[Эта статья была написана с целью стимулирования проведения экспериментов по Закону Элис и была отправлена по почте в некоторые организации.]
Где и когда изменяется длина волны?
![]()
Han Erim
3 декабря 2018
![]()
![]()
Здесь я расскажу о вопросе, который определит будущее физики. Где
и когда происходит изменение длины волны? Это очень важный
вопрос, и на него пока не дан ответ. Как вам известно, если сигнал,
исходящий от источника, направляется к движущемуся объекту, его длина
волны изменяется. Этот эффект в физике называется Доплеровским
смещением. Да, длина волны изменяется, но где и когда? Я немедленно
отвечу на этот вопрос и покажу, к какому результату это приводит.
![]()
Изменение длины волны происходит в источнике сигнала и во время его
излучения.
![]()
На этот вопрос можно дать еще два ответа: "Изменение длины волны
происходит во время движения сигнала" и
"Изменение длины волны происходит в момент прибытия сигнала к цели".
Однако оба эти ответа крайне несостоятельны. Я не стану углубляться в
этот спор.
Важно то, что место, где происходит изменение длины волны, является
измеряемым явлением и должно быть определено экспериментальным путем.
Здесь я изложил свой ответ.
![]()
Посмотрите, к какому результату приводит тот факт, что изменение длины
волны происходит в источнике сигнала и во время его излучения:
![]()
Рассмотрим источник сигнала, излучающий с постоянной частотой. Скорость
сигнала, отправленного движущемуся объекту, согласно уравнению
скорости волны, определяется следующим образом:
![]()
Скорость сигнала = Частота передатчика × Измененная длина волны
![]()
Следовательно, скорость сигнала, направленного на движущийся объект,
всегда отличается от c.
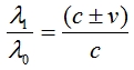
Доплеровское уравнение четко показывает, какова скорость сигнала,
движущегося к цели. Часть уравнения (c±v) представляет собой скорость
сигнала, движущегося к объекту.
![]()

![]()
Истинное значение изменения длины волны в уравнении Доплера таково:
![]()
|
Если мы также запишем скорость сигнала, приходящего к цели, мы сможем
кратко описать ситуацию для электромагнитного взаимодействия.
Используя уравнение Доплера, можно увидеть, что скорость сигнала,
направленного к цели, всегда остается постоянной и равной c.
Если объект-цель приближается к источнику сигнала со скоростью v, то
скорость сигнала, излучаемого источником, составляет (c-v),
следовательно, скорость сигнала для объекта-цели равна (c-v)+v=c. Если
объект-цель удаляется от источника сигнала со скоростью v, то скорость
сигнала (c+v)-v=c.
Таким образом, для объекта-цели скорость приближающегося к нему
сигнала всегда остается постоянной и равной c.
![]()
Следующая схема иллюстрирует описанную выше ситуацию.
![]()

![]()
В итоге, в физике не было проведено два критически важных измерения.
1. Скорость сигнала, направленного на движущийся объект, не была
измерена.
2. Не установлено, где именно происходит изменение длины волны.
![]()
Я не физик, но это не означает, что я не разбираюсь в физике, так же
как и то, что вы являетесь физиком, не означает, что вы полностью
владеете этой наукой.
Здесь я указал на огромный пробел в физике.
![]()
Не оставайтесь равнодушными к тому, что я написал, и не пытайтесь
обойти этот вопрос теоретическими ответами. Если вы поступите так, то
просто задержите раскрытие истины. И чем дольше вы будете откладывать,
тем более разрушительными и катастрофическими будут последствия для вас.
![]()
Этот вопрос уже стал частью истории физики. Какие организации и кто
проведут эти измерения? Теперь весь вопрос сводится именно к этому.
Ваша задача — внести вклад в организацию, которая решит эту проблему, и
возглавить процесс проведения измерений.
![]()
Когда измерения будут проведены и написанное здесь подтвердится, физика
освободится и вступит на новый путь. Что вас ждет на этом новом пути, я
подробно описал в своей книге "Алиса Закон – Переход к (c+v) (c-v)
математике в электромагнитной теории".
Эта книга — новая дорожная карта физики и отправная точка для всех.
Содержание книги доступно на веб-сайте aliceinphysics.com.
![]()
Я прошу вас провести эти два критически важных измерения и объявить их
результаты. Есть множество причин, по которым вы должны поддержать эти
измерения. Самый простой способ — подписать прилагаемое заявление и
передать его руководству.
![]()
Спасибо за вашу поддержку. С уважением.
![]()
Хан Эрим
![]()
![]()
![]()
Эта статья под названием "Где и когда изменяется длина волны?" была зарегистрирована в нотариальной конторе № 37 в Бейоглу, Стамбул, Турция, 4 декабря 2018 года под номером 22223.
![]()


