ЧТО ОЗНАЧАЕТ ИЗМЕНЕНИЕ ДЛИНЫ ВОЛНЫ?
Han Erim
Июнь 2018
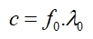
ЗАВОДСКАЯ НАСТРОЙКА ПЕРЕДАТЧИКА СИГНАЛА:
Скорость сигнала = частота × длина волны
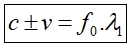
ДОПЛЕРОВСКИЙ СДВИГ И ИЗМЕНЕНИЕ ДЛИНЫ ВОЛНЫ:
![]()
В приведенном выше уравнении Доплера (c+v) обозначает скорость сигнала относительно системы отсчета передатчика. Это утверждение многократно повторяется в книге.
Используя два уравнения выше, получаем следующее
равенство.
![]()
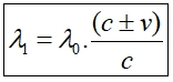
ОТНОСИТЕЛЬНО ИСТОЧНИКА СИГНАЛА:
СКОРОСТЬ СИГНАЛА, НАПРАВЛЕННОГО К
ДВИЖУЩЕЙСЯ ЦЕЛИ:
Скорость сигнала = Частота передатчика × Изменённая длина волны
![]()

ЗНАЧЕНИЕ ИЗМЕНЕНИЯ ДЛИНЫ ВОЛНЫ:
|