23. AÇI KAYMASI (ANGLE SHIFT) I. BÖLÜM
SİNYALİN YAYINLANMA AÇISININ DEĞİŞİMİ
![]()
Bir sinyalin varış hedefi eğer hareketli bir referans sistemi ise,
hedefin gidiş doğrultusuna bağlı olarak sinyalin yayınlanma açısı
değişir. Bu olayı "Açı Kayması" olarak adlandırdım.
![]()

![]()
Yukarıdaki figürde, uçak
(x1,y1,z1)
koordinatında iken, yerdeki istasyonun yayınladığı ve varış noktası
olarak uçağı hedefleyen bir sinyali ele alalım. Uçak t1
anında ve (x1,y1,z1)
koordinatında iken sinyal yola çıkıyor. Sinyalin varma süresi boyunca
uçak kendi gidiş doğrultusunda hareketine devam ediyor. Sonuçta sinyal
uçağa t2 anında ve (x2,y2,z2)
noktasında varıyor.
Eğer uçak hareket etmeseydi aynı sinyal uçağa (x1,y1,z1)
noktasında varacaktı. Ancak uçak hareket halinde olduğu için uçağa (x2,y2,z2)
noktasında varmaktadır. Düşünmeyi kolaylaştırmak için tek bir foton ile
düşünelim. Normalde sinyal (foton) (x1,y1,z1)
noktasına gidecek iken, bunun yerine (x2,y2,z2)
noktasına gidiyor. Böyle bir durumun olabilmesi için, uçağı hedefleyen
sinyalin yayınlanması esnasında yön değiştirmesi gerekir ki, sinyal
bunu gerçekten de yapar, yönünü değiştirir.
Sinyalin yön değiştirmesi, sinyalin yayınması esnasında ve sinyal
dalgaboyu değişimine paralel olarak eşzamanlı gerçekleşir. Sinyalin yön
değiştirmesinin sebebi aynıdır. Sinyal dalgaboyunun değişmesine neden
olan sebep her ne ise, aynı sebep sinyalin gidiş yönünü de
belirlemektedir. Figürde d1 ve d3 doğrularının
kesiştikleri noktada
birbirleriyle yaptıkları açı, vericinin referans sistemine göre
sinyalin gidiş açısındaki değişim miktarını verir.
Tekrar gibi olacak ama bir kez daha yazıyorum.
Figürdeki d3 doğrusu sinyal kulesinin referans sistemine
göre sinyalin gidiş doğrultusudur.
Figürdeki d1
doğrusu uçağın referans sistemine göre sinyalin geliş doğrultusudur.
(uçağın kendisini hareketsiz, sinyal istasyonunu hareketli kabul
edebildiğini hatırlayalım).
Açı Kayması olayı her zaman için gerçekleşir diye bir kural yoktur.
Eğer kaynak ve hedef referans sistemlerinin birbirine göre hareketleri
aynı doğru üzerindeyse (tek boyut üzerinde gerçekleşiyorsa) sinyalin
yayınlanma açısı değişmez. Bunun haricindeki bütün durumlarda Açı
Kayması gerçekleşir.
Dalgaboyu değişiminin mesafelere bağlı olarak ifade edilebildiğini
görmüştük.
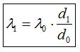
d0 :Alıcıya
göre GELEN sinyalin kat ettiği yol
d1: Vericiye göre GİDEN sinyalin kat ettiği yol
λ0 : Vericinin fabrika ayarındaki dalgaboyu
λ1 : Alıcıda ölçülen dalgaboyu
Dikkat edersek dalgaboyu değişiminin oluşabilmesi için eşitlikteki d0
ve d1 mesafelerin birbirinden farklı olması gerekir, bu
durum Açı Kayması olayının bir zorunluluk olduğunu kendiliğinden
gösterir.
![]()

![]()
Figürde
ufuk çizgisinden Z ekseni doğrultusunda sinyal kulesine doğru gelmekte
olan bir uçak görülüyor. Uçağın geliş rotasını kırmızı renkli çizgi
göstermektedir. Dikkat edersek sinyal kulesinin referans sistemine
göre, uçağın Z ekseni üzerindeki konumu azalırken, Y ekseni üzerindeki
pozisyonu sürekli olarak artmaktadır. Sinyal kulesine göre Uçağın
hareketini küçük Doppler Üçgenlerine ayıralım. Uçak A (x0,y6,z6)
noktasındayken sinyal kulesinden yola çıkan bir sinyalin uçağa B (x0,y5,z5)
noktasında vardığını varsayalım. Ardından uçak B (x0,y5,z5)
noktasındayken sinyal kulesinden yola çıkan bir sinyalin uçağa C (x0,y4,z4)
noktasında vardığını varsayalım. Görülüyor ki figürdeki örnek için Açı
Kayması açının büyümesi yönünde olmaktadır. Eğer uçağın hareketi aynı
doğru üzerinde ve uzaklaşma yönünde olsaydı Açı Kayması açının
küçülmesi yönünde olurdu.
Açı Kayması dinamik bir değişkendir. Referans sistemlerinin hız, yön ve
konumlarına bağlı olarak daimi bir değişim içindedir ve bir sinyalin
yayınlanması esnasında o sinyale ve o ana özel bir değerdir.

Açı Kayması fazlasıyla dikkate alınması gereken çok önemli bir etkidir.
Alice Yasasına özgü ve çok özel bir sonuçtur. Alice Yasası dışında hiç
bir teori bu durumun varlığını gösterebilme şansına sahip değildir. Açı
Kayması geleceğin fiziğini inşa eden, yol gösteren, teorik fiziğe yön
verecek olan en önemli argümanlardan bir tanesidir. Deneyle tespit
edilebilir bir etki niteliğinde olması önemini daha da artırmaktadır.
Açı Kayması konusuna üçüncü bölümde devam edeceğim.