banner
Исправление
Ошибки в Электромагнитной Теории
Часть 2

Взаимосвязь между Доплеровским
смещением, скоростью сигнала и волновой механикой

Han Erim
Независимый исследователь

8 декабря 2025
DOI:
https://zenodo.org/records/17919673

Эта страница является оригинальной страницей, где анимации
представлены в формате Flash.
Если возникнут какие-либо проблемы, вы сможете без препятствий
продолжить работу на резервной
странице, где анимации показаны в видеоформате.
Нажмите здесь, чтобы
перейти на резервную страницу.
|
I – РЕЗЮМЕ
В данной работе посредством эффекта Доплера показывается, что
скорость электромагнитной волны (сигнала) изменяется в зависимости от
системы отсчёта.

Основные результаты исследования можно суммировать следующим образом:
- Со стороны Целевого Объекта
скорость сигнала, который достигает или приближается к нему, всегда постоянна и равна “c” в собственной системе отсчёта
Целевого Объекта.
- Если между Источником и Целевым
Объектом существует относительное движение, скорость сигнала,
испускаемого Источником, в его собственной системе отсчёта отличается от “c”.
- При эффекте Доплера изменение
длины волны происходит в
момент испускания сигнала и не
зависит от расстояния между Источником и Целевым Объектом.
- При эффекте Доплера изменение
длины волны и изменение
скорости испускания сигнала происходят одновременно в соответствии с
волновой механикой.
Скорость испускаемого сигнала = Частота сигнала × Изменённая длина
волны сигнала
Эти результаты показывают, что в Электромагнитной Теории существуют
различные недостатки и ошибки. Представленная работа вносит исправления
в эти недостатки и выводит Электромагнитную Теорию на более
согласованный и объяснительный уровень.
II – МЕТОД И ЭКСПЕРИМЕНТАЛЬНАЯ УСТАНОВКА

В изложении данной работы использовалось устройство-передатчик
сигнала, генерирующее однородную и равномерную электромагнитную волну.
Частота устройства считается постоянной и равной f0.
С этим значением частоты длина волны синусоидальных сигналов,
производимых устройством, согласно уравнению c = f0 . λ0 , будет соответствующей.
Следовательно, значения f0 и λ0 принимаются как основные заводские
характеристики устройства. Предполагается, что все операции передачи
сигнала, рассматриваемые в работе, осуществляются этими генераторами
сигнала с фиксированной частотой. Одно из этих устройств установлено на
самолёте, а другие — на сигнальных башнях.


Рисунок 1 – Устройство, использованное в исследовании.
Информационная заметка:
Все рисунки, использованные в этой статье, созданы из кадров,
полученных из соответствующих анимаций. Звёздочка (★) в описаниях
рисунков показывает, что у соответствующего рисунка есть доступная для
просмотра анимация.
Здесь, читая статью, вы можете одновременно просматривать эти
анимации.

Экспериментальная установка:
В Первом Разделе изложения:

Как показано на Рисунке 2 ниже, в центре находится башня в положении
O, и по обе стороны расположены две
боковые башни в положениях
A и
B.

Рисунок 2 – Башня, находящаяся в положении O, посылает сигналы к
башням A и B.

На Рисунке 3 самолёт проходит над положением O, и аналогично башни расположены в
положениях A и B.


Рисунок 3 – Когда самолёт проходит над положением O, он начинает посылать сигналы к
башням A и B.
Расстояния от боковых башен A
и B до положения O равны друг другу. В исследовании
сначала сигналы посылались от центральной башни к боковым башням A и B,
затем сигналы посылались от самолёта к башням A и B,
и эти две ситуации сравнивались; изменения длины волны, связанные с
Доплеровским сдвигом, и скорости сигнала анализировались на основе этих
сравнений.
Во Втором Разделе изложения:

Как видно на Рисунке 4, на этот раз сигналы посылаются от боковых башен
A и B к самолёту, находящемуся в центре,
и вновь исследуются изменение длины волны и скорости сигнала,
возникающие вследствие Доплеровского сдвига.

Рисунок 4 – Когда самолёт проходит над положением O, башни A и B
начинают посылать сигналы.
Для того чтобы отчётливо увидеть, как формирование
Доплеровского сдвига и скорости сигнала различаются в системах отсчёта
источника и приёмника, движение башен и самолёта выбрано вдоль одной и
той же прямой. Таким образом, более наглядно показывается, какими
физическими величинами определяются изменения длины волны и скорости
волны.
III – ИЗЛОЖЕНИЕ ТЕМЫ И РАЗВИТИЕ СОБЫТИЙ (Первая Часть)

1) Передача сигнала с центральной башни
Башня, расположенная в центральном положении O, посылает сигналы к башням A и B,
находящимся на равном от неё расстоянии.


Рисунок 5 – Центральная башня посылает сигналы к боковым башням.

Развитие события:

− Башня начинает посылать сигнал в
момент
t1.

− Сигналы, движущиеся в обе
стороны, достигают боковых башен в момент
t2.

− Время распространения сигнала:
t
=
t2 −
t1

− Пути, преодоленные сигналами,
идущими вправо и влево

Поскольку скорость сигнала равна “
c”:
AO = BO = c·t

− Представление пройденного пути в
единицах длины волны:

Источник и приёмные
башни неподвижны относительно друг друга. Поэтому длина волны сигнала
не изменяется, и действует фиксированная длина волны устройства
λ0.

Следовательно,
пройденный путь:
AO = BO = n·λ0

Значение n:

n = c·t / λ
0

Так как башни
неподвижны относительно друг друга, длина волны сигнала здесь не
изменится.
На Рисунке 6 ниже показан момент прихода сигналов и соответствующие
математические равенства.
flash
2) Передача сигналов от самолёта к
башням
Когда самолёт проходит через положение O, он начинает посылать сигналы к
башням с обеих сторон. Скорость самолёта принимается равной “v”.


Рисунок 7 – Самолёт посылает сигналы к боковым башням.

Из-за движения самолёта отчётливо видно, что длины волн сигналов изменяются. В
анимированной версии рисунка это можно наблюдать совершенно ясно без
каких-либо пояснений.
− Длины волн сигналов, идущих к башне A, находящейся позади самолёта,
увеличены и обозначены λ1.
− Длины волн сигналов, идущих к башне B, находящейся перед самолётом,
уменьшены и обозначены λ2.

Краткое описание хода событий:
В момент t1, когда самолёт находится в положении O, начинается излучение сигнала.
− Так как сигналы выходят из
положения O, они достигают
башен A и B, находящихся на равном расстоянии
от точки O, в один и тот же
момент t2 .
− Время распространения сигналов: t
= t2 − t1
− В начальный момент события t1
самолёт находится в положении O.
За время, прошедшее до достижения сигналами башен, самолёт движется со
скоростью v и в момент t2 приходит в положение C.
Путь, пройденный самолётом
за это время: CO = v·t
− Самолёт излучает сигналы в обоих
направлениях с одинаковой частотой.
Поэтому число волновых пакетов, образующихся в обоих направлениях,
одинаково. Это число на рисунке обозначено буквой “n”.
В собственной системе отсчёта самолёта
пути, пройденные сигналами, посланными к башням, показываются следующим
образом:
Сигнал, идущий в левую сторону (в
направлении башни A):
Башня A удаляется от самолёта
со скоростью v. В этом случае путь, пройденный сигналом, идущим к
башне A:
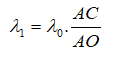
В единицах скорости и времени: AC =
c·t + v·t = (c+v)·t
В единицах длины волны: AC = n
· λ1
Сигнал, идущий в правую сторону (в
направлении башни B):
Башня B приближается к
самолёту со скоростью v. В этом случае
путь, пройденный сигналом, идущим к башне B:
В единицах скорости и времени: BC =
c·t − v·t = (c−v)·t
В единицах длины волны: BC = n · λ2

На следующем рисунке показан момент прихода сигналов к башням A и B
и соответствующие математические равенства.
В этот момент мы можем ясно увидеть
основную ошибку, допущенную в Электромагнитной Теории. Согласно
Электромагнитной Теории, скорость электромагнитных сигналов, посылаемых
из источника, должна всегда быть “c” независимо от того, какая система
отсчёта рассматривается. В системе отсчёта Земли и в системах отсчёта
боковых башен A и B тот факт, что скорость сигналов
равна “c”,
на рисунке виден совершенно очевидно и не подлежит сомнению. Однако, когда мы переходим в систему отсчёта
самолёта, физическая картина полностью меняется. В системе
отсчёта самолёта скорость сигналов, идущих к башне A, становится “c+v”, а скорость сигналов, идущих к
башне B, становится “c−v”. Учитывая, что время прихода
сигналов к башням A и B равно t = t2
− t1, скорости сигналов в системе отсчёта самолёта
легко вычисляются:

В системе отсчёта самолёта:
Скорость сигналов, идущих к башне A:
Скорость сигналов, идущих к башне B:
получаются.

Следовательно, тот факт, что скорости сигналов, посылаемых
самолётом, становятся c±v
вместо c, создаёт явное противоречие электромагнитной теории,
утверждающей, что скорость света
должна быть постоянной во всех системах отсчёта. Этот
результат показывает, что теория не отражает действительность в очень
критической точке.

flash
Другой важный результат, показанный графиком,
заключается в следующем: Все сигналы, идущие в левую сторону, имеют
одну и ту же длину волны (λ
1). Аналогично, все сигналы,
идущие вправо, имеют длину волны
λ2.

Эти изменения длины волны происходят независимо от характеристических
свойств устройства, излучающего сигнал, и в момент излучения сигнала. В
анимированной версии рисунка этот процесс можно ясно наблюдать.

Заводские настройки устройства теоретически обеспечивают
f0= c / λ0

Хотя это равенство выполняется, предполагать, что длины волн
сигналов, излучаемых устройством, будут всегда λ0, не отражает реальную
физическую картину. Здесь λ0 является лишь опорной длиной волны. Физическая
величина, определяющая изменение длины волны, — это относительная
скорость “v”
между Источником и Целью.


Уравнение Доплера

Как видно из уравнения Доплера, изменение длины волны возникает путём
применения отношения, определяемого v. Поэтому λ0 является основной опорной
величиной, на которой происходит изменение.

Тот факт, что относительная скорость между Источником и Целью физически
может принимать любые значения,
означает, что длины волн сигналов, создаваемых устройством, могут изменяться бесконечно разнообразно.
Устройство посылает сигналы не только башням, но одновременно множеству
тел, движущихся относительно него с различными скоростями и в разных
направлениях. Поскольку эти сигналы генерируются одним и тем же
устройством, их частоты остаются неизменными, однако их длины волн
принимают разные значения в зависимости от относительной скорости между
Источником и Целью.

При рассмотрении форм, которые сигналы вместе образуют в небе, видно,
что по обе стороны формируются однородные
волновые пакеты. Это ожидаемый результат, поскольку устройство
работает на фиксированной частоте, а самолёт движется равномерно
прямолинейно. Вместе с тем эта картина раскрывает очень важный
физический факт:

«При эффекте Доплера изменение
длины волны происходит во время излучения сигнала».

Если учитывать, что изменение длины волны сигнала происходит в момент
излучения сигналов, станет лучше понятно, насколько необычен физический
механизм, с которым мы имеем дело.

3- Сравнение

На рисунке 9 для сравнения рисунки 6 и 8 приведены один под другим так,
чтобы их можно было видеть вместе.
• В верхней части показан случай,
когда самолёт посылает сигнал
к башням в положениях A и B (рисунок 8),
• В нижней части показан случай,
когда башня в центральном положении O
посылает сигнал к боковым башням (рисунок 6).

flash
Краткое резюме хода событий на рисунке 9:

− В момент
t1
башня в положении
O и самолёт
находятся на одной линии, и излучение сигнала начинается именно в этот
момент.

− В момент
t2
сигналы достигают башен в положениях
A
и
B, и в тот же момент
t2
самолёт оказывается в положении
C.

− Поскольку и самолёт, и
центральная башня используют один и тот же тип генератора сигнала, в
течение интервала времени
t =
t2 −
t1
оба источника излучают в каждом направлении
одинаковое количество волн, то есть “n” волн.

− В сигналах, посылаемых от
центральной башни к боковым башням, поскольку башни покоятся друг
относительно друга, длина волны этих сигналов не меняется и остаётся λ
0
в обоих направлениях.

Напротив, в сигналах,
посылаемых с самолёта, поскольку самолёт и башни движутся друг
относительно друга,

• длина волны
сигналов, идущих в левую сторону, увеличивается → λ
1

• длина волны
сигналов, идущих в правую сторону, уменьшается → λ
2

таким образом
изменяясь.

Как ясно видно на
рисунке,


λ
1 > λ
0 > λ
2

— такое соотношение
получается.

Вычисление скоростей сигналов в
системе отсчёта самолёта
Используя величины, приведённые на рисунке, скорости сигналов,
посылаемых к башням A и B, можно очень просто вычислить в
системе отсчёта самолёта.

Сигнал, идущий в направлении башни A:
Так как самолёт и башня A удаляются друг от друга, путь,
пройденный сигналом,
AC = (c + v) · t
Следовательно, скорость сигнала, идущего к башне A, в системе
отсчёта самолёта:

Сигнал, идущий в направлении башни B:
Так как самолёт и башня B приближаются друг к другу, путь,
пройденный сигналом:
BC = (c − v)
· t
Следовательно, скорость сигнала, идущего к башне B, в системе
отсчёта самолёта:


Основной результат:
Полученные результаты ясно и однозначно показывают, что в системе
отсчёта самолёта:
скорость сигналов, идущих к левой башне A, равна c+v,
а скорость сигналов, идущих к правой башне B, равна c−v.
Этот результат противоречит основному предположению электромагнитной
теории, согласно которому «скорость света должна всегда быть c во всех
системах отсчёта», и показывает, что это предположение не полностью
отражает физическую реальность.
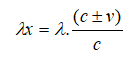
IV- МАТЕМАТИЧЕСКИЕ РАВЕНСТВА

ПОЛУЧЕНИЕ УРАВНЕНИЙ ДОПЛЕРА
Из следующего основного факта ясно, что величины, полученные из
рисунков, правильно отражают реальное поведение природы:
Уравнение, дающее изменение длины волны при эффекте Доплера, можно
непосредственно вывести из геометрических и временных соотношений на
рисунках, не нуждаясь в дополнительной информации.

Ниже показано, как, пользуясь данными рисунка 9, выводятся
уравнения Доплера.

Время прихода сигналов:
Время прихода сигналов, излучённых самолётом, к башням в положениях A и
B:
t =
t2 −
t1
t1 : момент излучения сигнала
t2 : момент прихода сигнала к башням
В течение интервала времени t самолёт движется со скоростью v и
переходит из положения O в положение C.

Нахождение длины волны сигналов,
идущих от самолёта к левой башне A:
Самолёт и башня A удаляются друг от друга.


Нахождение длины волны сигналов,
идущих от самолёта к правой башне B:
Самолёт и башня B приближаются друг к другу.


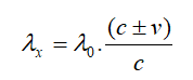
V- РАЗЛИЧНЫЕ СМЫСЛЫ ВЫРАЖЕНИЯ ДОПЛЕРОВСКОГО СДВИГА:
В уравнении доплеровского сдвига скорость v представляет
относительную скорость между Тело-Источник и Тело-Целью. В данной
работе, чтобы можно было проанализировать появление уравнений Доплера,
движение башен и самолёта выбрано вдоль одной и той же прямой. Поэтому
величина v, то есть скорость самолёта, входит в выражение Доплера непосредственно.

Доплеровский сдвиг можно интерпретировать в зависимости от различных
физических параметров. Ниже эти интерпретации приведены в трёх разделах.

1) Интерпретация, основанная на
относительной скорости
В этом подходе доплеровский сдвиг описывает изменение длины волны
сигнала как следствие относительной скорости между Тело-Источником и
Тело-Целью. Определяющим параметром здесь является величина v.

λx :
Изменённая длина волны
λ : Исходная длина
волны сигнала, излучаемого, когда Тело-Источник и Тело-Цель покоятся
друг относительно друга
v : Относительная
скорость между Тело-Источником и Тело-Целью
c : Константа скорости
света

2) Интерпретация, основанная на
расстояниях (связь моменты излучения–прихода)
Здесь параметрами являются расстояния. Уравнение доплеровского сдвига
можно выразить через расстояния между Тело-Источником и Тело-Целью в
моменты излучения и прихода сигнала. Такое представление Доплера:
Длина волны сигналов, идущих к башне A:
Длина волны сигналов, идущих к башне B:
время прихода сигнала:
t = t2 − t1
Расстояние между самолётом и башнями в момент излучения сигнала:
AO = OB = c · t
Расстояние между самолётом и башней A в момент прихода сигнала:
AC = (c
+ v) · t
Расстояние между самолётом
и башней B в момент прихода
сигнала:
BC = (c
− v)
· t

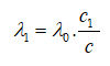
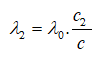
3) Интерпретация, основанная на
скоростях сигнала
В этой интерпретации определяющими параметрами являются значения
скорости сигнала в системах отсчёта Тело-Источника и Тело-Цели.
Доплеровский сдвиг можно выразить через относительную скорость
излучённого сигнала по отношению к Тело-Источнику и Тело-Цели.
Длина волны сигналов, идущих к башне A:

Длина волны сигналов, идущих к башне B:

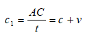
Скорость сигнала, идущего к башне A,
в системе отсчёта самолёта:
c1
= c + v :
Скорость сигнала, идущего к башне B,
в системе отсчёта самолёта:
c2 =
c − v
скорость сигнала, приходящего
к башням A и B, в их системах отсчёта:
c
VI - ПРЕДСТАВЛЕНИЕ СКОРОСТЕЙ СИГНАЛА С ПОМОЩЬЮ ВОЛНОВОЙ МЕХАНИКИ
Даже если в системе отсчёта самолёта скорость излучаемого им
сигнала отличается от величины c,
волновая механика и в этом случае полностью сохраняется. Здесь явно
показано, что скорости сигнала c+v и c–v,
полученные в системе отсчёта самолёта, находятся в полном соответствии
с волновой механикой.

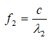
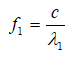
Согласно волновой механике, скорость волны равна:
Скорость волны = Длина волны ×
Частота

В системе отсчёта самолёта в предыдущих разделах было получено, что
скорость сигнала, посылаемого им влево (к башне A), равна c+v
, а скорость сигнала, посылаемого вправо (к башне B), равна c–v.
Скорость сигналов, посылаемых с центральной башни, равна «c»,
и выполняется соотношение c = f0 · λ0 .
1) Волновая механика для сигналов,
посылаемых от самолёта к башне A:
Мы используем уравнение Доплеровского Смещения [1], полученное в
Разделе Четыре (самолёт и башня A
удаляются друг от друга).


Этот результат показывает, что сигнал, идущий к башне A, распространяется, в полном
согласии с волновой механикой, со своей частотой, длиной волны и
скоростью.

2) Волновая механика для сигналов,
посылаемых от самолёта к башне B
Тот же процесс применяется и здесь. Используя уравнение Доплеровского
Смещения [2], ранее полученное в Разделе Четыре (башня и самолёт
сближаются), мы приходим к результату.


3) Результаты
Как ясно видно из уравнений [3] и [4], которые мы получили, если длина волны сигнала изменяется в
момент излучения, то скорость излучения сигнала отличается от
постоянной «c». Здесь особенно следует
подчеркнуть, что эта скорость является значением скорости в системе отсчёта Тела-Источника,
излучающего сигнал.

4) Каковы частоты сигналов, приходящих
от самолёта к башням, в системах отсчёта башен?

В системе отсчёта Тела-Цели, к которому приходит сигнал, скорость
приходящего сигнала всегда постоянна и равна c.

Длина волны сигнала, приходящего к башне A, равна λ1, и
сигнал приходит к ней со скоростью c.
Поэтому частота приходящего сигнала
Длина волны сигнала, приходящего к башне B, равна λ2, и
сигнал приходит к ней со скоростью c.
Поэтому частота приходящего сигнала
VII - ПУТЬ К БУДУЩЕМУ ФИЗИКИ
На данном этапе я хочу поговорить о теме, которая непосредственно
касается будущего физики и в дальнейшем будет определять направление
развития физической науки. В нормальных условиях подобного рода
рассуждения приводятся в заключительной части работы, однако здесь я
почувствовал необходимость сделать исключение. Потому что для понимания
дальнейшего изложения нам прежде всего нужно показать существование
очень особой и необычной ситуации.
Предположим, что мы наблюдаем галактику, расстояние до которой
составляет миллионы или даже
миллиарды световых лет. В таких наблюдениях доплеровский сдвиг всегда явно
проявляется. Но как это вообще возможно?

Как было показано в предыдущих разделах, изменение длины волны при
доплеровском сдвиге происходит в
момент излучения сигнала. Истинный смысл этого явления таков:
Звезда в той далёкой галактике
излучает свет так, словно она знает скорость Земли относительно себя и
подбирает длину волны излучаемого света таким образом, чтобы
выполнялось уравнение Доплера.
Электромагнитный сигнал, вышедший от звезды и направляющийся к
Земле, начинает своё путешествие, которое продлится миллионы/миллиарды
лет, с уже изменённой длиной
волны. Когда сигнал достигает Земли, мы измеряем его длину волны (или
частоту) и, используя уравнение доплеровского сдвига, вычисляем,
удаляется ли звезда/галактика от нас или приближается к нам.
Критический момент здесь заключается в следующем:
Расстояние между звездой и Землёй в
этом механизме не играет никакой роли.
Даже если бы галактика находилась от нас на расстоянии миллиард раз по миллиарду световых
лет, доплеровский сдвиг возник бы точно таким же образом.

Для того чтобы доплеровский сдвиг мог возникать, в природе обязательно
должна существовать механическая основа, которая в момент излучения
задаёт длину волны сигнала и физически порождает математику (c+v) (c–v)
в скорости сигнала. Если бы Вселенная не обладала такой механической
основой, явление, называемое доплеровским сдвигом, ни при каких условиях не могло бы
возникнуть.

В настоящее время в физике нет
никаких чётких сведений о том, какова эта механическая основа.

Существующие теоретические рамки описывают, как вычисляется
доплеровский сдвиг, но они не могут дать удовлетворительного объяснения
тому, почему и каким образом существует данный механизм.
Полученные в этой работе результаты — то, что изменение длины волны
происходит в момент излучения и что скорость сигнала в системе отсчёта
Тела-Источника может отличаться от c, — придают теме доплеровского
сдвига новую глубину. Однако и эта работа не раскрывает, что
представляет собой указанная «механическая основа»; она лишь гораздо
более сильно и непосредственно указывает на сам факт её существования.
Таким образом, перед физической наукой стоит большой вопрос,
который будет определять будущие исследования:
Какова истинная природа этого
скрытого механизма Вселенной, делающего возможным доплеровский сдвиг?
Ответ на этот вопрос станет одним из фундаментальных
строительных блоков, определяющих будущее физики.
VIII – ИЗЛОЖЕНИЕ ТЕМЫ И РАЗВИТИЕ СОБЫТИЯ (ВТОРАЯ ЧАСТЬ)

БОКОВЫЕ БАШНИ ПЕРЕДАЮТ СИГНАЛЫ САМОЛЁТУ
В первой части изложения темы, при демонстрации возникновения
Доплеровского сдвига, был выбран самый простой сценарий: сигналы
излучаются самолётом и передаются башням, расположенным по бокам и
остающимся неподвижными. Так как скорость сигналов, идущих к башням,
равна c в
наземной системе отсчёта, в этом сценарии нет никакого физического
противоречия. Таким образом, эта схема без затруднений показывает
возникновение Доплеровского сдвига, демонстрирует, что скорости
сигналов в системе отсчёта самолёта отличаются от c, и раскрывает
их связь с волновой механикой. Причина изменения длины волны также
становится вполне понятной при внимательном рассмотрении фигур.
Во второй части развитие событий рассматривается с иной точки
зрения. Здесь башни, находящиеся по бокам, передают сигналы самолёту,
находящемуся посередине. В начальный
момент события, когда самолёт находится в положении O, башни начинают
передавать сигналы.
Так как башни и самолёт движутся относительно друг друга, и в
этом случае Доплеровский сдвиг неизбежно возникнет. Основной вопрос, на
который надо ответить, заключается в следующем:
Где и как возникает изменение длины
волны, и каковы скорости сигналов, которые башни передают самолёту?

1) Неверное предположение:
Предположим, что башни излучают сигналы во всех направлениях со
скоростью «c» (Рисунок 10). Когда
сигналы достигают самолёта, движущегося со скоростью «v»,
можно подумать, что в зависимости от направления движения возникнет
эффект вида (c+v) и (c–v). Хотя на первый взгляд это кажется разумным,
такое предположение не соответствует физической реальности.
Поскольку если принять это предположение, то получится, что
скорость сигналов, приходящих к самолёту в его собственной системе
отсчёта, не равна «c».
В таком случае в системе отсчёта
самолёта скорость сигналов, приходящих спереди, была бы c+v,
а приходящих сзади — c–v. Это привело бы к следующему
физическому противоречию: самолёт чувствовал бы уменьшение энергии
сигналов, приходящих сзади (согласно c–v), и увеличение энергии сигналов,
приходящих спереди (согласно c+v).

Однако в Доплеровском сдвиге всё наоборот. В Доплеровском сдвиге c–v
означает увеличение энергии (длина волны уменьшается), а c+v
означает уменьшение энергии (длина волны увеличивается). Поэтому это
предположение несовместимо с природой и не может объяснить физическую
реальность.

Рисунок 10 – Башни по
бокам передают самолёту сигналы со скоростью c.
2) Верное предположение:
Если мы примем, в системе
отсчёта самолёта, что скорость сигналов, приходящих к нему,
равна c, и
затем выполним математическое решение, становится ясно, что сразу же
получается правильный результат. Однако у такого подхода есть
естественное следствие:
Скорость сигналов, передаваемых левой башней A самолёту, в системе
отсчёта самой башни должна быть c+v.
Скорость сигналов, передаваемых правой башней B самолёту, должна быть c–v.
(Рисунок 11)
В первой части мы нашли, что скорости сигналов, которые
самолёт посылает башням, равны c+v и c–v.
Может ли быть здесь аналогичная ситуация?

Рисунок 11 – Левая башня передаёт сигнал самолёту со скоростью c+v,
правая башня — со скоростью c–v.

Теперь покажем, что этот путь решения действительно верен.

Хотя мы пока не можем объяснить, почему скорости сигналов, которые
башни передают самолёту, изменяются (я ссылаюсь на таинственную
механическую основу Вселенной O),
существует простой и эффективный способ доказать правильность этого
решения. Для этого достаточно обратиться к Галилеевскому принципу относительности.
Этот принцип легко показывает правильность решения и не оставляет места
для споров.

Галилеевский принцип
относительности: Основные законы физики одинаковы во всех
системах отсчёта, движущихся равномерно и прямолинейно друг
относительно друга.

Принцип относительности Галилея утверждает, что законы физики одинаково
справедливы во всех системах отсчёта, движущихся без ускорения (с
постоянной скоростью). Он указывает на множество логических следствий,
которыми мы можем пользоваться в физике. Опираясь на эти логические
следствия, зачастую можно прийти к устойчивому и корректному
концептуальному целому. Здесь мы будем следовать тому же методу. Ниже
приведены некоторые важные результаты, полученные с использованием
этого принципа и напрямую связанные с нашей темой.

1) Разделение на движущееся и
покоящееся тело не является абсолютным.
В логике физики, если два тела движутся друг относительно друга, вопрос
«какое из них движется, а какое находится в покое» не имеет физического ответа.
Относительно специально выбранной системы отсчёта мы можем считать
любое из этих двух тел покоящимся. Такой выбор не приведёт к каким-либо
отличиям в физических процессах между двумя телами.

2) То, какое тело посылает сигнал, не
меняет физический результат.
В силу предыдущего рассуждения в нашем примере с башнями и самолётом не
должно иметь значения, какое из них посылает сигнал. Изменение длины
волны сигнала зависит от относительной скорости между Телом-источником
и Телом-приёмником, но не зависит от того, какое тело излучает сигнал.
Поскольку длина волны сигнала, который самолёт посылает башне A, равна λ1,
длина волны сигнала, который башня A посылает самолёту, также будет λ1.
Аналогично, так как длина волны сигнала, идущего от самолёта к башне B,
равна λ2, длина волны сигнала, который башня B пошлёт
самолёту, будет λ2.

3) Для любого тела скорость
«приходящего сигнала» универсально равна c.
Так как в системах отсчёта башен A
и B скорость приходящего к ним
сигнала постоянна и равна c, то и в
системе отсчёта самолёта скорость приходящего к нему сигнала должна
быть c.
Выполняется ли это условие? Из Рисунка 11 видно, что это условие
выполняется.
С точки зрения самолёта скорость сигнала, приходящего к нему от башни
A: c = (c+v)–v
С точки зрения самолёта скорость сигнала, приходящего к нему от башни
B: c = (c-v)+v

4) Времена взаимного прихода сигналов
должны совпадать.
Так как сигналы, которые самолёт посылает башням A и B, достигают этих
башен за время t и одновременно,
сигналы, которые башни посылают самолёту, также должны достигать
самолёта за время t и одновременно.

5) Скорости сигналов, посылаемых
башнями, обязаны быть (c ± v).
Так как в системе отсчёта самолёта скорость сигнала, который он
посылает башне A, равна c1=
c + v = f0.λ1,
то в системе отсчёта башни A скорость сигнала, который она посылает
самолёту, также обязательно должна быть c1 =
c + v = f0.λ1 .

Аналогичная ситуация существует и для башни B. В системе отсчёта башни
B скорость сигнала, который она посылает самолёту,
c2 = c −
v = f0.λ2
будет такой.
Полагаю, что этих примеров достаточно, чтобы показать
логическую согласованность, обеспечиваемую Галилеевским принципом
относительности. Также очевидно, каким образом эти логические
результаты должны корректно проявляться на фигурах и в анимациях:
фигура должна быть построена так, чтобы удовлетворять всем
вышеуказанным условиям, и математические соотношения должны быть
соответственно упорядочены.
Существует только один путь решения, который полностью удовлетворяет
условиям:

Сигналы, исходящие от башни A, должны
передаваться самолёту со скоростью c+v, а сигналы, исходящие от башни B,
— со скоростью c–v.
На следующих рисунках показаны два случая.

Рисунок 12 – Самолёт посылает сигналы башням со скоростями (c+v) и
(c–v).


Рисунок 13 – Башни посылают сигналы самолёту со скоростями (c+v) и
(c–v).

На Рисунке 14 ниже сравнительно показаны моменты прибытия сигналов.
В верхней части рисунка сигналы посылаются самолётом; в нижней части сигналы
посылаются боковыми башнями.

В обоих случаях сигналы достигают своих целей. Фигура полностью
удовлетворяет всем условиям, требуемым Галилеевским принципом
относительности.
flash
При рассмотрении данных, полученных из фигуры, видно,
что в обеих постановках действуют
одни
и те же математические равенства.
Таким образом, Вторая Часть —которая обычно была бы очень трудной
для объяснения— объясняется лёгким способом, используя Галилеевский
принцип относительности, причём без необходимости в каких-либо
дополнительных математических выводах. Если бы я попытался объяснить
вторую часть обычным способом, мне пришлось бы написать изложение на
сотни страниц, и многое из сказанного затерялось бы среди теоретических
предположений и неопределённостей. Галилеевский принцип относительности
является чрезвычайно мощным и фундаментальным принципом для
согласованного объяснения физических явлений.
IX – РЕЗУЛЬТАТЫ И ВЫВОДЫ

В данной работе были получены чрезвычайно важные результаты, которые
напрямую затрагивают фундаментальные основы физической теории.
Полученные выводы кратко суммированы ниже по пунктам:

1. Физический смысл постоянной
скорости света понимается неверно.
Наиболее фундаментальный результат этой работы таков:

Постоянная скорости света «c»
представляет собой скорость сигнала, приходящего к телу, в системе
отсчёта этого тела.
Для всех тел скорость сигнала, приходящего к ним, является
постоянной и равной «c».

2. Скорость излучения сигнала в
системе отсчёта Источника не является постоянной.
В собственной системе отсчёта Источника скорость излучаемого сигнала
может принимать любое значение в зависимости от того, к какому
Приёмнику (целевому телу) направляется сигнал. Из-за относительной
скорости между Источником и Приёмником скорость сигнала принимает вид c' = c ±v. Это
значение скорости полностью согласуется с Волновой механикой.

3. Скорости сигналов, излучаемых
Источником одновременно, в большинстве случаев различны.
Рассмотрим звезду как Источник. Звезда одновременно посылает световые
сигналы практически бесчисленному количеству тел, находящихся вблизи
или на очень больших расстояниях вокруг неё. Почти все эти тела
движутся относительно звезды с различными скоростями и в разных
направлениях. Поэтому в системе отсчёта Источника, то есть звезды,
скорости сигналов, которые излучаются одновременно, но идут к различным
целевым телам, будут различаться друг от друга.

Следовательно, предполагать, что сигналы, излучаемые Источником
одновременно, распространяются как «поверхность сферы, расширяющейся в
пространстве со скоростью c», неверно. Такая модель игнорирует тот
факт, что в действительности скорости сигналов относительно Источника
могут принимать различные значения, такие как c+v, c−v, и поэтому утратила свою
состоятельность.

На Рисунках 1, 5, 6 и 7 в данной работе сферические рисунки,
описывающие излучение сигналов, были намеренно включены, хотя известно,
что они неверны. На самом деле сигналы никогда не излучаются так, как
показано на этих рисунках.

4. Изменение длины волны при
Доплеровском смещении возникает в Источнике и в момент излучения.
Величина изменения длины волны определяется относительной скоростью
между Приёмником и Источником.
В качестве предположения я хотел бы здесь выразить следующее: «в процессе Доплеровского смещения
Источник играет пассивную
роль, лишь создавая и излучая сигнал; тогда как Приёмник играет активную роль в определении
изменения длины волны».

5. В момент излучения сигнала то, к
какому Приёмнику он направится, физически уже определено.
Путешествие сигнала заканчивается, когда он достигает своей цели.
Электромагнитное излучение — это всегда взаимодействие, происходящее от
одного тела к другому; следовательно, излучение сигнала без наличия
тела-цели, в которое он в конечном счёте попадёт, невозможно.

6. Эти результаты ясно показывают, что
в Электромагнитной теории существует фундаментальный недостаток/ошибка.
Современная Электромагнитная теория принимает для скоростей сигналов
только постоянное значение c и не включает в себя математику (c+v) (c−v), которую мы здесь в общих чертах
рассмотрели. Электромагнитную теорию необходимо перестроить так, чтобы
она включала математику (c+v) (c−v).

7. После такой перестройки
необходимость в Теории специальной относительности отпадёт.
Когда Электромагнитная теория полностью перейдёт к математике (c+v)
(c–v), она окажется в состоянии
корректно описывать электромагнитное взаимодействие между телами,
движущимися друг относительно друга.

Такая теоретическая структура уже будет содержать в себе все
физические явления, которые Теория специальной относительности пытается
объяснить, и поэтому в отдельной
теории, подобной Теории специальной относительности, больше не будет
необходимости.
8) Alice Закон — это электромагнитная
теория, использующая математику (c+v) (c–v).
С 2001 года, то есть почти 25 лет, я работаю с математикой (c+v)
(c–v). Все подготовленные мной работы
я до сих пор публиковал под названием Alice
Закон. В первые годы я рассматривал Alice Закон — то есть
математику (c+v) (c–v)
— в рамках альтернативной теории относительности. Однако со временем я
понял, что эта математика на самом деле принадлежит электромагнитной теории.
Поэтому сегодня я могу с полной уверенностью сказать:
Alice Закон — это электромагнитная
теория, использующая математику (c+v) (c–v).

Подобно теории относительности, Alice Закон указывает на множество
предсказаний и следствий. Например:
• В Alice Законе существуют Сдвиг времени и Сдвиг длины,
• В Специальной теории
относительности существуют Замедление
времени и Сокращение длины.
Здесь я пытаюсь донести следующее:
Если где-то вы измеряете замедление
времени или наблюдаете изменение размеров тела, причиной этому является
существование Alice Закона.
Подходить к Alice Закону с точки зрения понятий Теории
относительности — неверный метод.
Кроме того, нельзя забывать, что между предсказаниями этих двух
теорий существуют существенные структурные различия.

Со всеми моими работами, посвящёнными предсказаниям и следствиям Alice
Закона, вы можете ознакомиться на моём сайте aliceinphysics.com.

9) Путь к физике будущего.
По мере того как Электромагнитная теория продвигается на основе
математики (c+v) (c–v), истинный физический смысл
постоянной скорости света «c» будет лучше понят, и это
откроет путь к обнаружению той загадочной механической основы
Вселенной, которая приводит к появлению этой математики.
link