21. ZAMAN
KAYMASI (TIME SHIFT)

Birbirine göre hareketli
cisimler arasındaki elektromanyetik etkileşimde dalgaboyunun değişmesi
Görünür Zamanın akışı hızını değiştirmektedir. Bu olaya Zaman Kayması
denir.
Daha evvelki çalışmalarımda
Zaman Kayması olayını farklı adlar altında (Zaman Uzaması, Zaman
Deformasyonu) ele almış ve yayınlamıştım. Ancak en iyi adlandırmanın
Zaman Kayması olduğunu düşünüyorum. Bu yeni adlandırmayla birlikte
Zaman Kaymasının, Doppler Kayması ile olan yakın ilişkisi de
vurgulanmış olmaktadır.
Kolunuzdaki saate baktığınızı
farz edelim. Bakarken eğer kolunuzu oynatırsanız, saatin size
gösterdiği zamanın akış hızı hemen değişecektir. Saati yüzünüzden
uzaklaştırırsanız saatinizin yavaş çalıştığını, yüzünüze
yaklaştırırsanız saatiniz hızlı çalıştığını görürsünüz. Bu değişimin
saatin mekanizması ile bir ilgisi yoktur. Saat aynı hızda
çalışmaktadır. Değişim saatin İmaj Objesi üzerinde gerçekleşir ve siz
saatin Kaynak Objesini değil saatin İmaj Objesini gördüğünüz için
saatin hızlandığını veya yavaşladığını görürsünüz. Tabi ki bu değişim
fark edemeyeceğiniz kadar küçüktür, mesafe çok kısa ve kolunuzun
hareketi çok yavaştır. Ancak bu değişim gerçekten de oluşur. Şimdi
mesafeyi ve hızları büyüterek Zaman Kaymasının nasıl oluştuğunu
detaylarıyla görelim.
Birkaç yüz kilometre öteden bir
saati gözlerimizle göremeyiz. Ancak şu şekilde bir yöntem
izleyebiliriz. Saati bir kameradan izleyelim ve saatin görüntüsünü
canlı yayın akışı olarak verelim. Bu şekildeki bir kurgunun kolumuzdaki
saate bakmaktan farkı olmayacaktır. Bu şekilde hareket halinde olsak
bile yüzlerce hatta binlerce kilometre öteden bir saati izleyebiliriz.
Canlı yayın vericisi olarak ve konuyu anlatmada kolaylık bakımından
fabrika ayarı 1 Hertz olan bir verici kullanalım. Böyle bir verici
saniyede bir dalgaboyu yayınlayacaktır. Böylesine düşük bir frekans
değeri saatin görüntüsünü iletebilmek için yetersiz kalacaktır. Ama
saate ait zaman bilgisini çok hassas bir şekilde
gönderebilecektir.
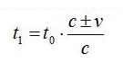
Aşağıdaki figürde sinyal
kulesinden üç farklı çerçeveye doğru giden saat sinyallerini görüyoruz.
Vericiden çıkan ve hareket halindeki uçaklara giden sinyallerin
dalgaboyları daha önce gördüğümüz gibi değişime uğrayacaktır. Uzaklaşan
uçağa doğru giden ve (c+v) hızıyla yola çıkan sinyallerin dalga boyu
uzayacak, Yaklaşan uçağa doğru giden ve vericiden (c-v) hızıyla yola
çıkan sinyallerin dalga boyu kısalacaktır.


Dalgaboyu
değişim miktarlarını Doppler eşitliklerinden yararlanarak kolaylıkla
hesaplayabiliriz, ancak konumuz zaman kayması olduğu için, dalgaboyu
değişimlerini bu kez zamana bağlı olarak ifade edelim. Dalgaboyu bir
mesafe değeridir. Mesafe, hız ve zaman arasında ise temel bir eşitlik
vardır.
Mesafe = Hız x Zaman
Dolayısıyla, vericiden çıkan sinyalin dalgaboyu uzunluğunu, yayınlanma
hızına ve yayınlanma süresine bağlı olarak yazabiliriz. Sinyale ait tek
bir dalgaboyunun yayınlanma süresini "t0" olarak kabul
edelim . Buna göre dalgaboyu uzunlukları aşağıdaki gibi oluşacaktır. Üç
eşitlik için de dalgaboyunun yayınlanma süresinin değişmeyeceğini
yayınlanma frekanslarının eşit olması sebebiyle zaten biliyoruz.
| Uzaklaşan uçağa giden sinyal dalga boyu |
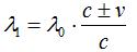
λ1 = (c +v). t0 |
| Dağdaki alıcıya giden sinyal dalga boyu |
λ0 = c. t0 |
| Yaklaşan uçağa giden sinyal dalga boyu |
λ2 = ( c -v). t0 |

Şimdi de, dalgaboyuna eşit uzunluktaki bir sinyalin
varma hedefinde ne kadar bir süre içinde alındığını yazalım. Gelen
sinyal hızı daima sabit ve "c" olduğuna göre dalgaboyunun alınma süresi
aşağıdaki gibi olacaktır.
| Uzaklaşan uçak için dalgaboyunun
alınma süresi |
t1 = λ1/c
= (c+v) . t0 /c |
| Dağdaki alıcı için dalgaboyunun
alınma süresi |
t0 = λ0/c |
| Yaklaşan uçak için dalgaboyunun
alınma süresi |
t2 = λ2/c
= (c-v) . t0 /c |
Aşağıdaki figürde yukarıda anlatılan durum
görülmektedir.



Görüyoruz ki,
bir sinyal eğer hareketli bir hedefe doğru gidiyor ise, sinyalin
dalgaboyunun kaynaktaki yayınma süresi ile sinyal hedefine vardığında
dalgaboyunun alınma süresi arasında bir fark oluşmaktadır. Bu farklılık
Zaman Kayması denilen olayının sebebidir. Zaman Kaymasını bir sinyalin
hedefe varması için geçen süre ile karıştırmamak gerekir. Zaman Kayması
İmaj Objedeki Görünür Zamanının akış hızını belirlemektedir. Öncelikle
yukarıdaki figürden yararlanarak Zaman Kaymasını veren aşağıdaki temel
eşitlikleri yazalım

| Dalgaboyunun alınma süresi |
= |
Sinyalin yayınlanma hızı |
|
|
| Dalgaboyunun yayınlanma süresi |
Işık hızı sabiti |
|

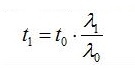
[1]

Dalgaboyu değişimi
[2] ile belirleniyordu.
[1]
ve [2] den yararlanarak, yukarıdaki eşitliği aşağıdaki şekilde
dalgaboyuna bağlı olarak da formüle edebiliriz.

[3]
t0 : Dalgaboyunun yayınlanma süresi
t1 : Dalgaboyunun alınma süresi
λ0 : Vericinin fabrika ayarındaki dalgaboyu
λ1 : Vericiden çıkan ve hareketli hedefe giden sinyalin
dalgaboyu
c : Işık hızı sabiti
v : Sinyali yayınlayan kaynak ile sinyalin varış hedefi arasındaki hız
farkı
c±v : Sinyalin yayınlanma hızı
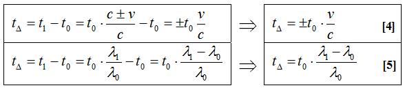
Zaman Kayması için aşağıdaki eşitlikleri elde etmiştik.
| Sinyal hızına
bağlı gösterim şekli

|
Dalgaboyuna
bağlı gösterim şekli

|

Dalgaboyunun
yayınlanma süresini ifade eden "t0" değeri Mutlak Zamanda Kaynak Objede
gerçekleşen olayın zaman bilgisini vermektedir ve Mutlak Zamanı temsil
eder. Dalgaboyunun alınma süresi "t1" gene Mutlak Zamanda
gerçekleşmekle birlikte, İmaj Objedeki zamanın akış hızını belirler ve
esasen Görünür Zamanı temsil eder. Her iki zaman arasındaki fark Zaman
Kayması miktarını verir.
| Zaman Kayması
Miktarı |
= |
Dalgaboyunun
alınma
süresi |
- |
Dalgaboyunun
yayınlanma süresi |
|
tΔ=t1-t0 | |
Matematiksel olarak bu eşitliğin ifadesi aşağıdaki gibi
olur:




Sağ üstte hızlara bağlı olarak
yazılan gösterimde, birbirinden uzaklaşan referans sistemleri için
eşitlik "+" , birbirine yaklaşan referans sistemleri için eşitlik "-"
değer alır. t
Δ değerinin pozitif çıkması Görünür Zamanın
akış hızının yavaşladığını, negatif çıkması hızlandığını gösterir.

Figüre dikkat edersek t
0
değeri dalgaboyuna bağlı olarak oluşan bir değerdir (t
0 = λ
0/c)
.
Dolayısıyla eşitliği herhangi bir dalga boyu için kullanabiliriz. Keyfi
olarak "λ
0/c = 1 saniye", hatta "λ
0/c = 1 saat"
şeklinde bir dalgaboyu hayal edebiliriz. Şunu demeye çalışıyorum: [4]
ve [5] numaralı eşitliklerde t
0 değeri için herhangi bir
zaman süresini kullanabiliriz. t
0 = 1 saniye olarak kabul
edersek, 1 saniyelik sürede oluşacak Zaman Kayması farkını bulmuş
oluruz.

Misal olarak 30.000 km/sn hızla
giden göktaşı için saniyedeki Zaman Kayması farkını hesap edelim. Işık
hızına yaklaşık 300.000 km/sn dersek,
Zaman Kayması Farkı = 1 . (30.000/300.000) = 0.1 saniye olacaktır.
Bu da dakikada 6 saniye yapar. Göktaşına bir saat koyup naklen yayın
ile dünyadaki bir ekrandan saati izlediğimizde, göktaşı bizden
uzaklaşıyorsa ekrandaki saat görüntüsünün dakikada 6 saniye geri
kaldığını, göktaşı bize yaklaşıyorsa dakikada 6 saniye ileri gittiğini
görürdük. Teleskopuyla o göktaşını dünyadan izleyen bir gözlemci
meteorda bir gaz fışkırması olayı gözlemlemiş olsun. Gözlemlediği bu
olayın zaman akış hızı dakikada 6 saniyelik bir farka tabi olacaktır.
Zaman Kayması bir filmi ağır çekimde veya hızlı çekimde izlemek
gibidir. Hareket halindeki cisimlerin İmaj Objeleri Zaman Kayması
olayını daima içlerinde barındırırlar.

Doğal olarak çıplak gözle Zaman
Kayması olayını görebilmemiz neredeyse imkansızdır, çünkü fark
edebileceğimiz bir olay için hızların çok yüksek olması gerekir. Giden
bir mermiyi gözlerimiz fark edemezken Zaman Kaymasını nasıl
gözlemlesinler? Ama haberleşme sinyalleri için bu durum söz konusu
değildir. Hassas cihazlar Zaman Kaymasını hemen tespit edebilirler.
Uydu haberleşmelerinde, yıldızlar arası seyahatlerde, hatta yüksek
hızlı uçaklar arasındaki haberleşmelerde Zaman Kayması bariz bir
şekilde ortaya çıkar.
21.1. MUTLAK ZAMAN VE GÖRÜNÜR ZAMAN ARASINDA ZAMAN
AKIŞ HIZI DÖNÜŞÜMLERİ

"Zaman Kayması Farkı"nda
anlatıldığı gibi, aşağıdaki eşitliklerde de t0 değeri yerine herhangi
bir zaman değeri koyarak zaman akış hızı değişim miktarını direk olarak
bulmamız mümkündür.



Misal verelim.
Bir İmaj Objede 20 dakika süren bir olayı izlemiş olalım. Bu olayın
Mutlak Zamanda (diğer bir deyişle Kaynak Objede yani gerçekte) ne kadar
zamanda gerçekleştiğini bulmak istiyoruz.
λ0 = 15nm, λ1 = 16nm olsun. (λ1> λ0
olduğu için Kaynak Obje uzaklaşmaktadır)
Burada t0 değerini arıyoruz . t0 = t1
. (λ0 / λ1) olacaktır.
t0 = 20 . (15 / 16) = 18.75 dakika = 18 dakika 45 saniye
Yukarıdaki hesaplamada görüldüğü
üzere, Mutlak Zaman ile Görünür Zaman arasındaki dönüşümleri aşağıdaki
şekilde formüle edebiliriz. Eşitliklerde t0 değeri Mutlak
Zamanı, t1 değeri Görünür Zamanı temsil etmektedir.




Dalgaboyu yerine, hız değerleri
kullanılarak yapılacak hesaplamalarda, çerçevelerin birbirine göre
hızlarını temsil eden "v" değerinin öncelikle hesaplanması gerekir. Bu
hesaplamanın nasıl yapılacağı daha evvel anlatılmıştı.
21.2.
GÖRÜNÜR ZAMANIN AKIŞ HIZININ SINIRLARI

Aşağıdaki tablo Görünür Zamanın
akış hızının teorisini göstermesi bakımından önemli bir tablodur. t
0=1
saniye kabul edilerek, t
1= t
0.(c±v)/c eşitliğinin
sonuçlarından üretilmiştir. Mutlak Zamandaki 1 saniyenin Görünür
Zamandaki karşılığını göstermektedir.




Görünür Zamanın akış hızı
üzerinde teorik olarak bir sınır yoktur. Tabloyu her iki yönde uzatmak
mümkündür. "v" değerleri için tablonun sağ tarafına +2c, +3c, +4c sol
tarafına -4c vs. ekleyerek bu genişlemeyi yapabiliriz. Tablonun dengeli
gözükmesi için onu bu şekilde hazırladım. Tablodaki "+v" hız değerleri
birbirine göre hareket halindeki iki cismin birbirinden uzaklaştığını,
"-v" hız değerleri iki cismin birbirlerine yaklaştığını ifade
eder.

Tabloda "Zaman Akış Hızı (sn)"
satırındaki "1" değeri iki cismin birbirine göre hareketsiz olduğu
durumu temsil eder. Bu durumda Mutlak Zamanın akış hızı, Görünür
Zamanın akış hızına eşittir. Bunun haricindeki her durum için Görünür
Zamanın akış hızı Mutlak Zamanın akış hızından farklıdır veya Görünür
Zamanın akış yönü tersinedir.

Zaman Akış Hızı satırındaki "0"
noktasının sağında kalan değerler Görünür Zamanın ileriye doğru
aktığını (ki bu zamanın normal akış yönüdür), solunda kalan değerler
Görünür Zamanın geriye doğru aktığını gösterir. Eğer iki cisim
birbirine doğru ışık hızından daha hızlı yaklaşıyorlarsa (-c hızının
aşılması durumu) Görünür Zamanın akış yönü tersine çevrilir. (Bir filmi
sondan başa doğru izlemek gibi).

Zaman Akışı Hızı satırında
"-1....1" aralığı içinde kalan değerler Görünür Zaman akışının
normalden hızlı olduğunu gösterir. Her iki yönden 0 değerine doğru
yaklaşıldıkça Görünür Zamanın akış hızı gittikçe artar. "0" noktası
civarında zaman akışı sonsuz hızla ilerler. "0" noktasına ulaşıldığında
ise Görünür Zamanın akış hızı tamamen durur. Bu özel durumda iki cisim
birbirine ışık hızıyla yaklaşmaktadır. Sinyalin gidiş hızı ile sinyali
gönderen cismin hızları birbirine eşit olduğu için, sinyal transferi
gerçekleşemez ve bunun sonucunda Görünür Zaman durur.

Zaman Akışı Hızı satırında
"-1....1 " aralığının dışında kalan değerler Görünür Zamanın akış
hızındaki yavaşlamayı gösterir. -1 den küçük değerlere doğru ve +1 den
büyük değerlere doğru ne kadar ilerlenirse Görünür Zamanı akış hızı o
derece yavaşlar. -1 değeri süre olarak 1 saniyelik zamanla aynıdır
ancak zamanın akış yönü geriye doğrudur.

Misal olarak; t1 değerleri için
+0.5 ile -0.5 değerlerini ele alalım. Bu değerler Mutlak Zamandaki bir
saniyelik sürenin, Görünür Zamanda yarım saniyede geçtiğini
gösterecektir. Bunlar birbirine eşit zaman akışı süreleridir. Ancak
birisinde Görünür Zaman ileri yönde, diğerinde geri yönde akmaktadır.
Görünür Zamanın akış hızı her iki durumda da hızlanmıştır.

Yaşantımız Zaman Akışı Hızı
satırında 1 değerinin bulunduğu noktada çok dar bir aralık içinde
geçmektedir. Pratikte erişebildiğimiz "v" hız değerleri ışık hızına
göre çok küçük kalması sebebiyle Görünür Zamanın akış hızı çok az
değişime uğrar ve ancak hassas cihazlarla tespit edilebilir.
21.3. ORADA
SAAT KAÇ?

A ve B birbirine göre hareket
halinde olan iki cisim olsun. Bütün cisimler gibi bu iki cisim de
hareketlerini Mutlak Uzay-Zaman içinde gerçekleştirmek zorunda
olduklarına göre, içinde bulunacakları zaman dilimi açısından bu iki
cismin Kaynak Objeleri arasında bir zaman farklılığının olması mümkün
değildir. Bu bakımdan, Mutlak Zaman cephesinden bakarak cevap vermek
son derece kolaydır. Eğer A'da saat 03:00:00 ise, B'de de saat 03:00:00
dır. Ne hızları, ne bulundukları uzay konumları, ne hareket yönleri,
ivmeli hareket edip etmedikleri, aradaki mesafenin bir kaç metre mi
yoksa yüzlerce ışık yılı olduğu mu, hiç bir şey bu senkronizasyonu
bozamaz.

Dolayısıyla "
Orada Saat Kaç?"
sorusu genelde şu şekilde bir anlam taşır: Bir gözlemci bir başka bir
yerdeki saatinin kaç olduğunu görür veya algılar? Bu da şöyle bir
durumu tarif eder:
Bir gözlemci, bir İmaj Objede saatin kaç olduğunu görür? Cevap vermemiz
gereken esas soru budur.

Kaynak Obje ve Hedef Obje
arasındaki mesafe ve sinyal hızı beraberce sinyalin varma süresini
belirlediğine göre, bu noktadan hareketle zamandaki gecikmeyi
hesaplayabilir ve İmaj Objenin hangi zaman dilimi içinde olduğunu
bulabiliriz. Kaynak ve Hedef Obje arasındaki mesafeyi sinyal hızına
böldüğümüzde elde edeceğimiz değer bize sinyalin varma süresini
verecektir. Yapacağımız iş, Mutlak Uzay-Zamanı temel alarak Görünür
Uzay-Zaman'a erişmek olacaktır. Burada zaten görmüş olduğumuz genel
kuralları özetleyeceğiz. Sinyalin hızı (c+v)(c-v) matematiğinin
kurallarına göre oluşacaktır.

Kaynak Obje ve Hedef Obje
arasında bir sinyalin varma süresi aşağıdaki gibidir.
Yalnız bu
eşitlik, kaynaktan yola çıkan bir sinyalin değil, hedefine varmış bir
sinyalin varış süresini gösterir.

| Sinyalin varış süresi tΔ |
= |
Kaynak ve Hedef arasındaki mesafe
|
x |
d
|
|
|
Sinyal hızı
|
(c±v)
|
|

Elde edilen tΔ
süresi bize zamandaki gecikme süresini verir. Mutlak Zamandan tΔ
süresini çıkardığımızda İmaj Objedeki saatin kaç olduğunu buluruz.
| İmaj Objede görülecek saat değeri = Mutlak Zaman - Sinyalin varış
süresi tΔ |
Mutlak Zaman için Kaynak Objeler
arasında zaman birliği olması sebebiyle, eşitlikte kendi saatimizin
değerini kullanabiliriz. (Saatimizin kaç olduğu algılamak için geçen
süreyi ihmal ediyoruz.)
| İmaj Objede görülecek saat değeri = Kendi saat değerimiz - Sinyalin
varış süresi tΔ |
Şimdi aşağıdaki figür yardımıyla
Kaynak Objeden yola çıkarak İmaj Objenin yerini ve İmaj Objedeki zamanı
tespit edelim. Kaynak Objenin "u" hızıyla gittiğini farz edelim ve bu
anda C noktasında olduğunu varsayalım. A noktasındaki gözlemci İmaj
Objeyi kendisinden d1 = c . tΔ kadar uzakta ve C
noktasının d2 = u . tΔ kadar gerisindeki B
noktasında görecektir. Kaynak Objenin B noktasında iken gönderdiği
sinyal, İmaj Objede saatin kaç olduğunu belirleyen sinyaldir. Sinyal A
noktasındaki gözlemciye vardığında, Kaynak Obje C noktasında, İmaj Obje
B noktasında olacaktır.



Figürde
görüldüğü gibi, bir "Doppler Üçgeni" oluşmuş durumdadır. Burada Mutlak
Uzay-Zamanı başlangıç noktası olarak ele aldık ve Görünür Uzay-Zamana
ulaşmak için kuralları uyguladık. Ama elbette ki pratikte bu kuralı bu
şekildeki bir sırayla uygulama şansımız yoktur. Çünkü Mutlak Uzay-Zaman
bizler için soyuttur. Buradaki örnekte de Hedef Objedeki gözlemci
Kaynak Objeyi B noktasında iken görmemektedir. Ancak tΔ
kadar bir süre geçtikten sonra B noktasında onun İmaj Objesini
görecektir.

Figürden çıkan
bir sonuç olarak şunu kolaylıkla diyebiliyoruz. Bir gözlemci, gördüğü
bir İmaj Objenin kendisine uzaklığını ışık hızı sabitine bölerek İmaj
Objedeki saatin kaç olduğunu kolaylıkla bulabilir. İmaj Obje
görülebilir olduğu için aradaki mesafede de genellikle ölçülebilirdir.
Bölüm sonucunda elde edeceği değer sinyalin varma süresidir. Gözlemci
bu süreyi kendi saat değerinden çıkartırsa, imaj objede saatin kaç
olduğunu bulacaktır.
Böylelikle hem Kaynak Objeden
hareketle, hem de İmaj objeden hareketle aynı sonuca ulaştık ve zaten
bu sonuca ulaşmamız gerekiyordu. Çünkü bir Doppler Üçgeninde tΔ
için aşağıdaki eşitlik vardır (yukarıdaki figürü baz alırsak).



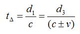
Bu eşitliği aşağıdaki gibi ifade edebiliriz:
| Sinyalin varma süresi tΔ |
= |
İmaj Objenin Uzaklığı |
x |
Kaynak Objenin Uzaklığı |
|
|
| GELEN sinyal hızı |
GİDEN sinyal hızı |

Final olarak "bir İmaj Objede saat kaçtır?" sorusunun cevabı şu
şekildedir:
| İmaj Objenin saat değeri |
= |
Mutlak Zaman değeri
|
- |
Sinyalin varma süresi tΔ
|

Bu eşitliğin pratikteki anlamı da aşağıdadır.
|
İmaj objenin saat değeri
|
=
|
Kendi saat değerimiz
|
- |
İmaj Objenin uzaklığı
|
|
|
Işık hızı sabi
|

Figür için son olarak Görünür Zamanın akış hızını da yazalım.
İmaj Objede Görünür Zamanın akış hızı ise saniyede t1= t0
. (c+v)/c kadar değişime uğramış durumdadır.