banner
ELEKTROMANYETİK DALGA HIZI,
DOPPLER KAYMASI
ve
ALICE YASASI
Han Erim
15 Kasım 2023


Konuya giriş:

Alice
Yasasının özünde Elektromanyetik Teori olduğunu ve Elektromanyetik
Teorinin (c+v) (c-v) matematiğine geçmesi gerektiğini evvelki
yayınlarımda söylemiştim. Bu makalemde sizlere, Dalga Mekaniğinden ve
Doppler Kaymasından yararlanarak Alice Yasasına nasıl geçileceğini
göstereceğim.

Konuyu
anlatırken elektromanyetik dalga kaynağı olarak sabit
frekansında düzgün
sinüs dalgası üreten bir cihazdan yararlandım.
Böyle bir cihazın üreteceği sinyallerin dalgaboyunun
olacağını düşünebilirsiniz.... Ama... gelin görün ki... genellikle hiç
de öyle olmaz.
Çünkü yayınlanan bir sinyal eğer hareketli bir hedefe gidiyorsa,
sinyalin yayınlanması esnasında hem sinyalin dalgaboyu (Doppler
Kayması) ve hem de sinyalin hızı değişmektedir. Bu duruma uygun
olarak, elektromanyetik dalga yayınlayan bir cisim için, yayınladığı
bir elektromanyetik dalganın hızı şu şekildedir:
Kullanılan kısaltmalar:
Sinyal: Elektromanyetik dalga
Kaynak Cisim: Sinyali gönderen cisim
Hedef Cisim: Sinyalin varma hedefi olan cisim.

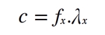
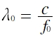
: Kaynak Cisme göre yayınladığı sinyalin hızı

: Işık hızı sabiti

: Kaynak Cismin sinyal yayınlanma frekansı

: Sinyalin
değişmemiş normal dalgaboyu.

: Dalgaboyundaki
değişim miktarı.

: Değişmiş
dalgaboyu (Doppler Kayması)

:
Sinyalin yayınlanması esnasında Kaynak Cisim ve Hedef Cisim
arasındaki hız farkı.

: Kaynak Cisim ve Hedef Cisim birbirinden uzaklaşıyorlar ise (+)
birbirlerine yaklaşıyorlar ise (-)

Bu
makalede yalnızca Elektromanyetik etkileşimdeki Doppler Kaymasından
bahsedilmektedir. Ses ile ilgili olan Akustik Doppler Kaymasının oluşum
mekanizması çok farklıdır ve konumuzun dışındadır.

Buraya kadar olan kısımda konunun ön giriş bilgisini verdim. Bu aşamada
öncelikle Doppler Kaymasında dalgaboyu değişiminin sinyalin
yayınlanması esnasında oluştuğunu göstereceğim. Sonra sırasıyla sinyal
hızları ve Alice Yasası konularına geçeceğim.
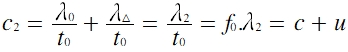
Sinyal Dalgaboylarının ve Sinyal Hızlarının hesaplanması
Figür
2 deki dalgaboylarının uzunluklarını sinüs dalgasının yayınlanma
süresi (veya frekansı) ve cihazların hızları ile hesap edebiliriz.
| Cihaz numarası |
Yayınlanan sinyalin dalgaboyu
|
| [2] |
 |
| [1] |
 |
| [0] |
(değişim
yok) |
Tablo 1- Cihazların yayınladıkları sinyallerin
dalgaboylarının hesaplanması

Figür
2 ayrıca Cihazların kendi referans sistemlerine göre, kuleye
gönderdikleri sinyallerin hızları ile ilgili önemli bilgi de
vermektedir.
süresinin sonunda
sinyallerin dalgaboyları farklı uzunluklarda oluştuğuna göre (
),
cihazların referans sistemlerine göre yayınlanan sinyallerin hızları
birbirinden farklıdır. Aşağıdaki tabloda cihazların kendi referans
sistemlerine göre yayınladıkları sinyallerin hızları
gösterilmiştir.
|
Cihaz Numarası
|
Her bir cihazın kendi referans sistemine
göre,
yayınladığı sinyalin hızı
|
| [2] |

|
| [1] |

|
| [0] |

|
Tablo 2- Cihazların kendi referans sistemlerine göre
yayınladıkları sinyallerin hızları
Yukarıdaki
eşitliklerde normal olarak iki cismin (Kule ve Cihaz)
birbirine göre olan uzaklaşma/yakınlaşma hızını temsil eden "v"
değerinin kullanılması gerekirdi. Ancak buradaki hareketler sadece tek
bir eksen üzerinde olduğu için "v" değerleri yerine "u" hız değerlerini
kullanabiliyoruz (v = u). Böylelikle kendiliğinden Alice Yasasına geçiş
yapmış da olduk, Alice Yasası Tablo 2 de ortaya çıkan durumun adıdır.
(Bkz. Alice Yasası, Elektromanyetik Teoride (c+v) (c-v) Matematiğine
geçiş,2017, Han Erim)
Böylelikle konu başındaki eşitliğin nasıl sağlandığını gördük.
Bir cismin yayınladığı elektromanyetik dalganın hızı, o cismin kendi
referans sistemine göre şu şekildedir:
Giden Sinyal Eşitliği
Sinyal hızı = Sinyalin frekansı x Sinyalin değişmiş/değişmemiş dalgaboyu
Sinyal hızı = Işık hızı sabiti + Kaynak ve Hedef cisimlerin
birbirlerine göre hızı
Eşitlikten görüleceği üzere Kaynak Cisim ve Hedef Cisim birbirine göre
hareketsiz ise
,
ve
olacağı için
sinyalin hızı sinyali yayınlayan kaynağa göre
'ye eşit
olmaktadır.
Giden Sinyal Tanımı: Bir cismin için, kendisinin yayınladığı
elektromanyetik dalga Giden Sinyal olarak adlandırılır ve hızı
yukarıdaki eşitlik ile belirlenir.
Kuleden cihazlara sinyal gönderildiği taktirde dalgaboyu değişimi
nerede ve nasıl gerçekleşir?

Figür 4- Kuleye cihaz yerleştiriyor ve kuleden sinyal
gönderiyoruz

Kuleye
frekansında yayın
yapan aynı cihazdan yerleştirelim ve sinyali kuleden
gönderelim. Kuleye göre hareketli olan [1] ve [2] numaralı cihazlara
gelen sinyaller üzerinde Doppler Kaymasının oluşacağı biliyoruz. Ama bu
nasıl ve nerede olmaktadır? Daha önce dalgaboyu değişiminin nasıl
gerçekleştiğini anlamak-görmek için cihazların hızlarından
yararlanmıştık (Figür 2). Ama burada Kule hareketsiz olduğu için aynı
yöntemi kullanamıyoruz.

Öncelikle
size Elektromanyetik Teoride halen var olan yanlış mantığı göstermek
isterim. Bu amaç için Figür-5'i hazırladım.

Figür 5- Elektromanyetik Teoride halen yürürlükte olan yanlış
mantık: Kule
frekansında yayın
yapıyor. Yayınlanan sinyallerin dalgaboyunun
olacağı
düşünüldüğü için, sinyallerin her yönde
dalgaboyu ve
hızı ile kuleden
ayrıldığı figürde tasvir edilmiş.

Figür
5 niçin hatalıdır? Eğer geometrinin ve matematiğin kuralları dahilinde
figürü incelersek, Cihaz[2]'nin kendi referans sistemine göre Kuleden
kendisine gelen sinyalin hızının
olduğunu,
Cihaz[1]'in kendi referans sistemine göre Kuleden kendisine gelen
sinyalin hızının
olduğunu görürüz.
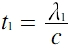
Halbuki, bir cismin kendi referans sistemine göre kendisine gelen
bir sinyalin hızının daima olması gerekir. (Alice
Yasasında "c+v", "c-v" matematiği bu şekilde değildir. Şaşırmayınız.
Biraz ileride doğru kullanım şeklini zaten göreceğiz). Bir diğer
hata da şudur: Burada Doppler Kayması (dalgaboyu değişimi) sinyaller
hedeflerine vardığında oluşmalıdır şeklinde bir sonuç vardır.
Halbuki, Doppler Kaymasında dalgaboyu değişimi sinyalin yayınlanması
esnasında gerçekleşmelidir.

Doğru
olan nasıldır? Şimdi bunu görelim. Kuleden sinyal gönderdiğimizde,
sinyallerdeki dalgaboyu değişimini bulmamızı sağlayacak olan bilgi
GALILEI RELATIVITE PRENSİBİNDEN gelmektedir. Bu prensibe göre;
Eğer iki cisim birbirine göre hareket halinde ise, iki cisimden
hangisinin hareket halinde olduğunun gerçek bir cevabı yoktur. Fizik
yasaları her halükarda her iki cisim için de aynı şekilde
gerçekleşecektir. Dolayısıyla, Galilei Relativite Prensibinden ve
Figür 2 deki bilgilerden yararlanarak, Kuleden cihazlara gönderilen
sinyallerin dalgaboylarını ve sinyallerin hızlarını kolaylıkla
bulabiliriz. Şöyle ki; Cihaz[2]'nin Kuleye gönderdiği sinyal ile
Kulenin Cihaz[2]'ye gönderdiği sinyal birbiriyle özdeş olmak
zorundadır. Cihaz[2]'nin Kuleye gönderdiği sinyalin dalgaboyu
ve Cihaz[2]'nin
kendi referans sistemine göre gönderdiği sinyalin hızı
olduğuna göre,
Kuleden Cihaz[2]'ye gönderilen sinyalin dalgaboyu
ve Kuleye göre
olan hızı
olacaktır. Bu düşünme şeklini Kuleden diğer cihazlara giden sinyaller
içinde uygulayabiliriz. Görüldüğü gibi Galilei Relativite Prensibi bizi
hemen sonuca ulaştırdı.
Figür 6-
süresi sonunda Kuleden cihazlara gönderilen sinyallerin dalgaboyları ve
sinyallerin kuleye göre olan hızları görülüyor. Figür 2 den elde edilen
bilgilerle hazırlanmıştır.

Galilei
Relativite Prensibi Teorik Fizikte çok güçlü bir yardımcıdır.
İhtiyacımızın olduğu bu gibi durumlarda gerçek bir kurtarıcıdır. Bu
prensibe başvurmadan Figür 6'yı elde edebilmek imkansız değilse bile
gerçekten çok zordur. Eğer Figür 6'nın doğruluğundan şüphe ediyorsanız,
Figür 2 ye bakmanız gerekir. Çünkü Figür 2 doğru ise, Figür 6
kendiliğinden doğru olur.

Aşağıdaki
figürü konuyu tamamlamak amacıyla koydum. Kule ve Cihazlar karşılıklı
olarak birbirlerine sinyal gönderiyorlar. Kuleden bir cihaza gönderilen
bir sinyal ile o cihazdan kuleye gönderilen sinyalin özellikleri
birbiri ile özdeştir.
Figür 7- Karşılıklı olarak gönderilen sinyaller ve
süresi sonundaki
durum. Kulenin referans sisteminden olayı izliyoruz.
Tablo 4- Giden ve Gelen sinyaller ve Galilei Relativite
Prensibi
Gelen sinyal eşitliğinin korunduğunu görelim; Figürde Kuleden
Cihaz[2]'ye
hızı ile gönderilen
sinyalin hızının Cihaz[2]'ye
göre olduğunu
kolaylıkla görebiliriz.
. Cihaz[1]
içinde benzer bir durum vardır.
. Yani cihazların
kendi referans sistemlerine göre kendilerine gelen sinyalin hızının
olma şartı
sağlanmış durumdadır.
Özellikle vurgulamak isterim; Gerçekte Kule ve Cihazlar
eşitliğine uygun
olarak
dalga boyunda yayın yapmaktadırlar, ama yayınladıkları sinyalin
dalgaboyunun değişmesine müdahil durumda değillerdir. Dalgaboyundaki
değişim sinyali yayınlayan Kaynak Cisimden bağımsız olarak
gerçekleşmektedir. Dalgaboyunu değiştiren Hedef Cisimdir.
Çalışmanın Sonuçları

Dalgaboyundaki
değişimin sinyalin yayınlanması esnasında gerçekleştiğini anlamış olmak
Teorik Fizik için bir eşik noktasıdır. Eğer bu eşiğe varmış iseniz, bu
andan sonra isteseniz de Fiziğe eskisi gibi bakamazsınız. Çünkü
birbirinden ilginç pek çok bilgi ardı ardına gelir. Örnek vermek için
bu çalışmanın beraberinde getirdiği bazı bilgileri aşağıya yazdım.

1) Doppler Kaymasında dalgaboyu değişimi elektromanyetik dalganın
yayınlanması esnasında gerçekleşir. [Ref: Figür 2, Figur 6]

2) Dalgaboyundaki değişim miktarını belirleyen faktör, Hedef Cismin
Kaynak cisme göre olan hızıdır. [Ref: Figür 2, Figur 6]

3) Dalgaboyu değişimi Kaynak Cisim ve Hedef Cisim arasındaki mesafeden
bağımsızdır. [Ref: Figür 2]

4) Bir Elektromanyetik dalganın hızı kendisini yayınlayan cisimden
bağımsızdır. [Ref: Figür 2, Figür 6]

5) Bir Elektromanyetik dalga yayınlanırken varacağı Hedef Cisim
belirlenmiş durumdadır. [Ref: Figür 6]

Aslında çok daha fazla sonuç vardır, ancak burada yazmak istemedim.
Alice Yasası üzerinde çalıştıkça daha fazla sonuca ulaşabilirsiniz.
Link