Elektromanyetik TeorideDalga Hızı Mekaniği
ve Doppler Kayması arasındaki ilişki
Han Erim
5 Nisan 2023
![]()
Özet:
Elektromanyetik Teoride Doppler Kayması ve Dalga Hızı
Mekaniği arasında bilinmeyen ve çok önemli bir ilişki vardır. Bu
çalışmada bu önemli ilişki gösterilmiştir.
![]()
Kullanılan kısaltmalar:
Kaynak Cisim: Elektromanyetik dalgayı yayınlayan cisim.
Hedef Cisim: Elektromanyetik dalganın vardığı/varacağı cisim.
Sinyal: Elektromanyetik Dalga için "Sinyal" kelimesi kullanılmıştır.
1 - Doppler Kaymasının bilinmeyen yönleri:
![]()
Doppler Kaymasında bilinmeyen ana olgu, sinyal dalgaboyunun nerede
ve niçin değiştiği konusudur. Doppler Kaymasında dalgaboyu
sinyalin yayınlanması esnasında değişmektedir.
![]()
Dalgaboyundaki değişimin, sinyalin yayınlanması esnasında
gerçekleşmesinin anlamı şudur: Kaynak Cisimden bir sinyal
yayınlanırken, sinyalin varacağı Hedef Cisim belirlenmiş durumdadır.
Hedef Cismin, Kaynak Cisme göre hareket yönü ve hareket hızı sinyal
dalgaboyunun hangi oranda değişeceğini belirler. Dalgaboyundaki bu
değişim Doppler Kayması eşitliğine [1] uygun bir şekilde gerçekleşir.
Doppler Kaymasında Dalgaboyu Değişimi
|
|
Sinyalin değişime uğramamış orijinal dalgaboyu. |
|
|
Sinyal dalgaboyunun değişmiş hali. |
|
|
Işık hızı sabiti. Eşitlikteki Anlamı : Kaynak Cismin kendi referans sistemine göre hareketsiz bir hedefe gönderdiği sinyalin hızı. (Kısım 2) |
|
|
Sinyalin yayınlanma anı için geçerli olmak üzere; sinyalin varacağı Hedef Cisim ile sinyali yayınlayan Kaynak Cisim arasındaki hız farkı. |
|
|
Eşitlikte yer alan ± işareti, Hedef Cisim ve Kaynak Cisim birbirlerine yaklaşıyorlar ise (-), birbirlerinden uzaklaşıyorlar ise (+) değer alır. |
|
|
Eşitlikteki Anlamı: Kaynak Cismin kendi referans sistemine göre gönderdiği sinyalin hızı. (Kısım 2 ) |
![]()
2 - Elektromanyetik Teoride Dalga Hızı Mekaniğinin bilinmeyen yönleri
![]()
Dalga Hızı mekaniğinin temel denklemi elektromanyetik dalgalar içinde
geçerlidir.
![]()
Dalga Hızı = Dalganın Frekansı x Dalgaboyu
![]()
Doppler Kaymasında dalgaboyundaki değişimin sinyalin yayınlanması
esnasında oluşması çok açık bir sonuca yol açar.
Dalgaboyu değişen bir elektromanyetik dalganın hızı, kendisini
yayınlayan Kaynak Cisme göre hiç bir zaman c olmaz. Kaynak Cismin
kendi referans sistemine göre, hareketli bir hedefe gönderdiği sinyalin
hızı şu şekildedir [2]:
![]()
Hareketli bir cisme gönderilen sinyalin hızı

|
|
Kaynak Cismin yayınladığı ve Doppler Kayması sebebiyle değişme uğramış olan sinyalin dalgaboyu. |
|
|
Kaynak Cisimde sinyalin yayınlanma frekansı. |
|
|
Kaynak Cismin kendi referans sistemine göre
yayınladığı sinyalin hızı. |
![]()
Kaynak Cisim, kendi referans sistemine göre eğer hareketsiz bir hedefe
sinyal gönderirse dalgaboyu değişmeyeceği için
olur
ve eşitlik aşağıdaki şekilde değişir. Bu yakından tanıdığımız ancak
eksik olarak bilinen elektromanyetik dalga hızı denklemidir [3].
![]()
Hareketsiz bir cisme gönderilen sinyalin hızı

![]()
Kaynak Cisimden yayınlanan ve hareketli bir cisme giden bir sinyalin
hızı
Doppler Eşitliğindeki
ifadesine eşittir
[4]. Yani, Doppler Kayması eşitliğindeki
ifadesi, Kaynak Cisme göre yayınladığı sinyalin hızını gösterir.
![]()
Kaynak Cisimden sinyalin yayınlanma hızı

![]()
[4] Numaralı eşitlikteki durumun varlığını görmek için
eşitliğini elde etmek yeterlidir. [1] ve [3] numaralı eşitliklerden
yararlanılarak gerekli eşitlik elde edilir [5].
![]()

![]()
Sonuç olarak, Kaynak Cismin kendi referans sistemine göre yayınladığı bir sinyalin hızı aşağıdaki eşitlik ile belirlenir [6]:
![]()
Kaynak Cisimden bir sinyalin yayınlanma hızı

![]()
Eğer Hedef Cisim, Kaynak cisme göre hareketsiz ise yukarıdaki eşitlikte
dalgaboyu değişmeyecektir,
olur ve
olacağı için sinyal hızı
olur.
Elde edilen bilgiler ışığında Doppler Kayması eşitliğini sinyal
hızlarıyla aşağıdaki gibi de ifade edebiliriz [7].
![]()
Doppler Kayması Eşitliği

| Sinyalin değişime uğramamış orijinal
dalgaboyu. |
|
| Sinyalin dalgaboyunun değişmiş hali. |
|
|
|
Kaynak Cismin kendi referans sistemine göre hareketsiz bir hedefe gönderdiği sinyalin hızı. |
| Kaynak Cismin kendi referans sistemine göre hareketli bir hedefe gönderdiği sinyalin hızı. |
![]()
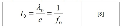
3 - Bir Sinyalin Yayınlanma Süresi
Dalgaboyundaki değişiminin sinyalin yayınlanma hızına bağlı olarak
oluşması bize bir bilgi daha vermektedir: Bir elektromanyetik dalganın
yayınlanabilmesi için bir süreye gereksinim vardır.
Kaynak Cisimde sinyalin yayınlama frekansı değişmemektedir. Bu nedenle
sinyalin yayınlanma süresini [3] numaralı denklemden yararlanarak
bulabiliriz [8]. Sonuç olarak Doppler Kaymasında, Kaynak Cisimde
sinyalin yayınlanma süresi ve frekans değişmez iken, sinyal dalgaboyu
ve sinyalin hızı değişmektedir. [9].
![]()
Kaynak Cisim için bir sinyalin yayınlanma süresi

![]()
Kaynak Cisim için Doppler Etkisindeki bir sinyalin yayınlanma süresi

![]()
4 - Hedef Cisim için kendisine gelen sinyal hızı
nedir?
Dalgaboyu değişmiş olsa dahi, Hedef Cismin kendi referans sistemine
göre, kendisine gelen bir sinyalin hızı daima c olmaktadır. Kaynak
Cismin referans sistemine göre düşünerek bunu kolaylıkla
görebiliriz.
| Kaynak Cisme göre Hedef Cismin hareketi |
Kaynak Cisme göre Hedef Cisme giden sinyalin hızı |
Hedef Cisme göre Kaynak Cisimden gelen sinyalin hızı |
| Hedef Cisim ile uzaklaşıyor |
|
|
| Hedef Cisim ile yakınlaşıyor |
|
|
![]()
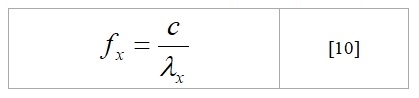
5 - Hedef Cisim için dalga mekaniği nasıldır?
![]()
Hedef Cisme gelen sinyalin dalgaboyunun olduğunu farz
edelim. Hedef
Cisme gelen bir sinyalin hızının daima c olması sebebi ile, gelen
sinyalin frekansı için Dalga Mekaniği denklemi uyarınca aşağıdaki
eşitlik vardır [10].
![]()
Hedef Cisim için kendisine gelen sinyalin frekansı

![]()
Eşitliği tekrar yazalım [11].
![]()
Hedef Cisim için dalga hızı denklemi:
|
|
Hedef Cisme gelen sinyalin dalgaboyu. |
|
|
Hedef Cisme gelen sinyalin frekansı. |
|
|
Hedef Cisme göre kendisine gelen sinyalin hızı. |
![]()
Hedef Cisim ve Kaynak Cisim birbirine göre hareketsiz ise, sinyal
dalgaboyu değişmediği için [3] numaralı denklem Hedef Cisim içinde
geçerli olur.
![]()

Çalışmanın Sonuçları
Elektromanyetik Teorideki büyük bir boşluğu ve eksikliği gidermesi
açısından bu çalışmanın son derece önemli olduğunu düşünüyorum. Burada
yazdığım bütün bilgileri aslında daha önce defalarca yayınlamıştım.
Burada daha anlaşılır ve daha akıcı bir şekilde yeniden yazmaya
çalıştım. Umarım bu kez dikkate alınır ve doğru bir şekilde sonuçlanır.
Gene önemli bir sonuç olarak bu çalışma, Relativite Teorisinin yanlış
bir teori olduğunu gösterir. Relativite Teorisi yüzyıldan daha uzun bir
süredir zihinleri gereksiz yere meşgul etmiştir ve hala etmektedir.
Relativite Teorisinin dayandığı temel Michelson-Morley deneyidir ve bu
deneyen elde edilen bilgi, yıldızlardan dünyaya gelen ışıkların
hızının, dünyanın kendi referans sistemine göre sabit ve c ye eşit
olduğudur. Bunun böyle olduğunu, böyle olması gerektiğini bu çalışma
zaten kendiliğinden göstermektedir. Michelson-Morley deneyinde eksik
olan bilgi,
yıldızın kendi referans sistemine göre, dünyaya gönderdiği
ışık sinyalinin hızıdır. Öte yandan, elektromanyetik dalgalar üzerinde
görülen Doppler Kayması yıldızların dünyaya gönderdikleri ışıkların
dalgaboyları incelenerek fiziğin gündemine girmiş bir konudur.
Yıldızlardan gelen ışıkların dalgaboylarını inceleyerek yıldızların
bize doğru yakınlaştıklarını veya uzaklaştıklarını anlayabiliyoruz. Ve
gene anlıyoruz ki, burada gördük ki,
bütün o yıldızların kendi referans sistemlerine göre dünyaya
gönderdikleri ışık sinyallerinin hızlarının c ye eşit olması mümkün
değildir. Hal böyle iken, Relativite Teorisinde böyle bir durumun
varlığı hiç dikkate alınmamıştır. Hiç bir ölçüme dayanmadan ve aceleyle
ardı ardına yanlış kararlar verilerek, bütün referans sistemlerine göre
bir ışık sinyalinin hızı sabit ve c ye eşittir denmesi işi büyük bir
felakete sürüklemiştir. Relativite Teorisinin hem yanlış ve hem de
karmaşık bir teori olması, düşünme, sonuca varma, sonuç çıkarma, analiz
etme, bilgiye erişme aşamalarına büyük zarar vermiştir. Yanlış olan bir
şeyi anlamanın bir anlamı yoktur. Sorarım size, onu anladığınızı
söylüyor iseniz acaba neyi anlamış olabilirsiniz? Eğrilmiş, bükülmüş
Uzay-Zamanı mı anladınız? Zamanın durabileceğini mi? Bir cismin
fiziksel uzunluğunun küçülebileceğini mi? Relavistik Doppler
Kaymasından mı söz ediyorsunuz? Dostum bu bahsettiğiniz şeyler,
hayaller, cadılar, cinler, periler evrenidir. Ama bu iş çok üzücüdür ve
artık kabak tadı vermiştir. A ve B birbirine göre hareket halinde ise,
A ya göre hızı C olan bir şeyin B ye göre de hızının C olması
matematiksel olarak mümkün değildir. Eğer mümkün olabilmesi
için matematiği gereksiz yere zorlarsanız oda size boyutu ve zamanı
bükerek bir ucube yaratır ve "al bu senin" diyerek size geri verir,
sizde o ucubeyi gerçeğiniz zannedersiniz. Durumu olduğu gibi kabul
etmek varken, çok gereksiz yerlere gidilmiştir. Burada yazdıklarım
aslında doğanın bir intikamıdır. Doğanın yasalarında herhangi bir
zorlama, yaratışında da bir cin fikir yoktur. Buradan kendimize böyle
bir ders çıkartalım.