HIZ KAYMASI (SPEED SHIFT)
![]()
Han Erim
Eylül 2018
![]()
Güncelleme 8 Aralık 2023
![]()
![]()
Relativitenin etkilerinden biri de "HIZ KAYMASI"
dır. Hız Kayması, Kaynak
Cisim ile İmaj Cisim hızlarının birbirinden farklı olmasıdır.
Hız Kayması önem taşıyan bir relativite etkisidir. Yüksek hızlar söz
konusu olduğunda bu etki dikkate alınması gereken çok önemli bir konu
haline gelmektedir.
Figür 2:
![]()
Sinyal gözlemciye ulaştığında uçak (Kaynak Cisim) B noktasına varmış
durumdadır.
Gözlemci kendisine varan sinyal ile uçağı (İmaj Cisim) A noktasında
görüyor.
Dikkat edersek O, A ve B noktaları bir Doppler Üçgeni oluşturmuştur.
![]()
Kaynak Cisimlerin görünmez olmaları sebebiyle, görerek yapılan
ölçümlerde elde edilen hız değerleri İmaj
Cisimlere ait hızlardır. Bir İmaj Cismin hızının Kaynak Cismin hızından
farklı olması sebebiyle, görerek yapılan bir ölçümde ölçülen hız değeri
cismin yani Kaynak
Cismin gerçek hızın vermez. Cismin gerçek hızını bulmak için
gözlemlenen değer üzerinde bir düzeltmenin yapılması gerekir.
![]()
Aşağıdaki aynı olayın değişik evrelerini temsil eden 1, 2 ve 3 numaralı
figürlerden yararlanarak Hız Kayması olayının nasıl ve niçin
gerçekleştiği size göstereceğim.

Olayda bir gözlemci ve hareket halindeki bir uçak
vardır. Olayın akışını Figür 1 den başlayarak sırasıyla ele alıyoruz.
![]()
Figür 1:
![]()
Uçak (Kaynak Cisim) AC doğrusu istikametinde "u" hızıyla ilerlemektedir.
Uçak A noktasında iken yola çıkan ve gözlemciye giden bir sinyali ele
alıyoruz (Sinyal_1).
Sinyal_1 d0 doğrusunu takip ederek gözlemciye varacaktır.
![]()
A noktasından yola çıkan sinyalin gözlemciye varma süresini yazalım:
![]()
![]()
[1]
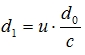
d1 mesafesini hesaplayalım:
![]()

[2]
u:
Uçağın (Kaynak
Cisim) hızı
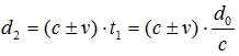
d2 mesafesini hesaplayalım:
OAB üçgeni Doppler Üçgeni teşkil ettiğinden [3] numaralı eşitliği
yazabiliriz.
![]()

[3]
[3] Numaralı eşitlikteki "v" değeri iki referans sisteminin (gözlemci
ve uçak) birbirine göre uzaklaşma/yakınlaşma hızıdır. v değerini uçağın
hızı ile karıştırmayalım.
(± İşareti : Hedef Cisim ve Kaynak Cisim birbirinden uzaklaşıyor ise
"+", birbirlerine yaklaşıyorlar ise "-" değer alır.)
![]()
"Sinyali gönderen uçak olduğuna göre OAB üçgeni nasıl Doppler üçgeni
olabilir?" diye düşünebilirsiniz. Bu konuya açıklık getireyim.
![]() |
Yandaki figürde d2 doğrusuna paralel
ve onunla eşit uzunlukta olan Kırmızı renkli d2
doğrusunu görüyoruz. Bu doğrunun uçağa bağlı olduğunu ve uçakla
berabere hareket ettiğini düşünelim. İşte bu doğru uçağın referans
sistemine göre gözlemciye doğru giden sinyalin takip edeceği yoldur. Dikkat edelim; uçak B noktasına vardığında Kırmızı renkli d2 doğrusu ile Siyah renkli d2 doğrusu üst üste gelmiş ve sinyal gözlemciye varmış durumdadır. Dolayısıyla d2 doğrusunun uzunluğunu bulmak için sinyalin varış zamanını kullanabiliriz. d2 doğrusunun uzunluğu:
(c±v) değeri uçağın referans sistemine göre gözlemciye doğru giden sinyalin hızı olur. |
![]()
Ana figüre devam ediyoruz. 2 numaralı figürü konunun takip edilebilmesi için burada bir kez daha kullandım.

Figür 2 devam:
![]()
Sinyal_1 gözlemciye vardığı anda B noktasında bulunan uçaktan (Kaynak
Cisim) yayınlanan bir diğer sinyali ele alalım (Sinyal_2) .
![]()
Figür 3:
![]()
Sinyal_2, d2 doğrusunu takip ederek gözlemciye vardığında,
gözlemci uçağı (İmaj Cisim) B noktasında görüyor.
Bu anda uçak (Kaynak Cisim) C noktasındadır.
Dikkat edersek OBC üçgeni burada da bir Doppler Üçgeni oluşturmuş
durumdadır.
B noktasından yola çıkan sinyal_2'nin gözlemciye varma süresini bulalım:
![]()

[4]
Böylelikle İmaj Cismin hızını hesaplamak için gerekli bütün verileri
elde ettik.
![]()
İmaj Cisimnin hızının hesaplanması:
![]()
Eğer İmaj Cismin d1 mesafesini ne kadar sürede kat ettiğini
bulursak, İmaj Cismin hızını hesaplayabiliriz. Sinyal_1 ve Sinyal_2 nin
gözlemciye varış zamanları arasındaki fark bize "İmaj Cismin d1
mesafesini ne kadar sürede kat ettiği" bilgisini verecektir. Bu fark şu
şekildedir.
![]()
| Sinyal_1 ve Sinyal_2'nin gözlemciye varış zamanları arasındaki fark | = | Uçağın d1 mesafesini kat etme süresi | + | Sinyal_2'nin gözlemciye varış süresi |
- | Sinyal_1'in gözlemciye varış süresi |
Değerleri yerlerine koyalım:
![]()
![]()
[5]
(Uçağın d1 mesafesini kat etme süresi için d1/u
yerine d0/c kullandım. d1/u = d0/c)
| Sinyal_1 ve Sinyal_2'nin
gözlemciye varış zamanları arasındaki fark |
= | Gözlemciye göre uçağın İmaj
Cismin d1 mesafesini kat etme süresi |
![]()
Sonuç olarak İmaj Cisim d1 mesafesini
zamanda kat etmektedir.
![]()
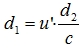
İmaj Cismin Hızının Hesaplanması
İmaj Cismin hızına u' dersek:
yazabiliriz. [6]
Kaynak Cisim için ise
eşitliği vardı. [2]
[6] ve [2] den yararlanarak aşağıdaki eşitliği yazabiliriz.
![]()
![]()
[7]
ve buradan [8] elde edilir:
![]()

[8]
OAB bir Doppler Üçgeni olduğu için aşağıdaki [1] ve [3] numaralı
eşitlikleri yukarıda konuya başlarken yazmıştık.
![]()
![]()
[1]
![]()
![]()
[3]
Yukarıdaki değerleri [8] de yerine koyarsak :
![]()

[9]
Buradan da İmaj Cisim Hızı ve Kaynak Cisim Hızı arasındaki ilişkiyi
gösteren sonuç denklemini [10] elde ediyoruz. Bir cismin İmaj Cismin
hızı ile Kaynak Cismin hızı arasında aşağıdaki ilişki vardır.
![]()

[10]
u : Kaynak Cismin hızı.
u' : İmaj Cismin hızı.
c : Işık hızı sabiti.
v : Kaynak Cisim ve Gözlemcinin birbirinden uzaklaşma/yakınlaşma
hızı.
![]()
Elbette ki bir cismin gerçek hızını Kaynak Cismin hızı temsil
etmektedir. Bu sebeple gözlemlediğimiz bir cismin gerçek hızını bulmak
için aşağıdaki eşitlik kullanılmalıdır.
![]()
![]()

[11]
Öte yandan [10] ve [11] numaralı eşitliklerin bir diğer anlamı da şu
şekildedir:
![]()
|
Şu konuya da dikkat edelim;
Kaynak Cisim hızı, Mutlak Uzay-Zaman da geçerli olan
hız değeridir.
İmaj Cisim hızı, Görünür Uzay-Zaman da geçerli olan hız değeridir.
Dolayısıyla "Mutlak Hız" ve "Görünür Hız" kavramlarına da yer vermek
doğru olacaktır.
![]()
Mutlak Hız: Bir cismin (Kaynak Cismin) Mutlak Uzay-Zamandaki hızıdır.
![]()
Görünür Hız: Bir cismin (İmaj Cismin) Görünür Uzay-Zamandaki hızıdır.
Okuduğunuz için teşekkür ederim.
Saygılarımla,
Han Erim

