24.2.
GÖRÜNÜR ZAMAN ve EŞZAMANLILIK

Görünür Zaman için Mutlak
Zamandaki bu basitlik ve kesinlik yoktur. Tam tersine büyük bir karmaşa
ve şaşırtmaca vardır. Görünür Zamanda İmaj Objeler arasında zaman
birliğinin olmaması, Görünür Koordinatlar arasında konum birliğinin
olmaması, olay bilgisini taşıyan elektromanyetik dalgaların erişme
süresine ihtiyaç duyması, işin içinde hareket varsa (c+v)(c-v)
matematiğinin devreye girmesi bir olayın eşzamanlı gerçekleştiğini
söylemeyi son derece zorlaştırır. Bir gözlemci kendi gözlemine
dayanarak "A ve B kütleleri birbirleriyle çarpıştığı anda C ve D
kütleleri de birbirleriyle çarpışmıştır." derken, başka bir gözlemci
aynı olay için çarpışmaların aynı anda gerçekleşmediğini söyleyebilir.


Görünür
Uzay-Zamandaki eşzamanlılık çoğunlukla bir aldatmacadır. Sonuçta
olayların eş zamanlı olup olmadığı konusuna kesin karar verici Mutlak
Uzay-Zamandır. Doğru bilgiye ulaşmak ancak Görünür Uzay-Zamandaki
bilgilerden hareketle Mutlak Uzay-Zamana geçiş yaparak mümkün
olabilmektedir, ki bunun bir analiz ve hesaplama süreci gerektirdiğini,
birbirine göre hareketli çerçeveler söz konusu olduğunda (c+v)(c-v)
matematiğinin de olaya müdahil olduğunu ve gerekli hesapların nasıl
yapılacağını sırasıyla gördük.
24.3.
EŞZAMANLILIK VE AYNI YERDELİK KURALLARI

Elbette ki karşılaştığımız her
olay için, acaba bu Mutlak Uzay-Zamanda nasıl olmuştur diye düşünmemizi
gerektirecek bir durum söz konusu değildir. Burada biraz işin pratiğini
anlatmak istiyorum. Eşzamanlılık konusu kapsamında gerektiğinde
başvurabileceğimiz çok yararlı üç kural vardır.
Eşzamanlılık Kuralları :
1 - Bir olay yerine göre farklı hızlarda hareket eden gözlemciler, eğer
olay yerine eşit uzaklıkta iseler, her gözlemci olay yerinin farklı bir
anını görür.
2 - Bir olay yerine göre farklı hızlarda hareket eden gözlemciler, eğer
olayın aynı anını görüyor iseler, her gözlemcinin olay yerine olan
uzaklığı farklıdır.
3 - Bir olay yerine göre farklı hızlarda hareket eden gözlemciler için,
olay yerinin zaman akış hızı her gözlemci için farklıdır. |

Eşzamanlılık
kuralları ile kardeş olan bir de Aynı Yerdelik kuralları vardır. Aynı
Yerdelik kurallarını "Mesafede Birlik Kuralları" şeklinde de
adlandırabiliriz.
Aynı Yerdelik (Mesafede
Birlik) Kuralları:
1 - Bir olay yerine göre farklı hızlarda hareket eden gözlemciler, olay
yerine eşit uzaklıkta olduklarını görüyor iseler olay yerine eşit
uzaklıkta değillerdir.
2 - Bir olay yerine göre farklı hızlarda hareket eden gözlemciler olay
yerine eşit uzaklıkta iseler, olay yerini farklı uzaklıklarda görürler.
3 - Bir olay yerine göre hareket halindeki gözlemciler için, görmekte
oldukları olay yerinin koordinatları birbirlerine göre daima farklıdır.
|

Bütün bu
kurallar Mutlak Uzay-Zaman ile Görünür Uzay-Zaman arasındaki ilişkiyi
anlatan, özetleyen kurallardır. Bu kuralların matematiksel
eşitliklerini geçmiş bölümlerde kısım kısım gördüğümüz için burada
tekrar etmiyorum.



Yukarıdaki figür
Eşzamanlılık Kurallarından birincisini temsil ediyor. TV istasyonu
(olay yeri) bir röportaj yayınlamaktadır. TV istasyonuna göre farklı
hız ve yönlerde hareket eden referans sistemleri vardır. Eğer TV
istasyonuna olan uzaklıkları o an için eşit ise her referans sisteminin
televizyonda izledikleri görüntü diğerlerinden farklı olur.
Aşağıdaki figür ikinci kuralı
temsil ediyor. Referans sistemlerinin bir an için televizyonlarında
aynı kareyi gördüğünü düşünelim. Bu durumda her referans sisteminin TV
istasyonuna olan uzaklıkları farklı olacaktır.



Daha evvel de
belirttiğim gibi, yukarıdaki örneklerde gördüğümüz durumların sadece
haberleşme sinyalleri üzerinde gerçekleştiğini düşünmeyiniz. Çünkü
cisimlerin görüntülerini taşıyan elektromanyetik dalgalar da haberleşme
sinyalleri gibi aynı (c+v)(c-v) matematiğinin kurallarına tabidirler.



Bir tenis maçını
seyrettiğimizi düşünelim. Topu gördüğümüz noktayı merkez kabul edip,
kendimizden ve diğer seyircilerden geçecek şekilde r yarıçaplı bir
daire çizelim. Çember üzerindeki her seyirci topun hareketin farklı bir
"t" anını görmekte olacaktır. Şöyle ki bizim topu gördüğünüz noktada,
seyircilerin bir kısmı için top henüz o noktaya varmamıştır, diğer bir
kısmı da topun o noktaya vardığını sizden daha önce görmüştür. Bu
farklılığın kaç nano- saniye veya kaç nanometre olduğunun kural
açısından önemi yoktur. Referans sistemleri arasındaki hız ve mesafe
arttıkça, bu farklılık giderek belirginleşir. Önemli olan bizlerin bu
kuralların farkında olmamızdır.
Bir problem yaratarak gerçek
hayatta kuralların bazı sonuçlarını kolaylıkla görebiliriz. İki uzay
sondasının dünyaya göre 150.000 km/saat hızıyla hareket ettiğini
düşünelim. Birisi dünyaya yaklaşırken diğeri uzaklaşmakta olsun.
Dünyadan yapılan TV yayınını her iki sondadaki gözlemciler tarafından
izlediği varsayalım. Sondaların dünyaya eşit uzaklıkta oldukları andaki
bir durumu ele alıyoruz. Gözlemcilerin izlediği yayınlar arasında 5
saniyelik bir fark oluşması için sondaların dünyadan hangi uzaklıkta
olmaları gerekir?
Cevap: TV Sinyallerinin sondalara varma süreleri arasındaki fark 5
saniye olması gerekiyor. Buradan hareketle sondaların dünyaya olan
uzaklıklarını bulabiliriz.
= 5.349.733.102 kilometre = 35,7841
AU
c: ışık hızı: 299.792,458 km/sn, v: sondaların hızı = 150.000 km/saat =
42 km/sn



Hesaplama sonucunda çok büyük bir uzaklık çıktı. 35,78
AU gerçekten çok uzak bir mesafe, yaklaşık Plüton gezegeninin Güneşe
olan uzaklığı kadar bir mesafe.
(AU: Bir astronomik birim. Güneş'in merkeziyle Dünya'nın merkezi
arasındaki uzaklığı temel alan uzunluk birimidir ve 149,5 milyon
kilometreye denk gelmektedir.)
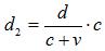
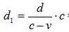
İkinci bir soru ile aynı örneğe devam edelim. Sondalardaki gözlemciler
bu anda dünyanın kendilerinden ne kadar uzaklıkta olduklarını görürler?
Cevap: Sondaların dünyaya olan uzaklığını hesapladığımıza göre,
sondalardaki gözlemcilerin dünyayı hangi uzaklıkta göründüğünü
bulabiliriz.
Dünyaya yaklaşan sonda için:
= 5.350.482.688 kilometre = 35,7892
AU
Dünyadan uzaklaşan sonda için:
= 5.348.983.726 kilometre = 35,7792
AU
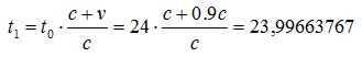
Şimdi daha ilginç bir soru soralım. Sondalarda bulunan gözlemciler için
dünyanın kendi ekseni etrafında dönüş süresi nedir?
Cevap: Dünya kendi ekseni üzerindeki dönüşünü 24 saatte
tamamlamaktadır, sondaların hızlarını da bildiğimize göre
hesaplayabiliriz.
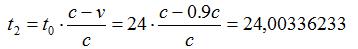
Uzaklaşan sondaya göre dünyanın kendi ekseni etrafındaki dönüş süresi:


23,99663767saat = 23 saat 59 dakika 47 saniye
Yaklaşan sondaya göre dünyanın keseni ekseni etrafındaki dönüş süresi:


24,00336233 saat = 24 saat 0 dakika 10 saniye
Yukarıdaki sorularda sondaların
hızları için baz aldığımız 150.000 km/h hız değeri günümüzde bile
ulaşılması zor bir hız değeridir. Buna rağmen Relativite Etkileri
bakımından çok ciddi farklılıkların oluşmadığını görüyoruz. Bu
etkilerin çok daha bariz bir şekilde oluşabilmesi için çok daha yüksek
süratlere ihtiyaç vardır. Aşağıdaki tablo sondaların hızları için 0.1c
- 0.9c arasındaki değerler baz alınarak, ancak 5 saniye yerine 1
saniyelik yayın kaymasının gerçekleştiği durum için hazırlanmıştır.
Sorular aynı sorulardır, cevaplar tablodadır. Hız arttıkça değerlerin
nasıl giderek çılgınlaştığını tabloda görebilirsiniz.
Sorular şunlar idi:
Her iki sonda dünyaya eşit uzaklıktadır.
1- Gözlemcilerin izlediği yayınlar arasında 1 saniyelik bir fark
oluşması için sondaların dünyadan hangi uzaklıkta olmaları
gerekir?
2- Sondalardaki gözlemciler bu anda dünyanın kendilerinden ne kadar
uzaklıkta olduklarını görürler?
3- Sondalarda bulunan gözlemciler için dünyanın kendi ekseni etrafında
dönüş süresi nedir?
Cevaplar tablodadır:
|
Hesaplamalar 1 Saniyelik Yayın Kayması İçindir
|
|
Sondaların hızları
|
|
c olarak
|
0,1c
|
0,2c
|
0,3c
|
0,4c
|
0,5c
|
0,6c
|
0,7c
|
0,8c
|
0,9c
|
|
km/sn
|
29.979
|
59.958
|
89.938
|
119.917
|
149.896
|
179.875
|
209.855
|
239.834
|
269.813
|
|
1 saniyelik yayın kaymasının oluştuğu anda sondaların
dünyaya olan uzaklığı
|
|
Kilometre
|
1.483.973
|
719.502
|
454.685
|
314.782
|
224.844
|
159.889
|
109.210
|
67.453
|
31.645
|
|
AU
|
0,00993
|
0,00481
|
0,00304
|
0,00211
|
0,00150
|
0,00107
|
0,00073
|
0,00045
|
0,00021
|
|
Dünyaya yaklaşan sondadaki gözlemciye göre dünyanın uzaklığı
|
|
Kilometre
|
1.648.859
|
899.377
|
649.550
|
524.637
|
449.689
|
399.723
|
364.034
|
337.267
|
316.448
|
|
AU
|
0,0110
|
0,0060
|
0,0043
|
0,0035
|
0,0030
|
0,0027
|
0,0024
|
0,0023
|
0,0021
|
|
Dünyadan uzaklaşan sondadaki gözlemciye göre dünyanın
uzaklığı
|
|
Kilometre
|
1.349.066
|
599.585
|
349.758
|
224.844
|
149.896
|
99.931
|
64.241
|
37.474
|
16.655
|
|
AU
|
0,0090
|
0,0040
|
0,0023
|
0,0015
|
0,0010
|
0,0007
|
0,0004
|
0,0003
|
0,0001
|
|
Gelen sondadaki gözlemciye göre dünyanın ekseni etrafındaki
dönüş süresi
|
|
Saat
|
21,6
|
19,2
|
16,8
|
14,4
|
12
|
9,6
|
7,2
|
4,8
|
2,4
|
|
Saat:Dakika
|
21:36
|
19:12
|
16:48
|
14:24
|
12:00
|
9:36
|
7:12
|
4:48
|
2:24
|
|
Giden sondadaki gözlemciye göre dünyanın ekseni etrafındaki
dönüş süresi
|
|
Saat
|
26,4
|
28,8
|
31,2
|
33,6
|
36
|
38,4
|
40,8
|
43,2
|
45,6
|
|
Saat:Dakika
|
26:24
|
28:48
|
31:12
|
33:36
|
36:00
|
38:24
|
40:48
|
43:12
|
45:36
|
Link