14. ALICE EŞİTLİKLERİ

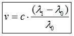
Doppler Kaymasında dalgaboyu değişiminin aşağıdaki gibi olduğunu
görmüştük:



[1]
λ0 = Dalgaboyunun fabrika ayarı
λ1 = Dalgaboyu değişimi
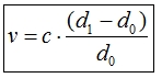
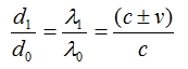
Mesafeler ve sinyal hızları arasındaki ilişkiyi de bu bölümde gördük:



[2]
d0 = Alıcıya göre GELEN sinyalin kat ettiği mesafe
c = Alıcıya göre GELEN sinyalin hızı
d1 = Vericiye göre GİDEN sinyalin kat ettiği mesafe
(c+v) = Vericiye göre GİDEN sinyalin hızı
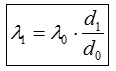
Dolayısıyla; [1] ve [2[ den [3] elde edilir.


[3]
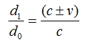
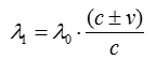
[3] üzerinden de aşağıdaki [4], [5] ve [6] eşitliklerini elde ederiz.
Bu eşitlikleri Alice Eşitlikleri olarak adlandırdım.
1) Dalgaboyunun mesafelere bağlı olarak değişimi:



[4]
2) v değerinin hesaplanma yöntemleri:


[5]


[6]