем скорость светового сигнала, отправленного к
движущейся Цели:
 |
В системе отсчёта Источника — скорость сигнала, отправленного к движущейся Цели |
 |
Длина волны сигнала, излучённого Источником и подвергшегося доплеровскому сдвигу |
 |
Частота излучения сигнала в Источнике |

3) В системе отсчёта Цели длина волны сигнала, приходящего от
неподвижного
Источника, не изменится. Измерив длину волны приходящего сигнала, можно
найти его частоту. Полученное значение частоты будет совпадать с
частотой источника. Затем можно записать уравнение скорости волны для
принимаемого сигнала:

4) В системе отсчёта Цели,
если принимаемый сигнал излучён движущимся Источником, сигнал равно
будет поступать со скоростью «c», однако его длина волны изменится
из-за доплеровского сдвига. Обозначим изменённую длину волны как

.
Далее, вычислив частоту, можно записать уравнение скорости волны.
 |
В системе отсчёта Цели — скорость сигнала, приходящего от движущегося Источника |
 |
1 — Длина волны сигнала, излучённого Источником. Из-за доплеровского сдвига длина волны изменилась.
2 — Длина волны сигнала, принятого Целью. |
 |
Частота принимаемого сигнала для Цели. |
IV – РЕЗУЛЬТАТЫ И ОБСУЖДЕНИЕ
Здесь можно сказать многое, но я скажу лишь следующее:
Осознайте
большую ошибку, допущенную в прошлом в теории физики, и немедленно
обратитесь к тому, что верно. Информация, представленная в этой
публикации, относится к области базовых знаний по физике, и её должны
изучить и понять все, кто занимается физикой — будь то любитель или
профессионал, молодой или пожилой, студент или профессор. И, конечно
же, вы будете нести за эти знания ответственность: лично, как
преподаватель и как учреждение.

И я настоятельно прошу вас — не
вовлекайте в это Альберта Эйнштейна. Со своими истинами и ошибками он
выражал собственные идеи. Из этой публикации совершенно ясно, что
теория относительности не является действительной теорией. Вам следует
направить себя в сторону того, что верно.

V – СПИСОК ЛИТЕРАТУРЫ

Эти публикации я нашёл
около двадцати пяти лет назад, когда только начал работать над Законом
Элис. Эти работы показывают, что в теории относительности дела обстоят
не лучшим образом. Благодаря этим работам я смог найти силы продолжать
развивать Закон Элис. Здесь я хотел бы поблагодарить авторов этих
публикаций.
The GPS and the Constant Velocity of
Light
Paul Marmet, Professor, Physics, Laval University, Québec, Canada
1962-83, Senior Research Officer, National Research Council of Canada
1983-90
Successful GPS Operations Contradict
the Two Principles of Special Relativity
and Imply a New Way for Inertial Navigation – Measuring Speed Directly
Ruyong Wang, St. Cloud State University, St. Cloud, Minnesota, United
States
Clock Behavior and the Search for an
Underlying Mechanism for Relativistic Phenomena
Ronald R. Hatch, NavCom Technology, Inc
Lunar Laser Ranging Test Of The
Invariance Of C
Daniel Y. Gezari
NASA/Goddard Space Flight Center, Laboratory for ExoPlanets and Stellar
Astrophysics,
One-Way Light Speed Determination
Using the Range Measurement Equation of the GPS
Stephan J. G. Gift
Department of Electrical and Computer Engineering Faculty of
Engineering
The University of the West Indies St. Augustine, Trinidad, West Indies
Resolving Spacecraft Earth-Flyby
Anomalies with Measured Light Speed Anisotropy
Reginald T. Cahill
School of Chemistry, Physics and Earth Sciences, Flinders University,
Adelaide 5001, Australia
Link