29. (C+V)
(C-V) MATEMATİĞİNİN ÇEKİM KUVVETİ VE YÜK KUVVETLERİYLE OLAN

İLİŞKİSİ

(c+v)(c-v) matematiği doğadaki bir mekanizmanın varlığı konusunda çok
önemli ipuçları vermektedir. Bu mekanizma ALAN mekanizmasıdır.
Aşağıdaki iki eşitliğe bir bakalım.



"Hoppala....
bunlar da nereden çıktı, ne alaka. Birisi Evrensel Çekim Yasası diğeri
statik elektrik yükleri arasındaki kuvveti tanımlayan Coulomb Yasası.
Konumuz (c+v) (c-v) matematiği iken bunların burada ne işi var?"
demeyiniz. Çünkü bu iki eşitliğin (c+v) (c-v) matematiği ile
gerçekten çok yakın bir ilişkisi vardır.
Evrensel Çekim Kuvveti Yasası: İki cisim birbirlerine
kütlelerinin çarpımıyla doğru, aralarındaki uzaklığın karesi ile ters
orantılı olarak kuvvet uygular.
Coulomb Yasası: Elektriksel yüke sahip iki cisim birbirlerine
yüklerinin çarpımıyla doğru, aralarındaki uzaklığın karesi ile ters
orantılı olarak bir kuvvet uygular.
Her iki yasa (c+v)(c-v)
matematiğinin nedenini açıklamak için
yararlanabileceğimiz, bize yol gösteren çok ama çok önemli bazı
bilgiler içermektedir. Şimdi bu bilgilere bir göz atalım.
İlk bilgi şudur: Her iki denklem
için de geçerli olmak üzere, iki cisim
arasındaki veya iki elektriksel yük arasındaki mesafenin herhangi bir
üst sınırını yoktur. Aradaki mesafenin bir santim, bir metre, binlerce
kilometre, bir kaç ışık yılı veya milyonlarca ışık yılı olması bu
eşitliklerde bir değişime bir sebebiyet vermemektedir.
İkinci bilgi, cisimlerin
niteliklerinin bir önemi olmamasıdır. Ancak ve
ancak şu sınıfa dahil cisimler birbirlerine kuvvet uygular şeklinde bir
sınırlama yoktur. Evrensel Çekim Yasası için cisimlerin kütleye sahip
olması, Coulomb Yasası için elektriksel yüke sahip olması kuvvetin
oluşması için yeterlidir.
Üçüncü bilgi, bu kuvvetlerin
belirli cisimler yerine evrensel olarak
evrendeki cisimlerin tümüne eş zamanlı olarak uygulandığıdır. Yani, bir
cisim bir başka cisme kuvvet uygularken aynı anda başka bir cisme
kuvvet uygulayamaz şeklinde bir sınırlama yoktur. Dünya Ay'a çekim
kuvveti uygularken, aynı zamanda Güneşe, Jüpiter'e Plüton'a, Andromeda
Galaksisine veya Hubble teleskopuyla görebildiğimiz milyonlarca ışık
yılı ötedeki bir gök cismine de kuvvet uygulamaktadır. Bu biraz genel
bir örnek oldu, biraz daha özele inelim. Evrensel Çekim Yasası, bir
atom kütle taşıması nedeniyle evrendeki bütün diğer atomlara nerede
olursa olsunlar çekim kuvveti uygular demektedir. Coulomb Yasası, bir
elektron yük taşıması nedeniyle evrendeki bütün diğer elektronlara ve
protonlara nerede olursa olsunlar kuvvet uygular demektedir. Burada
kuvvet uygulayan elektronun nötr bir atom içinde yer almasının hiç bir
önemi yoktur. (Nötr Atom: Atomu oluşturan eksi yüklü elektronlar ile
artı yüklü protonlar birbirleriyle eşleşmiş durumdadır ve bu sebeple
atomun elektriksel yükü teorik olarak sıfırdır). Aslında ne kadar
ilginç ve hayal gücümüzü olabildiğince zorlayan bir durum. Evinizde
odanızın ışığını açıyorsunuz, bir telin içinde lambaya doğru
elektronlar koşuşturmaya başlıyor ve bundan evrenin diğer ucundaki
elektronların bir şekilde haberi oluyor. Kaç tane elektron koşuyor,
hızları nedir hepsini biliyorlar! (veya bilecekler diyelim) . Masanızın
üzerindeki bir bardağın yerini hafifçe değiştiriyorsunuz, bardağın
yerinin değiştiği bilgisi evrendeki diğer cisimlerin hepsine bir
şekilde ulaştırılıyor. Daha da garip bir şey söylemek isterim. Yer
değiştirme bilgisinin diğer cisimlere ulaştırılmasının sıfır zamanda
gerçekleşmesi gibi bir ihtimalde yok değildir. Bunu tartışma başlatmak
için söylemedim, yalnızca eşitliklerin ne söylediğini anlatıyorum.
Dikkat ederek her iki eşitlik de cisimlerin hızlarından bağımsızdırlar.
Bir cisim yer değiştirdiği anda diğer cisimlerle arasındaki mesafeler
değişecek ve bu sebeple kuvvet de değişecektir. Bu durumu kuvvetteki
değişim sıfır zamanda gerçekleşir şeklinde yorumlayabiliriz.
Dolayısıyla bu eşitlikler eğer kesin doğruluk taşıyor iseler, bir
cismin yer değiştirme bilgisinin evrendeki tüm cisimlere sıfır zamanda
ulaştırıldığı gibi sonuç da vardır. Eğer sıfır zamanda ulaştırılmıyor
ise, bu taktirde eşitliklerin yazılımında bir eksiklik, ihmal edilmiş
bir şey vardır anlamına gelir. Ve bu taktirde eşitlikler birbirine göre
hareketsiz iki cisim arasında oluşan kuvveti doğru ifade eden ancak
hareketli cisimler arasındaki kuvvetler için eksiklik taşıyan
eşitlikler haline düşerler. Bu olmayacak bir şey değildir. Buna çok
benzer bir örneği hatırlarsanız elektromanyetik dalga hızı denklemi
için kullanılan c =
f0.λ0 eşitliğinde görmüştük, doğru eşitliğin c =
f0.λ1 olması gerekiyordu.
Dördüncü bilgi, bu kuvvetlerin
engel tanımamaları ve maddenin içinden
geçebilmeleridir. Basit bir örnekle izah edeyim. Dünya ay ile güneş
arasına girdiğinde, güneşin aya uyguladığı çekim kuvveti değişmekte
midir, Güneşin çekim kuvvetinin Ay'a ulaşmasına Dünya engel olmakta
mıdır? Eğer böyle bir şey olsaydı, ayın yörüngesi değişirdi ve bunu
tespit eder ve farkına varırdık. En azından çekim kuvveti açısından
durum böyledir diyebilirim, yük kuvvetleri açısından ise durum biraz
farklı olabiliyor sanırım, çünkü elektriksel yüklerin etki edemediği
yalıtılmış alanlar elde edebiliyoruz.
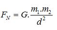
Şimdi size çekim kuvvetinin hiçbir engel tanımadığını göstermek
istiyorum. Bunun için, Evrensel Kütle Çekim Yasası
eşitliğinde yer alan "m1.m2" çarpımının ne anlama
geldiğini bir örnek ile açıklamak isterim.
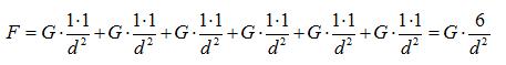
E
limizde birer kiloluk 5 adet
gülle olsun. Bunlardan üçünü tanesini
birbirine yapıştırarak m1 kütlesini ve diğer iki tanesini birbirine
yapıştırarak m1 kütlesini elde edelim. Bu iki kütle arasındaki çekim
kuvveti F=G.
(3x2)/d2 olacaktır. m1.m2 = 3x2 = 6
eder. Öncelikle kütlelerin çarpım sonucu olarak elde ettiğimiz 6
sayısının anlamı nedir? bunu anlatmaya çalışacağım. Daha sonrada iki
kütle arasındaki "d" mesafesine odaklanacağız.



Çekim
Kuvvetini bulmak için kütle miktarlarını birbirleriyle çarparak sonuca
ulaştık [1], ancak şimdi bu işi daha hassas bir şekilde yapalım:
m1 kütlesini oluşturan her bir güllenin, m2
kütlesindeki her bir gülle ile olan çekim kuvvetini hesaplayalım [2] ve
elde ettiğimiz sonuçları birbiriyle toplayalım ve çekim kuvvetini böyle
bulalım [3].
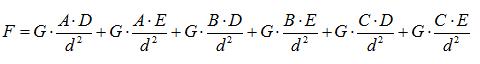
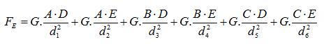
[1]
m1 kütlesi (A,B,C ) elemanlarından ve m2
kütlesi (D,E) elemanlarından oluşuyordu. Buradan hareketle ve mesafe
için ortalama mesafeyi kullanırsak eşitlik aşağıdaki gibi oluşur.
[2]
Aşağıda görüldüğü gibi elemanlar üzerinden hesapladığımız kuvvette de,
m1.m2 kütle çarpımı için aynı sonucu elde
ediyoruz. Buradaki örnekte elemanların kütleleri 1 birim idi.
[3]
Gerçekte m1 ve m2
kütlelerinin kaç elemandan oluştuğunun veya elemanlara ait kütle
değerlerinin ne olduğunun sonuç açısından bir önemi yoktur. Bunu
göstermek amacıyla aşağıdaki tabloyu hazırladım. Tabloda m1 kütlesinin
19 birim ve m2 kütlesinin 9 birim olduğu varsayılmıştır.
m1 ve m2'yi oluşturan elemanlara ise rastgele
kütle değerleri atanmıştır.
"m1.m2"
çarpımı 19x9=171 sonucunu verir. Tabloda görüldüğü gibi elemanların
birbiriyle çarpımlarının toplamı da 171'e eşittir. (Sarı bölgede yer
alan rakamların toplamı)

|
m1 kütlesi = 19 Birim, 9 Eleman |
||||||||
|---|---|---|---|---|---|---|---|---|
| A | B | C | D | E | F | G | H | I |
| 1,3 | 4,5 | 1,56 | 1,96 | 1,9 | 2,62 | 1,24 | 2,36 | 1,56 |
|
m2 kütlesi = 9 Birim, 6 Eleman |
||||||||
| J | K | L | M | N | O | |||
| 1,1 | 0,8 | 1,8 | 1,4 | 0,5 | 3,4 | |||
|
m1 . m2 = 9 × 19 = 171 |
||||||||
| J | K | L | M | N | O | |||
| A | 1,43 | 1,04 | 2,34 | 1,82 | 0,65 | 4,42 | ||
| B | 4,95 | 3,6 | 8,1 | 6,3 | 2,25 | 15,3 | ||
| C | 1,716 | 1,248 | 2,808 | 2,184 | 0,78 | 5,304 | ||
| D | 2,156 | 1,568 | 3,528 | 2,744 | 0,98 | 6,664 | ||
| E | 2,09 | 1,52 | 3,42 | 2,66 | 0,95 | 6,46 | ||
| F | 2,882 | 2,096 | 4,716 | 3,668 | 1,31 | 8,908 | ||
| G | 1,364 | 0,992 | 2,232 | 1,736 | 0,62 | 4,216 | ||
| H | 2,596 | 1,888 | 4,248 | 3,304 | 1,18 | 8,024 | ||
| I | 1,716 | 1,248 | 2,808 | 2,184 | 0,78 | 5,304 | ||
| SARI RENKLİ ALANDAKİ SAYILARIN TOPLAMI = 171 | ||||||||
Tablodan
anlaşılacağı üzere, Çekim Kuvveti veya Elektriksel Yük Kuvveti
açısından önemli olan, bir cisme ait elemanların diğer cisimdeki
elemanlara uyguladığı kuvvetlerin toplamıdır. Sonuç kuvvet bu toplamın
üzerinden oluşur. Doğanın işleyiş mekanizması bu şekildedir.
Madde atomlardan oluşmaktadır.
Dolayısıyla, bir kütleyi oluşturan
elemanlar atomlardır. (Daha alt seviyeye de inebiliriz, madde atomu
oluşturan parçacıklardan oluşur bile diyebiliriz, ama biz burada atom
ölçeğinde kalalım). Dünyanın kabaca 1.33*1050 atomdan Ay'ın
ise kabaca 1.33*1048
atomdan oluştuğunu varsayarsak ve dünyadaki her bir atomun, Ay'daki her
bir atoma çekim kuvveti uyguladığını düşünürsek doğanın ne kadar
çılgınca işler yaptığını görebiliriz. Kaldı ki rakamlar bu sadece dünya
ve ay içindir. Evrenin yaklaşık 1081 atomdan oluştuğu tahmin
edilmektedir. Buna göre her bir atomun aynı anda 1081 atoma
kuvvet uygulamakta olduğu sonucu ortaya çıkar.
Şimdi de aradaki mesafe konusuna odaklanalım. Elemanlar arasındaki
kuvveti gösterirken yukarıda ortalama mesafeyi kullanmıştım [4].
Açıktır ki, gerçek sonucu elemanlar arasındaki mesafeler kullanılarak
hesaplanan kuvvet verecektir [5].
[4]
[5]
Çekim Kuvveti denkleminde cisimlerin kütle merkezleri arasındaki mesafe
referans noktası olarak alınmıştır [6].
[6]

Elemanlarla yapılan hesaplamada
ise mesafeler çok daha hassas bir
şekilde dikkate alınacağı için eşitliğin doğruluğu o derece artacaktır.
Peki ama, her iki hesaplama için mesafeler dikkate alındığında, elde
edilen sonuçlar arasında bir fark var mıdır, varsa bu fark ne kadardır?
Bu sorunun cevabını bulmak için
özel bir program yazdım. Programda her
kütle için 9000 noktayı eleman olarak kullanarak gerekli hesaplamaları
yaptım. Hesaplamada elemanın kütleleri bir birim olarak kabul
edilmiştir. Sonucu aşağıdaki tabloda görebilirsiniz.



| m1 | 9000 | Birim | |
| m2 | 9000 | Birim | |
|
İşlem sayısı |
81000000 | ||
|
Not: Evrensel çekim sabiti (G) sabit çarpan olduğu için hesaplamalara dahil edilmemiştir.
|
|||
Hesaplanan Çekim Kuvvetleri |
||
|
d İki kütle merkezi arasındaki mesafe |
FN Evrensel Çekim Kuvveti
|
FE İki kütlenin elemanları arasındaki mesafeler yardımıyla hesaplanan kuvvet.
|
| 300 | 900 | 981,3608966 |
| 500 | 324 | 333,4265753 |
| 1000 | 81 | 81,56725952 |
| 10000 | 0,81 | 0,81005952 |
| 100.000 | 0,0081 | 0,00810001 |
| 1.000.000 | 0,000081 | 0,0000810000 |
|
10.000.000 |
0,0000081 | 0,0000008100000 |
|
100.000.000 |
0,00000081 | 0,0000000081 |
FN : Evrensel Çekim Kuvveti. Genel
formül ile hesaplanan kuvvet.
FE : İki kütlenin elemanları arasındaki mesafeler
yardımıyla hesaplanan kuvvet
Tabloda, görüldüğü üzere her
iki hesaplama yönteminde FN ve FE kuvvetleri için
uzak mesafeler aynı sonucu vermektedir. Gerçekte hiç bir zaman FN
= FE
olmaz. Fakat gördüğümüz gibi mesafe arttıkça, aradaki fark azalmakta ve
virgülden kaç hane sonra eşitliğin bozulduğu gibi önemsiz bir hale
dönüşmektedir.
Kütleler arasındaki mesafe
azaldıkça tam tersi bir durum söz konusudur. FN ve FE
kuvvetleri arasındaki farkın giderek açılmakta olduğunu ve FE
kuvvetinin giderek daha büyük değerlere ulaştığını görüyoruz. Doğal
olarak bu durumun varlığı Çekim Kuvvetine bakış açımızı
değiştirmelidir. Misal olarak, yıldızlara yakın yörüngelerdeki
gezegenlerin hareketlerin incelerken FN kuvvetini kullanarak
hesaplama yapmak ne derece doğrudur, düşünmek gerekir. Yıldız
birleşmelerinde de iş başında olan FE kuvveti olacaktır. Bu
tür analizlerde de FN yerine FE kuvvetini dikkate
almak gerekir. Terazinin üstüne çıkıp kilomuzu ölçerken de bize etki
eden kuvvet FE dir.
Yaptığım modelleme 2
boyutludur: Kütleler için kullandığım 9000 nokta ve
90002 = 81.000.000 işlem adedi ortalama bir fikir vermek için
yeterlidir. Çok daha fazla noktayla ve 3 boyutlu modelleme yapılarak
çok daha hassas bilgilere ulaşmak kanımca gerçek bir ihtiyaçtır.
Yukarıda size anlattıklarım benim
denkleminden çıkardığım sonuçlardır. Evrensel çekim kuvveti denklemi
elbette başka bilgilerde içermektedir. Mesela, "Niçin kuvvet uzaklığın
karesi ile ters orantılıdır?" Buna bir cevap veremiyorum. "G ile
gösterilen Evrensel çekim sabiti nedir?" Buna da cevap veremiyorum. Bir
müddet G sabiti üstünde çalışmıştım. Kayda değer bir bilgiye ulaştığımı
söyleyemem. Ancak saniye, kütle ve metre tanımlarının tamamen yapay
olarak üretildiğini düşünürsek bir takım varsayımlara
ulaşabiliyoruz.
Konumuz açısından burada anlatılanlar içinde önemli olan üç detay
vardır.
Bu kuvvetlerin etkileri sonsuz
mesafelere uzanmaktadır.
Toplam kuvvet elemanlar üzerinden
oluşmaktadır.
Bu kuvvetler engel
tanımamaktadırlar ve maddenin içinden geçebilmektedirler.
Bunları göstermek istedim. Konumuza dönelim.

