Alice
Yasası - Akademik Mesaj

Han Erim
hanerim@gmail.com

11 Nisan 2025

Elektromanyetik Teoride
birbirine göre hareketli cisimler arasındaki
elektromanyetik etkileşim konusunda bilgi eksikliği vardır.
Mevcut
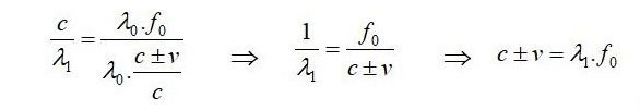
Fizikte Bilinenler:λ0 dalga boyunda ve
ƒ0 frekansında ışıma yapan bir
Kaynak Cisim olsun. Dalga hızı mekaniğine uygun olarak Kaynak Cisim’den yayınlanan
bir ışık sinyali için [1] numaralı eşitlik geçerlidir:


Kaynak Cisim’den yayınlanan ışık sinyali eğer hareket halindeki bir
Hedef Cisme gitmiş ise; bu takdirde sinyalin dalga boyu değişmiştir.
Sinyalin Hedef Cisim'de ölçülen dalga boyu, Doppler Kayması eşitliğine
göre
λ1 olur [2]:


Doppler Kayması eşitliğindeki v değeri Kaynak Cisim ve Hedef Cismin
birbirlerine göre olan hızlarıdır. Eşitlikteki "
±" işareti iki cisim
birbirinden uzaklaşıyorsa "
+" birbirlerine yaklaşıyorlarsa "-"
anlamındadır.
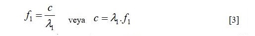
Hedef Cisme göre
λ1 dalga boyu ve
c hızı ile gelen sinyalin frekansı
dalga hızı mekaniğine uygun olarak
ƒ1 olmaktadır [3]:


Mevcut
Fizikte Bilinmeyenler:
Yukarıda bilinmeyen husus,
dalga boyundaki değişimin nerede oluştuğu ve
buna bağlı olarak gelişen
olaylar zinciridir.
Doppler Kaymasında dalga
boyundaki değişim, sinyalin yayınlanması esnasında oluşur. Sinyal dalga
boyunun değişmesi, yayınlanan sinyalin hızının değişmesine neden olur.
Bunun sonucunda,
Kaynak Cismin kendi referans sistemine göre, hareketli
olan Hedef Cisme gönderdiği sinyalin hızı, dalga hızı mekaniğine uygun
olarak
ışık hızından farklı olur [4]:


[1] ve [2] numaralı eşitliklerden [4] numaralı eşitliğin elde edilmesi:


Eşitliklerde yer alan
c ± v değerinin
Kaynak Cismin kendi referans
sistemine göre Hedef Cisme gönderdiği sinyalin hızı olduğu Alice
Yasası’nda çok açık bir bilgidir [5]. Kaynak ve Hedef cisimler
birbirlerine göre hareketli iseler bu değer her zaman için
ışık
hızından farklıdır.


Dolayısıyla [3] numaralı eşitlik
(c = λ1.ƒ1) elektromanyetik dalgaların
varma hedeflerine göre “c” hızı ile hareket ettiğini göstermektedir.
Sonuç:
Elinizdeki
Alice Yasası adlı bu çalışma, burada söylediklerimi ispat
edecek her türlü bilgi ve kanıta sahiptir.
Fizik camiası içinde konunun önemini idrak edebilecek insanlara ihtiyaç
vardır. Onlardan biri olmanızı içtenlikle ümit ederim.

Saygılar sunarım
Han Erim
www.aliceinphysics.com