34. IŞIMA
AKISI KAYMASI

Radyasyon veya ışınım tanımı,
elektromanyetik dalgalar veya parçacıklar biçimindeki enerji yayımı ya
da aktarımı şeklindedir. Işıma Akısı elektromanyetik radyasyonun birim
zamandaki ışıma enerjisidir. Işıma Akısı yalnızca görünür ışık ile
ilgili değildir tüm elektromanyetik spektrumu kapsar. Konuyu fazla
derinleştirmemek için burada güneş veya lamba gibi bireysel ve rast
gele foton ışıması yapan ışık kaynaklarıyla konuyu sınırlıyorum. Foton
ışıması, elektromanyetik dalgaların birbirinden bağımsız enerji
paketleri halinde gönderilmesi şeklinde olmaktadır.
Konumuz (c+v)(c-v) matematiğinin
elektromanyetik dalgalarda Işıma Akısı üzerinde yaptığı etki ile
ilgilidir. Alfa ve Beta ışımaları gibi kütle taşıyan parçacık
ışımalarının konumuzun kapsamına girdiğini düşünmüyorum, bu
parçacıkların kütleye sahip olmaları nedeniyle (c+v)(c-v) matematiğine
uygun bir şekilde davranmaları zor bir ihtimaldir.
Işıma Akısı, ışığı yayınlayan
kaynak açısından ele alındığında birim zamanda ne kadar foton
yayınladığının bir ölçüsüdür. Işığın varma hedefi açısından ele
alındığında ise birim zamanda ne kadar foton alındığının bir ölçüsü
olur. Fotonların taşıdıkları enerji de Işıma Akısını belirleyen ikincil
bir faktör olarak bu oluşumun içinde yer alır. Sonuç olarak Işıma Akısı
Kayması birbirine göre hareket eden cisimler arasındaki elektromanyetik
etkileşimde, foton sayısındaki değişimin ve fotonların enerjilerindeki
değişimin birlikte oluşturduğu bir etkidir ve (c+v)(c-v) matematiği ile
direk ilişkili olan bir konudur.
Kaynağın Işıma Akısını
değiştirmesi ancak kaynaktaki fiziksel şartların değişmesi sonucunda
gerçekleşebilir. Güneş patlaması gibi olaylar veya bir lambaya verilen
voltajın değiştirilmesi kaynağın Işıma Akısını tabiatıyla
değiştirebilir. Burada Işıma Akısını varma hedefi açısından ele
alacağız.
Bir ışık kaynağına göre hareket
halinde olan bir referans sisteminin kaynaktan aldığı ışık enerjisi
miktarının hareketin yönüne bağlı olarak arttığını veya eksildiğini
"Bir Fotonun Enerjisi" kısmında görmüş idik. Işık enerjisindeki bu
değişim yalnızca dalgaboyu (dolayısıyla enerjisinin) değişiminden
kaynaklanmaz, aynı zamanda alınan foton sayısında artma veya eksilme de
söz konusudur.
Işık Akısı Kaymasının nasıl
gerçekleştiğini anlamak için, Bayt Kayması örneğimizden
yararlanabiliriz. HELLO WORLD mesajındaki her harfin bir foton
tarafından temsil edildiğini var saymak bize gerekli bilgiyi hemen
verecektir.



Uçaklara ve dağ
istasyonuna gelen mesaj uzunluğunun her üç referans sistemi için farklı
olduğunu görmüştük. Hedef referans sistemi için GELEN sinyal hızının
değişmemesi sebebiyle, her üç referans sistemi aynı süre içinde farklı
miktarda foton alacaktır. Bunun sonucunda her üç referans sistemi için
Işıma Akısı farklı olacaktır. Sinyal kulesinin her üç varma hedefi için
saniyede "n0" adet foton yayınladığını varsayalım. Buna
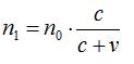
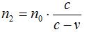
göre, dağ istasyonu saniyede n0 adet foton alırken,
kuleden uzaklaşan uçak saniyede
,
kuleye yaklaşan uçak saniyede
kadar foton alacaktır.
Enerjideki değişimi bulmak için frekanstan yararlanalım. Saniyede
yayınlanan veya alınan foton sayısını gösteren "n" değerindeki değişim
ile frekans değişimi birbirine çok benzemektedir.



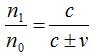
Hedefe doğru
saniyede "n0" adet fotonun yola çıktığını ve saniyede "n1"
adedinin hedefe ulaşacağından hareketle; her iki eşitliği taraf tarafa
birbiriyle çarparsak f1 frekansına sahip n1 adet
fotonun varma hedefinde oluşturacağı toplam etkiyi buluruz, yani Işıma
Akısının birincil eşitliğine ulaşırız. Bu eşitlik (c+v)(c-v) matematiği
açısından genel prensibi göstermektedir, eşitlikte hem frekanstaki
değişim (dolayısıyla fotonun dalgaboyu değişimi) hem de foton
sayısındaki değişim beraberce yer alır.



Eşitliği Planck Sabiti ile çarparak Işıma Akısındaki
enerji değişimini ele ederiz.



Tabi bu eşitliği
kullanmak için foton sayısını bilmemiz gerekir. Ama bunun konumuz
açısından bir önemi yoktur. Burada esas amaç (c+v)(c-v) matematiğinin
olaya nasıl müdahil olduğunu görmekti. Zaten foton sayılarını elemine
etmek de mümkündür. Yukarıdaki Işıma Akısı Kayması eşitliğini aşağıdaki
gibi daha basite indirgeyebiliriz.
olduğuna göre bir önceki denklemde
yerine koyarsak genel denklemi elde etmiş oluruz.



Işıma Akısı
Kayması miktarını gösteren eşitliği
kaynağa göre hareket eden bir
referans sisteminin maruz kalacağı ışık akısındaki değişim miktarını
gösterir.
Işıma Akısı Kayması oluşumunu
şu şekilde özetleyebiliriz:
Işıma Akısı Kayması dalgaboyu değişimi gibi kaynakta oluşur ve etkisi
hedefte ortaya çıkar. Bir referans sisteminin bir ışık kaynağına göre
hareket halinde olması, kaynaktan kendisine gelen ışığın yoğunluğunu
arttırır veya seyreltir. Başka bir deyişle kendisine gelecek olan
fotonların yoğunluğunu değiştirir. Foton sayısındaki bu yoğunluk
değişimi ışığın yayınlanması esnasında gerçekleşir. Yola çıkan
fotonların etkilerini gösterebilmeleri için varma hedefi ile arasındaki
mesafeyi kat etmeleri gerekir. Bundan dolayı Işıma Akısı Kayması, hız
değişimine bağlı olarak hedef üzerinde hemen o anda oluşan bir etki
değildir.
Bir örnek ile anlatmam daha
kolay olacak. Dört ışık yılı uzaklıktaki bir başka yıldız sistemine
doğru yarım ışık hızı ile yola çıktığımızı düşünelim. Uzaygemisi için
yıldızdan gelen ışığın ışıma akısındaki değişim, yola çıktıktan tam
dört yıl sonra, yarı yola gelindiğinde başlayacaktır. Ne zaman ki uzay
gemisi yıldızdan gelen ışıkların dalgaboylarının değiştiği görmeye
başlayacaktır, işte o zaman yıldızdan gemiye ulaşan ışıkların Işıma
Akısı da değişmiş olacaktır.
34.1. IŞIK ŞİDDETİ, MESAFE VE (C+V)(C-V) MATEMATİĞİ
Işık şiddetinin mesafeye göre değiştiği bilinen bir konudur. Bir
çemberi ışık kaynağından uzaklaştırdıkça, birim zamanda çemberin
içinden geçen ışığın miktarı giderek azalacaktır. Aşağıdaki figür bu
durumu göstermektedir.

Genel kural şu
şekildedir: Noktasal bir kaynağın etrafına yaydığı ışığın şiddeti
mesafenin karesi ile ters orantılı olarak azalmaktadır. Mesafeyi iki
katına çıkardığımızda ışık şiddeti dört kat azalacaktır şeklinde
pratikte düşünebiliriz. Bu kurala uygun olarak aşağıdaki eşitlik vardır.
| Işık Şiddeti1 |
=
|
Mesafe12 |
|
|
| Işık Şiddeti2 |
Mesafe22 |
|
Işık Şiddeti
birincil olarak ışığı oluşturan fotonların sayısına bağlı bir sonuç
olduğu için yukarıdaki eşitliği esas nedeni ortaya koyarak aşağıdaki
gibi yazabiliriz.

| Alınan foton sayısı1 |
=
|
Mesafe22 |
|
|
| Alınan foton sayısı2 |
Mesafe22 |
|
Fakat,
yukarıdaki iki eşitlik de ışık kaynağına göre hareketsiz durumda olan
hedefler için geçerli olan eşitliklerdir. İşin içinde hareket olduğunda
(c+v)(c-v) matematiği duruma müdahale etmektedir.
Aşağıdaki figürde (c+v)(c-v) matematiğinin nasıl müdahalede bulunduğunu görebiliriz. Işık kaynağından
d1 kadar uzaklıkta hareketsiz duran bir cisim düşünelim. Figürde cismin daire şeklinde çizilmiş olmasının bir önemi yoktur.
t0
gibi bir anda kaynaktan yayınlanan fotonların n adedinin varma hedefi
olarak bu cismi seçtiğini var sayalım. Sonuçta n adet foton d0 mesafesini tΔ =d0/c kadar bir sürede kat ederek hedefledikleri cisme varacaktır. Şimdi, cismin uzaklaştığını durumu düşünelim. Cisim
d0
mesafesinde iken gene n kadar fotonun varma hedefi olarak cismi
seçtiğini ve ona doğru yola çıktığını düşünelim. Ama bu kez fotonların
hızı (c+v) olacaktır ve bu fotonlar d0 mesafesi yerine cisme d1 mesafesinde
varacaktır ve foton sayısı değişmeyecektir. Cisim kaynağına doğru
gelmesi durumunda fotonlar (c-v) hızıyla yol alacak hedefe d2 mesafesinde varacaktır ve foton sayısı gene değişmeyecektir.
Foton
sayılarının değişmemesi her üç durumda cismin aynı ışık şiddetini
alacağı anlamına gelmemektedir. Çünkü fotonların sayıları aynı kalmakla
beraber enerjileri değişecektir. Enerjideki değişim dalgaboyundaki
değişim ile orantılı olarak gerçekleşecektir. Dolayısıyla EX . λX = E0 . λ0 şeklinde bir eşitlik tanımlayabiliriz. O halde, durağan halde
E0 kadar enerji alan cisim, hareket halinde ise ve hareketi uzaklaşma yönünde ise
E2= E0.c/(c+v) kadar, hareketi yaklaşma yönünde ise
E1= E0.c/(c-v) kadar enerji alacaktır. Figürde, d1 ve
d2 mesafelerini tΔ süresinin belirlediğine dikkat edelim, foton sayılarının değişmemesi tΔ süresi ile direk bağlantılıdır. tΔ süresi aşıldığında foton sayısı değişecektir.

34.2. GÖLGELEME FAKTÖRÜ (SHADING FACTOR)



Yukarıdaki
figürde, hareket halinde olan Sarı cisim kırmızı ok yönünde
ilerlemektedir. Yolu üzerinde Mavi cismin gölgelediği bir bölge vardır.
Sarı cisim bu gölgelenmiş bölgeden geçerek yoluna devam eder...
Basit gibi görünen bu olay (c+v)(c-v) matematiği ile düşünüldüğünde hiç
basit değildir ve çok miktarda detay ve bilgi içerir.



Bir Doppler
üçgeni yardımıyla düşünelim. Sarı renkli cisim B noktasında iken ışık
kaynağından gönderilen bir ışık sinyalini ele alıyoruz.
Sinyalin varış süresi tΔ=d1/c olacaktır.
tΔ süresi boyunca Sarı cisim u hızıyla d2= u. tΔ mesafesini kat ederek gölgelenmiş alana girer.
Kaynağın referans sistemine göre Sarı cisme doğru d3 doğrusu üzerinden gelen ışık sinyalinin yolu üzerinde Mavi cisim vardır.
Sarı renkli cismin referans sistemine göre ışık sinyalinin Sarı cisme kırmızı renkli
d1 doğrusu üzerinden geleceğini hatırlayalım. Sarı cismin hareketi sonucunda kırmızı renkli
d1 doğrusu gölge hattının içine girecektir.
Sarı cisim C noktasına doğru yaklaşırken eğer ışık sinyali Mavi cismi
geçebilmiş ise Sarı cisme varacaktır, ancak geçememişse ışık sinyali
Mavi cisim tarafından tutulacaktır. Mavi cisim ışık sinyalinin Sarı
cisme varmasına engel olacaktır.
Buradan çıkan bir sonuç olarak, Sarı cismin gölge hattına girmesiyle
beraber, Mavi cisim alması gereken ışık miktarından daha fazla miktarda
ışık almak zorunda kalacaktır.
Mavi cismin aldığı bu fazladan ışığın, Mavi cisim tarafından ne şekilde
bir işleme tabi tutulacağı konusunda emin olmadığım için burada bir
yorum yapmayacağım. Mavi cisim için Işıma Akısı değişimine veya onun
ısıl enerjisinin artmasına sebebiyet verebilir veya başka bir etkiye de
sebep olabilir.
Gerçek şu ki Alice Yasası hakkında öğrenmemiz gereken çok şey vardır.
Gölgeleme Faktörü konusu Işık Akısı Kayması konusunu yazarken fark
ettiğim benim için oldukça yeni bir konudur. Hatta, bu konuyu yazıp
yazmamakta oldukça tereddüt ettim. Yazmamın daha doğru olacağına karar
verdiğim için bu konuya da değindim. Gölgeleme faktörü konusunun dikkat
edilmesi gereken çok fazla detay içerdiğini görebiliyorum. Ama burada
bu detaylara girmek istemedim.
Gölgeleme faktörü Alice Yasasını deneysel olarak doğrulayabilmek için
özel bir fırsat da sunmaktadır. En azından böyle bir ihtimalin olması
kuvvetle muhtemeldir.

Uzaygemisi
Başladığımız uzaygemisi konusuna devam edelim, uzay gemisi yarı yolda
vardıktan sonra maruz kaldığı yeni Işıma Akısı altında yoluna devam
eder. Hedeflerindeki yıldız artık çok daha parlak ışımaktadır. Fakat
uzay gemisinin motorları beklenmedik bir arıza yapar, yolları üzerinde
ve gidecekleri yıldıza bir ışık yılı mesafede ve yıldıza göre
hareketsiz bir konumda olan bir kurtarma ve bakım istasyonu vardır.
Uzaygemisi hızını azaltarak tamir görmek için istasyona yanaşır. Uzay
gemisi için hızını azaltması ışıma akısını değişime uğratır mı? Evet
uğratır ama bu değişim en az bir ışık yılı öteden başlayacaktır.
Değişimin kendilerine ulaşması bir yıl sürecektir. Bütün bu süre
zarfında yıldız gemisi yıldızdan kedisine gelen yoğunlaşmış enerjiyi
almaya devam edecektir. Kaptan pilot gemisini durdursa da, yönünü
değiştirse de, yıldızdan uzaklaşmaya çalışsa da bu etki sürecektir,
çünkü o ışıklar uzay gemisinin alanı içinde gitmektedir ve alan
merkezinde bulunan uzaygemisine hedeflerine kilitlenmiş güdümlü füzeler
gibi gelmektedir.
Uzaygemisi tamir istasyonunun hangarına iniş yapar. Tamir istasyonun
güneş kalkanları, uzaygemisini yıldızdan gelen enerjik ışıklarlardan
artık korumaktadır. Peki yolcular için durum nedir? Yolcular uzay
gemisinin güvenli mekanlarında, uyku halinde bu yolculuğa
başlamışlardı. Tamir işinin uzun süreceği anlaşılınca yolcular
uyandırılarak, tamir istasyonunun konaklama yerlerine nakledilirler.
Tamir İstasyonunun kafeteryası çok güzel yapılmıştır. Üzerindeki cam
kubbeden uzayın bütün ihtişamı görülmektedir.Yolculardan birisi bir
kahve alır ve gözünü gidecekleri yıldıza doğru çevirir. Yolcu yıldızı
nasıl görecektir, Işıma Akısındaki değişim bu yolcu için hala devam
ediyor mudur?
Çok ilginç bir senaryo oldu. Alice Yasasının da kendisine özel
paradokslarının olması kadar doğal bir şey olamaz. Burada da bir
tanesiyle karşılaştık, doğrusunu isterseniz kitabı yazarken aklıma
geldi. Hikayenin son kısmının cevabını bilmiyorum ve elbet de merak da
ediyorum. Bir tahmin de bulun derseniz, ışıma akısındaki değişimin o
yolcu için gelecek bir yıl boyunca devam edeceği şeklinde oyumu
kullanırdım.