DOPPLER
KAYMASI EŞİTLİKLERİNİN
MATEMATİKSEL OLARAK ELDE EDİLMESİ
![]()
Kasım 2018
Han Erim
![]()
Hiç
bir elektromanyetik dalga, buna fotonları da dahil edebiliriz sıfır
zamanda yayınlanmazlar. Yayınlanmak için mutlaka bir süreye ihtiyaç
duyarlar. Elektromanyetik dalgalar ayrıca boyuta da sahiptirler. Bir
elektromanyetik dalgayı tarif edebilmek için onun boyutunu yani onun
dalgaboyunu kullanıyoruz. Elektromanyetik dalgaların bu iki
özelliğinden yani yayınlanmak için süreye gerek duymalarından ve
dalgaboylarından yararlanarak Doppler Kaymasının matematiksel temeline
ulaşmak mümkündür. Buradaki bölümde bunun yöntemini size göstereceğim.
![]()
![]()
DOPPLER KAYMASI İÇİN
EŞİTLİĞİNİN ELDE EDİLMESİ
ÇERÇEVELER BİRBİRİNDEN
UZAKLAŞIYORLAR
Figürde görüldüğü bir uçak A ve
B noktaları arasında iken bir
elektromanyetik dalga yayınlıyor. A noktası dalganın yayınlanmaya
başladığı konum ve B noktası dalganın yayınlanmasının sona erdiği
konumdur. Gene figürde görüldüğü gibi uçak sinyal olarak tek bir
dalgaboyu göndermiştir.

Figürde, özel
bir Doppler Üçgeni kullanılmıştır. Uçağın
yayınladığı sinyalin yayınlanma süresini
"t0" olarak kabul edelim. Bu t0
süresini Doppler Üçgeninin kenar uzunluklarını belirlemede
kullanacağız.
![]()
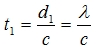
Öncelikle gönderilen sinyalin normal dalgaboyunu hesaplayalım:
![]()
![]()
(!..) Figüre bakıp sinyal
dalgaboyunun d2
mesafesine eşit olacağını sanmayınız. Şöyle izah edeyim; elinize bir
mıknatıs alıp bir saniyelik bir süre içinde mıknatısı vücudunuzun bir
tarafından diğer bir tarafına doğru bir S çizerek taşıyın. Üretmiş
olduğunuz elektromanyetik dalganın dalgaboyu üç yüz bin kilometre
olacaktır.
![]()
Uçak sinyal olarak tek bir
dalgaboyu gönderdiği için, Doppler Üçgeninde
AO mesafesini yani
d1 uzunluğunu dalgaboyuna eşit olarak seçiyoruz.
![]()
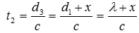
Sinyal dalgaboyunun başlangıcının gözlemciye varma süresini
hesaplayalım:

Sinyal sonunun gözlemciye varma süresini hesaplayalım:
![]()
![]()
Varma zamanları arasındaki farkı hesaplayalım:

Uçak ve gözlemci birbirine göre hareketsiz olsaydı gözlemci sinyal
dalgaboyunun tamamını
t0
zamanda alırdı. Ama birbirlerine göre hareket halindedirler. Bu durumda
gözlemci sinyal dalgaboyunun tamamını ne kadar zamanda almıştır?
![]()
Yukarıdaki denklem gözlemciye gelen sinyal dalgaboyunun uzunluğunu
vermektedir:
![]()
Bu ifadeyi aşağıdaki gibi de yazabiliriz:
![]()
![]()
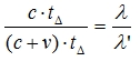
Artık, Doppler Üçgeninin özelliklerinden yararlanarak eşitlikleri
oluşturabiliriz.
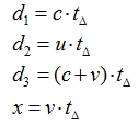
Öncelikle OAB üçgeni için Doppler Üçgeni eşitliklerini yazalım (tΔ=
t0):

![]()
d1 ve d3 uzunluklarını dalgaboylarıyla tekrar
yazalım:

![]()
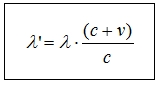
Yukarıdaki eşitlikleri taraf tarafa bölelim:

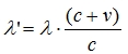
Buradan final sonuca erişiyoruz. Cisimler birbirinden uzaklaşırken,
dalgaboyu üzerindeki değişimi bu eşitlik göstermektedir.
![]()

![]()
![]()
DOPPLER
KAYMASI İÇİN
EŞİTLİĞİNİN ELDE EDİLMESİ
ÇERÇEVELER BİRBİRİNE
YAKLAŞIYORLAR
![]()

![]()
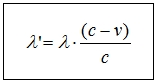
Buradaki
hesaplamalar yukarıda (c+v) için yapılan hesaplamalar ile tamamen aynı
şekilde gelişir. Benzerlik çok fazla olduğu için yazmaya gerek
görmedim. Ancak, burada OB mesafesi değişmiştir.
şeklinde olduğu
için takip eden hesaplamalarda gerekli yerlerde artılar eksiler ile yer
değiştirir.
![]()
İlerleyen kısımda gözlemciye gelen sinyal dalgaboyu
şeklinde elde edilir.
Doppler Üçgeninden yararlanılarak değerler yerine konulduğunda
sonucu elde edilir.
![]()
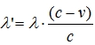
Buradan da cisimler birbirlerine doğru yaklaşırken, dalgaboyu
üzerindeki değişimi gösteren final sonuç elde edilir.
![]()

![]()
![]()
Relavistik
Doppler Kayması Nedir?
![]()
Yeri gelmişken bu konuya da
değinmek istedim. Relativite Teorisinin
sonucu olarak, yapay olarak üretilerek fiziğin içine yerleştirilen ve
kullanıla gelen bir çok eşitlik vardır. Relavistik Doppler eşitliği de
bunlardan bir tanesidir. Relavistik Doppler hayal mahsulü ve gerçekle
hiçbir alakası olmayan uydurma bir kavramdır. Alice Yasası Relativite
Teorisiyle birlikte onun bir sonucu olan Relavistik Doppler kavramını
da ortadan kaldırmıştır.