banner
ELEKTROMANYETİK TEORİDEKİ
BÜYÜK HATANIN DÜZELTİLMESİ
VE
ALICE YASASINA GEÇİŞ
Han Erim
Bağımsız
Araştırmacı

11 Ağustos 2025
DOI:
https://zenodo.org/records/17919673


I – ÖNSÖZ

Günümüzde Elektromanyetik Teoride ışığın hızının bütün referans
sistemlerine göre sabit ve olduğu kabul edilmiş ve ışık hızı
sabiti “
c” ile sembolize
edilmiştir.
Halbuki, ışığı yayınlayan
cismin
kendi
referans sistemine göre, yayınladığı ışık sinyalinin hızı çoğu
kez “
c” değerinden farklıdır.
Bunun nedeni
Doppler Kayması
adı
verilen durum sebebiyle yayınlanan ışık sinyalinin dalga boyunun
değişmesi ve yayınlanan sinyalin hızının "
Dalga Hızı" eşitliği ile
belirlenmesidir.
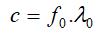
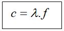
DALGA HIZI EŞİTLİĞİ
Dalga hızı = Dalga boyu x Dalganın frekansı

Bu çalışmada, Dalga Hızı ve Doppler Kayması eşitlikleri temel alınarak
ışığın hızının referans sistemlerine göre değişiklik gösterdiği ortaya
konulmuştur. Bu sonuç, mevcut Elektromanyetik Teoride, Alice Yasası
olarak adlandırdığım ve (c+v) (c-v) matematiğine dayanan yaklaşımın
temel alınması gerektiğini göstermektedir.
II –
GİRİŞ:

Sinyali yayınlayan
Kaynak Cisim
ile sinyalin varacağı
Hedef Cisim
birbirine göre
hareketsiz ise
sinyali Kaynak Cisme göre sinyalin hızı
sabit yani “
c” olur.

Kaynak Cisim ve Hedef cisim birbirine
göre hareketsiz ise,
Kaynak Cismin referans sistemine göre yayınladığı ışık sinyalinin hızı
“c” olur. |

Ancak, Kaynak Cisim ve Hedef Cisim
birbirine
göre hareketli ise
sinyalin yayınlanması esnasında sinyalin yayınlanma frekansı
değişmemekle birlikte, sinyalin
dalga
boyu değişmektedir. Bu taktirde
dalga hızı, uzunluğu değişmiş olan dalga boyuna bağlı olarak oluşacağı
için, yayınlanan sinyalin hızı “
c”
değerinden farklı olur.

Kaynak Cisim ve Hedef cisim birbirine
göre harekeli ise,
Kaynak Cismin referans sistemine göre yayınladığı ışık sinyalinin hızı
“c”'den farklı olur.
|

Sinyalin varacağı
Hedef Cisim
için ise durum farklıdır. Bir cismin
kendi referans sistemine göre,
kendisine gelen bir ışık
sinyalinin hızı daima sabittir ve “c” ye eşittir. Bu ölçülerek
elde
edilmiş bir sonuçtur ve fizikte bu nedenle “
c” sabiti vardır.

Kaynak Cisim ve Hedef cisim birbirine
göre hareketsiz ise,
Hedef Cismin referans sistemine göre kendisine gelen ışık sinyalinin
hızı “c” dir. Gelen sinyalin dalga boyu ve frekansı, Kaynak Cisimden
yayınlanan sinyalin dalga boyu ve frekans değerleri ile aynı olur. |

Ancak, Kaynak Cisim ve Hedef Cisim birbirine göre hareketli ise,
Hedef Cisme gelen ışık sinyalinin hızı yine “
c” olacaktır. Ancak yayınlanan
sinyalin dalga boyunun değişmiş olmasından dolayı, Hedef Cisim için
kendisine gelen sinyalin hem dalga boyu ve hem de frekansı farklı olur.

Kaynak Cisim ve Hedef cisim birbirine
göre hareketli ise,
Hedef Cismin referans sistemine göre kendisine gelen ışık sinyalinin
hızı “c” olmakla birlikte
sinyalin dalga boyu ve frekansı
farklılaşmıştır. |

Bu çalışmada, ışığın burada anlatıldığı şekilde davrandığı matematiksel
olarak gösterilmiştir. Sonuç olarak, Elektromanyetik Teoride, burada
gösterilen ve (c+v) (c-v) matematiği olarak adlandırılmış olan
matematiğe geçilmesi gerekmektedir.
III – YÖNTEM VE BULGULAR
Olayın Başlangıcı, Şekil 1:
Başlangıç noktası olarak, bir “
Olay”
tarif edeceğim ve ardından konuyu geliştireceğim.

Aşağıda şekilde görüldüğü üzere
A
konumunda üç Hedef Cisim (kutular) ve
B konumunda üç Kaynak Cisim
(lambalar) vardır. Kutular birbiri ile
özdeştir. Lambalar birbiri ile özdeştir.

Olay başlangıcında Hedef Cisimler ve Kaynak Cisimler bulundukları A ve
B konumlarında
hareketsiz bir
şekilde durmaktadırlar.

Olay Başlıyor, Şekil
2:
Üç
lamba aynı anda yanar ve yine aynı anda Lamba 2 kutulardan uzaklaşacak
şekilde, Lamba 3 kutulara yaklaşacak şekilde hareket eder. Lambaların
hızına
"v" diyorum. Her iki
lamba eşit hızda ancak ters yönlerde hareket etmektedir.
Olayın Gelişimi.
Şekil 3
Lambalardan çıkan ışıklar kendi hedeflerine doğru giderken, Lamba 2 ve
Lamba 3 kendi gidiş doğrultularında hareketlerine devam ediyorlar.
Lambalardan çıkan ve Hedef Cisimlere doğru ilerleyen ışıkların
hızlarının, hedef cisimlere göre "
c"
olduğunu temel bir fizik bilgisi olarak kabul ediyorum. Lambalar B
konumunda iken aynı anda yandıkları için kutulara doğru ilerleyen
ışıkların kutulara olan uzaklıkları daima eşit olacaktır.

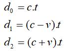
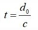
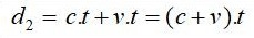
Olayın Sonu. Şekil 4
Lambalar B konumunda iken ışıklar yandığı için, ışıklar A
konumundaki hedeflerine aynı anda ve "t" süresinde varıyorlar (

).
Işıkların varma anı için, lambaların kutulara olan
mesafelerini şekil üzerinde gösteriyorum.

Boyutlandırmaları matematiksel olarak ifade ettikten sonra, kolaylıkla
görebiliriz ki ışığın hızının bütün referans sistemlerine göre
"
c" olması
mümkün değildir ve bu çok yanlış bir
bilgidir.

Buraya kadar elde ettiğimiz verileri aşağıda bir tablo halinde
gösteriyorum.
DEĞERLER TABLOSU
Işıkların
varma süresi:
|
|
Işıkların kutulara
varma anında Kutular ve Lambalar arasındaki mesafeler:
|
Kutu 1 - Lamba
1
|
 |
Kutu 2 - Lamba
2
|
|
Kutu 3 - Lamba
3
|
|
Lambaların kendi
referans çerçevelerine göre yayınladıkları ışık sinyallerinin
hızları:
|
Lamba 1
|
|
| Lamba 2 |
|
| Lamba 3 |
|
Kutuların kendi
referans çerçevelerine göre kendilerine doğru gelen ışık
sinyallerinin
hızları:
|
Kutu 1
|
|
Kutu 2
|
|
Kutu 3
|
 |
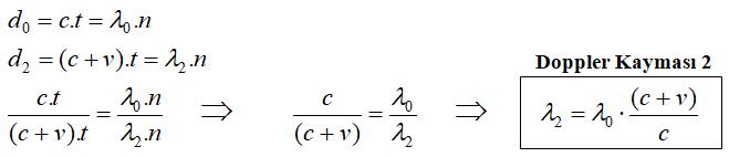
“Değerler Tablosu”nda görüldüğü üzere
(c+v)
ve
(c-v) değerleri anlam
olarak
lambaların kendi referans
çerçevelerine göre yayınladıkları ışık sinyallerinin
hızlarını ifade etmektedir.

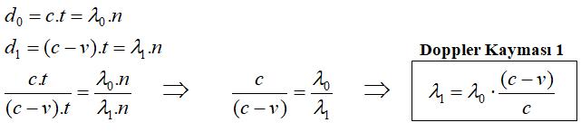
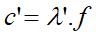
Işığın hızının referans sistemlerine göre farklılık göstermesi
sebebiyle, bir ışık sinyalinin hızı ancak ve ancak “
(c+v) (c-v) Matematiği” ile doğru
bir şekilde tanımlanabilmektedir. Ve
Alice
Yasası bu matematiği kullanan Elektromanyetik Teoridir.
Dolayısıyla, “
Alice Yasası”na
geçiş yaptığınızı belirttiğiniz zaman (c+v) (c-v) Matematiğine
geçtiğinizi belirtmiş olursunuz.
Olay gelişimi ve
dalga boyları. Şekil 6
Bu aşamada incelediğimiz “Olay”a, yayınlanan ışıkların dalga boylarını
ilave ederek önemli sonuçlara ulaşacağız.

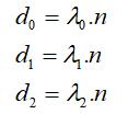
mesafelerini bu kez dalga boyları ile ifade edelim.

Lambaların birbirleriyle özdeş oldukları kabul edilmiş idi. Dolayısıyla
her üç lambadan yayınlanan ışıkların frekansları birbirine eşittir. Bu
frekans değerini

olarak tanımlayalım.

frekansı her üç lamba için ortak bir değerdir.

Lambaların ışıklarını oluşturan fotonların lambalar tarafından birer
birer ve birbiri ardına gönderildiğini varsayalım. Fotonları yayınlanma
sırasına göre numaralayalım ve ilave olarak her bir fotona ait dalga
boyunu tam bir sinüs dalgası ile gösterelim. Aşağıdaki şekilde
görüldüğü üzere, 1 numaralı foton yayınlanıyor, ardından 2 numaralı
foton yayınlanıyor ve ışığın yayınlanması bu şekilde devam ediyor. 1
numaralı fotonlar hedeflerine vardıkları anda “n” numaralı fotonların
yayınlanmalarının tamamlandığını kabul edelim. Buna göre ışıkların
varma anında fotonların durumu aşağıdaki şekildeki gibi olacaktır.

Lütfen dikkat edelim. Lambaların frekanslarının birbirine eşit olması
sebebiyle her üç lamba aynı “t” süresi içinde “n” sayıda foton
yayınlamışlardır. Ancak buna karşın, yayınlanan ışıkların dalga boyları
birbirine eşit değildir. “Kutu 2 ile Lamba 2” ve “Kutu 3 ile Lamba 3”
birbirlerine göre hareketli oldukları için, “Lamba 2” den ve “Lamba 3”
den yayınlanan ışık sinyallerinin dalga boyları değişmiştir.

“Lamba 1” den yayınlanan ışıkların dalga boyunu referans noktası olarak
kabul edersek;
“Lamba 2” den yayınlanan ışıkların dalga boyu
uzamıştır.
“Lamba 3” den yayınlanan ışıkların dalga boyu
kısalmıştır.

Kaynak Cisim ile Hedef Cismin birbirlerine göre hareketli olmaları
sebebi ile oluşan dalga boyundaki değişim fizikte
Doppler Kayması olarak bilinmektedir
ve yukarıdaki şekil Doppler Kayması’nın oluşumunu bize
göstermektedir. Ve gene dikkat edelim ki, ışıklar (fotonlar)
yayınlanırken dalga boyları
değişmiş
şekilde yayınlanmışlardır. Doppler Kaymasında dalga boyundaki
değişim Kaynak Cisimde ve
ışık
sinyalinin yayınlanması esnasında oluşmaktadır.
IV – SONUÇLAR VE
TARTIŞMA

Burada çok şey söylenebilir, ancak ben yalnızca şunu söylemek
istiyorum.
Fiziğin teorisinde geçmişte yapılan büyük hatayı fark ediniz ve derhal
doğru olana yöneliniz. Bu yayında verilen bilgiler temel fizik bilgisi
kapsamındadır ve amatör veya profesyonel olarak fizik bilimi ile
uğraşan herkesin, gencinden yaşlısına, talebesinden profesörüne
öğrenmesi ve anlaması gereken bilgilerdir. Ve tabiî ki sizler bu
bilgilerden sorumlu olacaksınız. Kişisel olarak sorumlusunuz, eğitmen
olarak sorumlusunuz ve kurumsal olarak da sorumlusunuz.

Ve çok rica ediyorum, Albert Einstein’ı bu işe karıştırmayınız.
Doğrularıyla ve yanlışlarıyla o kendi düşüncelerini ifade etmiştir.
Relativite Teorisinin geçerli bir teori olmadığı bu yayında çok açık
bir bilgi olarak görülmektedir. Yapmanız gereken kendinizi doğru yöne
yöneltmektir.
V – KAYNAKÇA

Buradaki yayınları bundan yirmi beş yıl önce Alice Yasası konusunda
çalışmaya başladığım ilk zamanlarda arayıp bulmuştum. Bu yayınlar
Relativite Teorisinde işlerin yolunda gitmediğini gösteren
çalışmalardır. Bu yayınlar sayesinde Alice Yasasına devam edebilme gücü
bulabilmiştim. Bu yayınların yazarlarına buradan teşekkür ederim.
The GPS and the Constant Velocity of
Light
Paul Marmet, Professor, Physics, Laval University, Québec, Canada
1962-83, Senior Research Officer, National Research Council of Canada
1983-90
Successful GPS Operations Contradict
the Two Principles of Special Relativity
and Imply a New Way for Inertial Navigation – Measuring Speed Directly
Ruyong Wang, St. Cloud State University, St. Cloud, Minnesota, United
States
Clock Behavior and the Search for an
Underlying Mechanism for Relativistic Phenomena
Ronald R. Hatch, NavCom Technology, Inc
Lunar Laser Ranging Test Of The
Invariance Of C
Daniel Y. Gezari
NASA/Goddard Space Flight Center, Laboratory for ExoPlanets and Stellar
Astrophysics,
One-Way Light Speed Determination
Using the Range Measurement Equation of the GPS
Stephan J. G. Gift
Department of Electrical and Computer Engineering Faculty of
Engineering
The University of the West Indies St. Augustine, Trinidad, West Indies
Resolving Spacecraft Earth-Flyby
Anomalies with Measured Light Speed Anisotropy
Reginald T. Cahill
School of Chemistry, Physics and Earth Sciences, Flinders University,
Adelaide 5001, Australia
Link