12. DOPPLER
KAYMASINDA FREKANS DEĞİŞİMİ

Birbirine göre hareketli
referans sistemleri arasında gerçekleşen elektromanyetik etkileşimde
bir sinyalin dalgaboyu nasıl değişiyorsa sinyalin frekansı da benzer
şekilde değişmektedir. Ancak burada önemli bir detay vardır, Frekans
Kayması sinyalin yayınlandığı kaynakta oluşmaz, bir Relativite Etkisi
olarak sinyali alan tarafta GELEN sinyal üzerinde gözlemlenir.



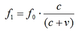
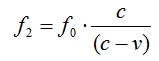
Figürde Frekans
Kayması durumu tasvir edilmiştir. Verici f0 frekansında
yayın yapmaktadır. Bu yayını dağdaki istasyon f0
frekansından, giden uçak f1 frekansından ve gelen uçak f2
frekansından alacaktır. Frekans Kayması aşağıdaki eşitliklerle ifade
edilmektedir.

|
Frekans Kayması |
|
Çerçeveler
birbirinden uzaklaşıyor![]() |
Çerçeveler
birbirine yaklaşıyor
|

Eşitliklerde bölüm işaretinin
altında yer alan (c+v) ve (c-v) ifadeleri sinyal kaynağının referans
sistemine göre hareketli hedeflere giden sinyallerin hızlarıdır. Burada
da aynı şarkıyı söylüyorlar. "Biz vericiden uçaklara giden
sinyallerin hızlarıyız. Biz vericiden uçaklara giden sinyallerin
hızlarıyız."
![]()
|
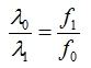
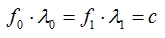
Alıcı ve verici tarafındaki frekans ve dalgaboyları arasında
eşitliği vardır.Frekans kayması konusu ilerde daha detaylı olarak tekrar karşımıza çıkacaktır. Şimdilik bu noktada bırakıyorum.

