МАТЕМАТИЧЕСКОЕ ВЫВЕДЕНИЕ
УРАВНЕНИЙ ДОПЛЕРОВСКОГО СМЕЩЕНИЯ
![]()
Ноябрь 2018
Хан Эрим
![]()
Ни одна
электромагнитная волна, включая фотоны, не испускается мгновенно. Для
излучения требуется определенное время. Кроме того, электромагнитные
волны имеют длину, и для их описания мы используем их длину волны.
Опираясь на эти два свойства электромагнитных волн — необходимость
времени для излучения и их длину волны — можно математически вывести
уравнение Доплеровского смещения. В этом разделе я покажу вам этот
метод.
![]()
![]()
ВЫВЕДЕНИЕ УРАВНЕНИЯ
ДОПЛЕРОВСКОГО СМЕЩЕНИЯ
ДЛЯ РАСХОДЯЩИХСЯ КАДРОВ
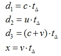
На схеме
показано, как самолет излучает электромагнитную волну, находясь между
точками A и B. Точка A — это начальная точка излучения волны, а точка B
— конечная точка излучения волны. Как видно из схемы, самолет передает
один цикл волны.

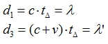
На схеме
используется специальный Доплеровский треугольник. Примем время
излучения сигнала самолетом за "t0". Мы будем
использовать этот параметр для определения длин сторон Доплеровского
треугольника.
![]()
Сначала вычислим нормальную
длину волны переданного сигнала:
![]()
![]()
(!..) Не ошибитесь, считая, что
длина волны сигнала равна расстоянию d2. Объясню так: если
вы возьмете магнит и за одну секунду проведете его вдоль своего тела по
форме буквы "S", длина электромагнитной волны, которую вы создадите,
составит триста тысяч километров.
![]()
Поскольку самолет передает
только один цикл волны, мы выбираем расстояние AO в Доплеровском
треугольнике, то есть длину d1, равной длине волны.
![]()
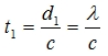
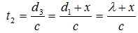
Рассчитаем время прибытия начала волны к наблюдателю:

Рассчитаем время прибытия конца волны к наблюдателю:
![]()
![]()
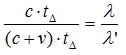
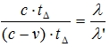
Рассчитаем разницу между временами прибытия:

Если бы самолет и наблюдатель
были в покое относительно друг друга, наблюдатель получал бы весь цикл
волны за t0. Но так как они движутся относительно друг
друга, за какое время наблюдатель получает полный цикл волны?
![]()
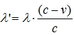
Приведенное выше уравнение дает длину волны сигнала, поступающего к
наблюдателю:
![]()
Мы также можем записать это выражение следующим образом:
![]()
![]()
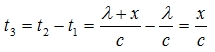
Теперь, используя свойства
Доплеровского треугольника, мы можем записать уравнения.
Сначала запишем уравнения Доплеровского треугольника для треугольника
OAB (tΔ=
t0):

![]()
Перепишем длины d1 и d3 через длины волн:

![]()
Разделим обе стороны уравнения:

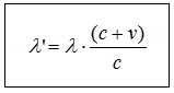
Здесь мы приходим к финальному результату. Это уравнение показывает
изменение длины волны при удалении объектов друг от друга.
![]()

![]()
![]()
ВЫВЕДЕНИЕ
УРАВНЕНИЯ
ДЛЯ ДОПЛЕРОВСКОГО СМЕЩЕНИЯ,
КОГДА ОБЪЕКТЫ СБЛИЖАЮТСЯ
![]()

![]()
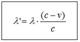
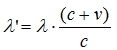
Здесь вычисления
аналогичны тем, что мы проводили ранее для случая (c+v). Поскольку
сходство велико, я не счел необходимым подробно их расписывать. Однако
изменилось расстояние OB.
, поэтому в
последующих вычислениях знаки плюса и минуса меняются местами.
![]()
На следующем этапе длина волны сигнала, приходящего к наблюдателю,
вычисляется как
.
После подстановки значений из Доплеровского треугольника получается:
.
![]()
Таким образом, финальное уравнение показывает изменение длины волны,
когда объекты приближаются друг к другу.
![]()

![]()
![]()
Что такое
релятивистский Доплеровский сдвиг?
![]()
Раз уж возникла такая
возможность, хотел бы коснуться этой темы. Как следствие Теории
Относительности, в физику было искусственно введено множество
уравнений, которые используются по сей день. Уравнение релятивистского
Доплера — одно из таких. Релятивистский Доплер — это вымышленное
понятие, не имеющее никакого отношения к реальности. Закон Элис
устранил как Теорию Относительности, так и его следствие —
релятивистский Доплеровский эффект.