СМЕЩЕНИЕ СКОРОСТИ (SPEED SHIFT)
![]()
Хан Эрим
Сентябрь 2018
![]()
Обновление: 8 декабря 2023
![]()
![]()
Одним из эффектов релятивистской теории является "СМЕЩЕНИЕ
СКОРОСТИ".
Смещение скорости означает разницу между скоростью Источника и
Образа. Это важный релятивистский эффект. Когда речь идет о высоких
скоростях, этот эффект становится крайне важным и его необходимо
учитывать.
![]()
Поскольку Источники невидимы, скорости, полученные с помощью визуальных
измерений, относятся к Образам. Поскольку скорость Образа отличается от
скорости Источника, визуальные измерения не дают реальной скорости
объекта (Источника). Для нахождения истинной скорости объекта
необходимо внести коррекцию в наблюдаемое значение.
![]()
Используя три последовательные фазы одного и того же события,
представленные на фигурах 1, 2 и 3 ниже, я покажу вам, как и почему
происходит Смещение Скорости.

В данном случае есть наблюдатель и самолет, движущийся
с определенной скоростью.
Рассмотрим ход события, начиная с Фигуры 1.
![]()
Фигура 1:
![]()
Самолет (Источник) движется по направлению AC со скоростью "u".
Рассматриваем сигнал (Сигнал_1), который испущен, когда самолет
находится в точке A,
и направляется к наблюдателю.
Сигнал_1 будет двигаться вдоль линии d0 и достигнет
наблюдателя.
![]()
Фигура 2:
![]()
Когда сигнал достигает наблюдателя, самолет (Источник) уже находится в
точке B.
Наблюдатель видит самолет (Образ) в точке A в момент получения сигнала.
Обратите внимание, что точки O, A и B образуют Доплеровский треугольник.
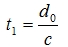
Запишем время, за которое сигнал, испущенный из точки A, достиг
наблюдателя:
![]()
![]()
[1]
Вычислим расстояние d1:
![]()

[2]
u:
Скорость самолета (Источник)
Вычислим расстояние d2:
Так как треугольник OAB является Доплеровским треугольником, можем
записать следующее уравнение [3]:
![]()

[3]
В уравнении [3] "v" обозначает скорость относительного сближения или
удаления двух систем отсчета (наблюдателя и самолета). Не путайте
значение v со скоростью самолета.
(Знак ±: если Образ и Источник удаляются друг от друга, знак "+", если
сближаются — знак "-").
![]()
Вы можете задаться вопросом: "Как треугольник OAB может быть
Доплеровским треугольником, если сигнал исходит от самолета?" Позвольте
мне пояснить этот момент.
![]() |
На приведенной справа схеме показана красная
линия d2,
которая параллельна черной линии d2 и имеет ту же длину.
Представим, что эта линия связана с самолетом и движется вместе с ним.
Это и есть траектория, по которой сигнал будет двигаться к наблюдателю в
системе отсчета самолета. Обратите внимание, что когда самолет достигает точки B, красная линия d2 и черная линия d2 совпадают, и сигнал достигает наблюдателя. Следовательно, для определения длины линии d2 можно использовать время прибытия сигнала. Длина линии d2:
(c±v) обозначает скорость сигнала, движущегося к наблюдателю в системе отсчета самолета. |
![]()
Возвращаемся к основной фигуре. Для удобства отслеживания рассмотрим еще раз Фигуру 2.

Фигура 2 продолжение:
![]()
Рассмотрим другой сигнал (Сигнал_2), испускаемый из самолета (Источник)
в момент прибытия Сигнала_1 к наблюдателю в точке B.
![]()
Фигура 3:
![]()
Когда Сигнал_2 достигает наблюдателя, двигаясь вдоль линии d2,
наблюдатель видит самолет (Образ) в точке B.
В этот момент самолет (Источник) находится в точке C.
Обратите внимание, что треугольник OBC также образует Доплеровский
треугольник.
Определим время, за которое Сигнал_2, испущенный из точки B, достигнет
наблюдателя:
![]()

[4]
Таким образом, у нас есть все данные, необходимые для вычисления
скорости Образа.
![]()
Расчет скорости Образа:
![]()
Если мы определим, за какое время Образ преодолел расстояние d1,
мы сможем вычислить его скорость. Разница во времени между прибытием
Сигнала_1 и Сигнала_2 к наблюдателю даст нам информацию о том, за
сколько времени Образ преодолел расстояние d1. Эта разница
выражается следующим образом:
![]()
|
Подставим значения:
![]()
![]()
[5]
(Для расчета времени преодоления самолетом расстояния d1 я
использовал d0/c вместо d1/u, так как d1/u
= d0/c)
| Разница во времени прибытия
Сигнала_1 и Сигнала_2 к наблюдателю |
= | Время, за которое Образ преодолевает расстояние d1 относительно наблюдателя |
![]()
В итоге, Образ преодолевает расстояние d1 за
времени.
![]()
Расчет скорости Образа
Обозначим скорость Образа как u':
. [6]
Для Источника справедливо уравнение:
. [2]
Используя [6] и [2], можем записать следующее уравнение:
![]()
![]()
[7]
и отсюда получаем [8]:
![]()

[8]
Поскольку OAB является Доплеровским треугольником, ранее мы записали
уравнения [1] и [3]:
![]()
![]()
[1]
![]()
![]()
[3]
Подставляя эти значения в [8], получаем:
![]()

[9]
Таким образом, мы получаем окончательное уравнение [10], описывающее
отношение между скоростью Образа и скоростью Источника. Связь между
скоростью Образа и скоростью Источника выражается следующим уравнением:
![]()

[10]
u : Скорость Источника.
u' : Скорость Образа.
c : Скорость света (константа).
v : Скорость относительного удаления/сближения Источника и Наблюдателя.
![]()
Конечно, истинную скорость объекта представляет скорость Источника.
Поэтому, чтобы определить истинную скорость наблюдаемого объекта,
необходимо использовать следующее уравнение:
![]()
![]()

[11]
Кроме того, уравнения [10] и [11] можно интерпретировать следующим
образом:
![]()
|
Обратим внимание на следующий момент:
Скорость Источника — это скорость, действительная в Абсолютном
Пространстве-Времени.
Скорость Образа — это скорость, действительная в Видимом
Пространстве-Времени.
Следовательно, будет правильным ввести понятия "Абсолютная Скорость" и
"Видимая Скорость".
![]()
Абсолютная Скорость: Скорость объекта (Источника) в Абсолютном
Пространстве-Времени.
![]()
Видимая Скорость: Скорость объекта (Образа) в Видимом
Пространстве-Времени.
Благодарю вас за прочтение.
С уважением,
Хан Эрим

