баннер
35.
ЭКСПЕРИМЕНТЫ, СВЯЗАННЫЕ С ЗАКОНОМ АЛИСЫ
Математика (c+v)(c-v)
предоставляет нам огромные возможности для понимания фундаментальной
структуры нашей Вселенной. Закон Алисы способен устранить множество
вопросов, ожидающих ответа.
Существует множество
экспериментов, которые необходимо провести в связи с математикой
(c+v)(c-v). Причем многие из них имеют жизненно важное значение. Я даже
не говорю о давно ожидаемом измерении скорости сигнала, движущегося к
подвижной цели. Существуют и другие эксперименты, например:
Логически
очевидно, что изменение длины волны происходит на источнике, однако
необходимо экспериментально подтвердить, что это изменение происходит
независимо от расстояния и одновременно. Это чрезвычайно важный вопрос.
Если в этом не будет полной уверенности, и не будет экспериментального
доказательства, то развитие последовательных теорий, касающихся силы
гравитации и электростатического взаимодействия, станет невозможным.
Конечно, такие теории можно разрабатывать, но невозможно будет быть
уверенным в их достоверности.
Определение скорости ПРИНЯТОГО
сигнала относительно системы отсчета, движущейся с ускорением, имеет
огромное значение. Этот эксперимент мог бы быть проведен даже в рамках
общей физики, но по какой-то причине до сих пор не был осуществлен. Это
несложное измерение.
Необходимо определить скорость
ИСХОДЯЩЕГО сигнала, передаваемого из неподвижной системы отсчета к
объекту, движущемуся с ускорением. Только данные, полученные в
результате такого измерения, могут способствовать развитию математики
(c+v)(c-v).
Следует понять, каким образом
формируется эффект Доплера между системами отсчета, движущимися с
ускорением относительно друг друга. В настоящее время у нас
недостаточно информации по этому вопросу.
Необходимо определить, вызывает
ли сила гравитации Доплеровский сдвиг. Следует отметить, что в 1959
году был проведен эксперимент (Pound-Rebka experiment), но его
результаты анализировались в рамках теории относительности. Этот
эксперимент необходимо повторить, основываясь на математике (c+v)(c-v).
Формулы Доплеровского сдвига для
вращательного движения следует пересмотреть с учетом математики
(c+v)(c-v). Теоретические предположения необходимо проверить
экспериментально.
Следует провести измерение
"Смещения Байта" и подтвердить его экспериментально.
Необходимо определить,
изменяются ли длины волн электромагнитных сигналов, поступающих на
космический зонд от звезд, параллельно его ускорению. Информация,
полученная в результате такого измерения, может оказать колоссальное
влияние на фундаментальные физические теории, но в настоящее время у
нас ее нет.
Необходимо
проводить подобные эксперименты, чтобы получить результаты, на
основании которых теоретики могли бы размышлять, находить новые
направления и разрабатывать идеи.
"Как формируется Доплеровский
сдвиг в ускоренных движениях и вращательном движении в соответствии с
математикой (c+v)(c-v)?" Я хотел бы рассмотреть этот вопрос в данной
книге. Однако из-за отсутствия проверенных и достоверных уравнений я не
включил этот материал. Конечно, у меня есть некоторые идеи и
исследования по поводу того, как должна формироваться математика
(c+v)(c-v) в подобных движениях. Однако такие исследования приобретают
ценность только тогда, когда они подтверждаются результатами измерений.
Поэтому я не включил их в эту книгу.
| Источник всех ошибок в физике –
отсутствие измерения скорости сигнала, передаваемого движущейся системе
отсчета. |


Физики, эти слова обращены к вам,
В прошлом было принято решение, что "Скорость света одинакова во всех
системах отсчета" без проведения всех необходимых измерений. Это
решение является ошибочным. Возможно, вы никогда не задумывались об
этом, возможно, не осознавали этого. В физике такие ситуации вполне
нормальны. Важно то, что вы будете делать сейчас. Теперь, когда
ПРЕДУПРЕЖДЕНИЕ представлено во всей своей очевидности, проигнорируете
ли вы его, или же поступите как настоящий ученый?
Я осуждаю всех, кто не поднимет голос в поддержку необходимости
проведения этого измерения.
Заранее выражаю свою искреннюю благодарность всем, кто поддержит
проведение измерения, тем, кто осуществит его, и всем, кто так или
иначе внесет свой вклад.
Хан Эрим


|
35.1.
ЭКСПЕРИМЕНТ ПО ИЗМЕРЕНИЮ СКОРОСТИ ИСХОДЯЩЕГО СИГНАЛА

Теоретически этот эксперимент
крайне прост. Мы отправляем сигнал из неподвижной системы отсчета в
инерциальную систему отсчета и измеряем, за какое время он достигает
цели. Измерение времени производится со стороны передающего сигнала.

На практике проведение этого
измерения, безусловно, сопряжено со значительными трудностями, но не
должно быть невозможным. Преодоление этих трудностей является
техническим вопросом.

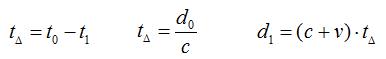
При рассмотрении приведенного выше рисунка;
Согласно существующей электромагнитной теории и теории относительности,
результат должен быть следующим:
Согласно Закону Алисы, результат должен быть следующим:
__________________________
t
0: Момент излучения сигнала
t
1: Момент прибытия сигнала
t
Δ: Время распространения сигнала
d
0: Расстояние до цели в момент излучения сигнала
d
1: Расстояние до цели в момент прибытия сигнала
v: Скорость B относительно системы отсчета A
c: Постоянная скорость света
c+v: Скорость сигнала согласно Закону Алисы
35.2.
ЭКСПЕРИМЕНТ ПО ОПРЕДЕЛЕНИЮ УГЛОВОГО ОТКЛОНЕНИЯ

Закон Алисы также указывает на
необходимость проведения некоторых уникальных экспериментов. Эти особые
эксперименты предсказывают настолько необычные результаты, что их
невозможно объяснить ни одной из существующих теорий. Эксперимент по
угловому отклонению – один из таких экспериментов. Он предназначен для
определения, изменяется ли направление света в зависимости от движения
цели.

У меня давно есть идея
проведения этого эксперимента, и я хочу рассказать о ней здесь.
Конечно, можно использовать и другие методы, а также разные установки.

Эксперимент основан на освещении
лазерным источником вращающегося диска. Результаты фиксируются путем
определения того, в какую точку диска попадает свет при его
неподвижности и вращении.
Согласно существующей электромагнитной теории и теории
относительности, результат должен быть следующим:
Независимо от
того, вращается диск или нет, свет будет двигаться по линии d0
и достигнет диска. Угловое отклонение невозможно.
Согласно Закону Алисы, результат должен быть следующим:
При вращении диска должен
образоваться треугольник Доплера.
В результате
углового отклонения свет, движущийся к диску, будет следовать линии d2
вместо линии d0.
Величина углового
отклонения будет увеличиваться пропорционально скорости вращения диска.
35.3. ЭКСПЕРИМЕНТ СМЕЩЕНИЯ БАЙТА
Этот эксперимент можно провести разными способами. Поэтому я не предлагаю никакого шаблона.
Согласно существующей электромагнитной теории и теории относительности, результат должен быть следующим:
Для явления Смещения Байта не было разработано никаких предсказаний. Однако, поскольку эти теории основаны на предположении,
что скорость света является постоянной во всех системах отсчета, можно
сказать, что согласно этим теориям Смещение Байта не происходит.
Согласно Закону Alice, результат должен быть следующим:
Смещение Байта – это эффект,
возникающий на сигналах связи как естественный результат существования
в природе (c+v)(c-v) математики.
Это явление детально объясняется в книге. Проведенный эксперимент подтвердит Закон Alice.
35.4.
ЭКСПЕРИМЕНТ ПО ИЗМЕНЕНИЮ ДЛИНЫ ВОЛНЫ НА БОЛЬШОМ РАССТОЯНИИ

Эксперимент основан на измерении
длины волны света, поступающего от звезды к космическому зонду.
Космический зонд разгоняется в направлении звезды, и в результате этого
ускорения проверяется, изменяется ли длина волны света, поступающего от
звезды к зонду.

Согласно Закону Алисы, поскольку
изменение длины волны происходит на источнике, свет с измененными
длинами волн в результате Доплеровского сдвига достигнет космического
зонда только через сотни тысяч лет. Так как зонд будет измерять свет,
который вышел в путь сотни тысяч лет назад, измеряемая длина волны не
должна изменяться, несмотря на ускорение зонда. Если будет получен
такой результат, это станет доказательством того, что Доплеровский
сдвиг происходит на источнике. Дополнительно, как описано в этой книге,
будет получено мощное доказательство того, что свет движется внутри
полей.

В качестве цели эксперимента
можно выбрать звезду типа пульсара, в этом случае основой измерения
будет частота пульсара. При ускорении космического зонда измеряемая
частота не должна изменяться.
На мой взгляд, этот эксперимент является одним из самых важных в
истории физики, и его результаты окажут глубокое влияние на все
физические теории.
Ссылка