Закон
Alice – Академическое сообщение

Han Erim
hanerim@gmail.com

11 апреля 2025 года

В электромагнитной теории существует недостаток знаний о
электромагнитном взаимодействии между объектами, находящимися в
относительном движении.
Известные
вещи в современной физике:
Пусть существует Источник, испускающий на длине волны
λ0 и с частотой ƒ
0. В соответствии с
механикой скорости волны, для светового сигнала, испущенного
Источником, справедливо уравнение [1]:


Если световой сигнал, испущенный Источником, идёт к движущемуся
Целевому Объекту, то длина волны сигнала изменилась. Длина волны
сигнала, измеренная на Целевом Объекте, согласно уравнению
Доплеровского смещения, становится
λ1
[2]:


Величина v в уравнении Доплеровского смещения — это относительная
скорость между Источником и Целевым Объектом. Знак "±" в уравнении
означает "+" если два объекта удаляются друг от друга, и "−" если
приближаются друг к другу.

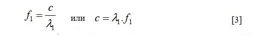
Частота сигнала, приходящего к Целевому Объекту с длиной волны
λ1 и скоростью c,
становится ƒ
1 в соответствии с механикой скорости волны [3]:


Неизвестные
вещи в современной физике:
Неизвестным моментом выше является где происходит изменение длины волны и цепочка событий, развивающаяся в зависимости от этого. В Доплеровском смещении изменение длины волны происходит в момент излучения сигнала. Изменение длины волны сигнала вызывает изменение скорости излучённого сигнала. В результате, согласно собственной системе отсчёта Источника, скорость сигнала, отправленного движущемуся Целевому Объекту, в соответствии с механикой скорости волны, становится отличной от скорости света [4]:


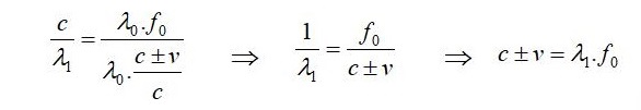
Получение уравнения [4] из уравнений [1] и [2]:


Величина
c ± v, содержащаяся в уравнениях, — это
скорость сигнала,
отправленного к Целевому Объекту в собственной системе отсчёта
Источника, и это очень чётко указано в Законе Alice [5]. Если Источник
и Целевой Объект движутся относительно друг друга, то эта величина
всегда
отличается от скорости света.


Таким образом, уравнение [3]
(c = λ1.ƒ1)
показывает, что электромагнитные волны
движутся со скоростью "c"
относительно своей цели прибытия.
Заключение:
Данная работа под названием «
Закон Alice» содержит всю информацию и
доказательства, необходимые для подтверждения изложенного здесь.

Среди физического сообщества необходимы люди, способные осознать
важность этого вопроса. Искренне надеюсь, что вы станете одним из них.

С уважением,
Han Erim
www.aliceinphysics.com