34. СМЕЩЕНИЕ
ПОТОКА ИЗЛУЧЕНИЯ

Определение радиации или
излучения — это испускание или передача энергии в виде электромагнитных
волн или частиц. Поток излучения — это энергия электромагнитного
излучения в единицу времени. Поток излучения не ограничивается только
видимым светом, а охватывает весь электромагнитный спектр. Чтобы не
углубляться в тему, здесь я ограничусь рассмотрением источников света,
таких как солнце или лампа, которые излучают фотоны хаотично и
независимо. Испускание фотонов происходит в виде передачи
электромагнитных волн в независимых пакетах энергии.
Наша тема касается влияния
математики (c+v)(c-v) на поток излучения электромагнитных волн. Я не
рассматриваю излучение частиц с массой, таких как альфа- и
бета-излучение, поскольку из-за их массы маловероятно, что эти частицы
будут вести себя в соответствии с математикой (c+v)(c-v).
Если рассматривать поток
излучения с точки зрения источника света, это мера количества фотонов,
излучаемых в единицу времени. Если рассматривать его с точки зрения
цели, то это мера количества фотонов, принимаемых в единицу времени.
Энергия, переносимая фотонами, является вторичным фактором,
определяющим поток излучения. В конечном итоге, смещение потока
излучения — это эффект, возникающий в результате изменений в количестве
фотонов и их энергии при электромагнитном взаимодействии между
движущимися друг относительно друга телами, и этот эффект напрямую
связан с математикой (c+v)(c-v).
Изменение потока излучения
источника возможно только в результате изменения физических условий
самого источника. Такие явления, как вспышки на Солнце, или изменение
напряжения, подаваемого на лампу, естественно, могут изменить поток
излучения источника. Здесь мы будем рассматривать поток излучения с
точки зрения объекта, принимающего свет.
Ранее в разделе "Энергия фотона"
мы видели, что количество световой энергии, принимаемой системой
отсчета, движущейся относительно источника света, изменяется в
зависимости от направления движения. Это изменение в световой энергии
обусловлено не только изменением длины волны (а значит, и энергии), но
также увеличением или уменьшением количества принимаемых фотонов.
Чтобы понять, как происходит
смещение потока излучения, можно воспользоваться примером "Смещения
байтов". Если представить, что каждая буква в сообщении "HELLO WORLD"
представлена отдельным фотоном, это сразу даст нам необходимое
понимание.



Мы видели, что
длина сообщения, поступающего к самолетам и горной станции, различается
для каждой из трех систем отсчета. Поскольку скорость ПРИНЯТОГО сигнала
не изменяется для целевой системы отсчета, каждое из трех
местоположений получит разное количество фотонов за один и тот же
промежуток времени. В результате поток излучения для каждой системы
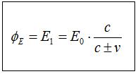
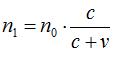
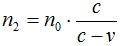
отсчета будет разным. Предположим, что сигнальная башня излучает "n0"
фотонов в секунду для каждой из точек прибытия. В этом случае горная
станция примет n0 фотонов в секунду,
самолет, удаляющийся от башни, получит
,
а самолет, приближающийся к башне, получит
фотонов в секунду.
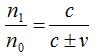
Для определения изменения энергии воспользуемся частотой. Изменение
количества испускаемых или принимаемых фотонов "n" очень похоже на
изменение частоты.



Исходя из того,
что в направлении цели в секунду отправляется "n0" фотонов,
а "n1" фотонов достигает цели, если перемножить обе стороны
уравнения, то можно найти общий эффект, который создадут "n1"
фотонов с частотой f1 в точке прибытия. Это приводит нас к
первичному уравнению потока излучения. Это уравнение в контексте
математики (c+v)(c-v) показывает общий принцип: в нем одновременно
учитываются как изменения частоты (и, следовательно, длины волны
фотона), так и изменения количества фотонов.



Перемножив уравнение с постоянной Планка, можно
определить изменение энергии в потоке излучения.



Конечно, для
использования этого уравнения необходимо знать количество фотонов.
Однако с точки зрения нашего анализа это не имеет значения. Основной
целью было показать, как математика (c+v)(c-v) влияет на процесс. Кроме
того, количество фотонов можно исключить из расчетов. Уравнение
смещения потока излучения можно упростить следующим образом:
, если подставить это выражение в
предыдущее уравнение, то получится общее уравнение.



Уравнение,
показывающее величину смещения потока излучения,
, описывает изменение светового
потока, которому подвергается система отсчета, движущаяся относительно
источника.
Смещение потока излучения можно
резюмировать следующим образом:
Смещение потока излучения происходит на источнике, как и изменение
длины волны, но его эффект проявляется в точке прибытия. Если система
отсчета движется относительно источника света, это либо увеличивает,
либо уменьшает интенсивность поступающего от источника света. Иными
словами, изменяется плотность фотонов, которые достигают системы. Это
изменение плотности фотонов происходит во время излучения света. Однако
для того чтобы фотоны проявили свои эффекты, они должны преодолеть
расстояние между источником и целью. Следовательно, смещение потока
излучения не является мгновенным эффектом, зависящим от изменения
скорости; оно проявляется только после прохождения пути до цели.
Объяснить это на примере будет
проще. Представим, что мы отправляемся в другой звездный системы,
расположенный в четырех световых годах от нас, со скоростью половины
скорости света. Изменение потока излучения света от звезды для нашего
космического корабля начнется ровно через четыре года, когда корабль
достигнет середины пути. Только тогда экипаж начнет замечать изменение
длины волны света, поступающего от звезды. В этот момент поток
излучения, достигающий корабля, также изменится.
34.1. СВЕТОВАЯ СИЛА, РАССТОЯНИЕ И (C+V)(C-V) МАТЕМАТИКА
Известно, что световая сила
изменяется в зависимости от расстояния. По мере удаления круга от
источника света количество света, проходящего через круг за единицу
времени, будет постепенно уменьшаться. Следующий рисунок иллюстрирует
эту ситуацию.

Общее правило гласит: интенсивность света, испускаемого точечным источником,
уменьшается обратно пропорционально квадрату расстояния. Практически можно представить это так: если мы удвоим расстояние,
интенсивность света уменьшится в четыре раза. В соответствии с этим правилом существует следующее уравнение.
| Интенсивность
света1 |
=
|
Расстояние12 |
|
|
| Интенсивность
света2 |
Расстояниe22 |
|
Так как световая сила в первую очередь зависит от количества фотонов, создающих свет,
вышеуказанное уравнение можно записать с учетом этой причины следующим образом.

| Количество
полученных
фотонов1 |
=
|
Расстояние22 |
|
|
| Количество
полученных
фотонов2 |
Расстояние22 |
|
Однако оба вышеуказанных уравнения справедливы только для целей, находящихся в покое относительно источника света.
Когда присутствует движение, в ситуацию вмешивается математика (c+v)(c-v).
На следующем рисунке показано, как математика (c+v)(c-v) вмешивается в ситуацию.
Рассмотрим объект, находящийся в состоянии покоя на расстоянии d1 от источника света.
Форма объекта в виде круга на рисунке не имеет значения.
Предположим, что в момент t0 n фотонов, испущенных из источника, направляются к этому объекту.
В итоге n фотонов преодолевают расстояние d0 за время tΔ =d0/c и достигают объекта.
Теперь рассмотрим случай, когда объект удаляется.
Когда объект находится на расстоянии d0, предположим, что к нему снова направляются n фотонов.
Но на этот раз скорость фотонов будет (c+v), и они достигнут объекта не на расстоянии d0, а на расстоянии d1, при этом их количество не изменится.
Если же объект движется к источнику, фотоны будут двигаться со скоростью (c-v) и достигнут цели на расстоянии d2,
и их количество также останется неизменным.
Тот факт, что
количество фотонов не изменяется, не означает, что объект получает
одинаковую интенсивность света во всех трех случаях. Потому что, хотя
количество фотонов остается неизменным, их энергия изменяется.
Изменение энергии происходит пропорционально изменению длины волны.
Следовательно, можно определить следующее равенство: EX . λX = E0 . λ0.
Таким образом, объект, получающий энергию E0 в состоянии покоя, в движении, если он удаляется, получит энергию E2=
E0.c/(c+v), а если приближается – E1=
E0.c/(c-v).
На рисунке обратим внимание, что расстояния d1 и d2 определяются временем tΔ, и неизменность количества фотонов напрямую связана с этим временем tΔ.
Как только время tΔ истечет, количество фотонов изменится.

34.2.
ФАКТОР ЗАТЕНЕНИЯ (SHADING FACTOR)



На рисунке выше желтый объект движется в направлении красной стрелки.
На его пути находится область, затененная синим объектом.
Желтый объект проходит через эту затененную область и продолжает свой путь...
Этот, казалось бы, простой процесс становится гораздо сложнее при рассмотрении с точки зрения математики (c+v)(c-v),
так как он содержит большое количество деталей и информации.



Рассмотрим это с помощью доплеровского треугольника.
Рассмотрим световой сигнал, отправленный от источника света, когда желтый объект находится в точке B.
Время прибытия сигнала будет tΔ=d1/c.
В течение времени tΔ желтый объект, двигаясь со скоростью u, преодолевает расстояние d2= u. tΔ
и входит в затененную область.
На пути светового сигнала, приходящего к желтому объекту по линии d3 с точки зрения системы отсчета источника, находится синий объект.
Напомним, что с точки зрения системы отсчета желтого объекта световой сигнал должен прийти к нему по красной линии d1.
В результате движения желтого объекта красная линия d1 окажется внутри тени.
Когда желтый объект приближается к точке C, если световой сигнал смог пройти мимо синего объекта, он достигнет желтого объекта.
Если же он не сможет пройти, то будет поглощен синим объектом.
Синий объект станет препятствием для попадания светового сигнала на желтый объект.
Из этого следует, что по мере того как желтый объект входит в тень,
синий объект будет вынужден получать больше света, чем должен был бы
получить.
Я не уверен, каким образом синий объект будет обрабатывать этот избыток света,
поэтому не буду делать предположений. Это может привести к изменению светового потока синего объекта,
увеличению его тепловой энергии или каким-либо другим эффектам.
Факт остается фактом: нам еще многое предстоит узнать о Законе Алисы.
Тема Фактора Затенения – это совершенно новый аспект для меня, который я обнаружил при изучении темы Смещения Светового Потока.
Я даже сомневался, стоит ли писать об этом. Однако решил, что было бы правильнее осветить и этот вопрос.
Я понимаю, что эта тема содержит множество деталей, на которые следует обратить внимание.
Но здесь я не хотел вдаваться в эти подробности.
Фактор затенения также предоставляет особую возможность для экспериментального подтверждения Закона Алисы.
По крайней мере, такая вероятность весьма высока.

Космический корабль
Продолжим с темой космического
корабля. После прохождения половины пути корабль продолжает движение
под воздействием нового потока излучения. Звезда, к которой они
направляются, теперь светит намного ярче. Однако двигатели корабля
неожиданно выходят из строя. На их пути, в одном световом году от
целевой звезды, находится станция спасения и ремонта, которая остается
неподвижной относительно звезды. Корабль снижает скорость и
пристыковывается к станции для ремонта. Изменит ли замедление корабля
поток излучения? Да, изменит, но это изменение начнется как минимум в
одном световом году от них. Достижение этого изменения займет год. Все
это время звездолет продолжит получать сконцентрированную энергию,
поступающую от звезды. Капитан может остановить корабль, изменить его
направление или попытаться удалиться от звезды – эффект не исчезнет.
Эти лучи движутся внутри области корабля, словно самонаводящиеся
ракеты, нацеленные на звездолет.
Корабль приземляется в ангар ремонтной станции.
Защитные экраны станции теперь защищают его от энергии, поступающей от звезды.
А что насчет пассажиров?
Они начали это путешествие, находясь в состоянии сна в безопасных отсеках корабля.
Когда стало ясно, что ремонт займет много времени, пассажиров разбудили и переселили в жилые зоны станции.
Кафетерий станции выполнен очень красиво.
Через стеклянный купол открывается величественный вид на космос.
Один из пассажиров берет чашку кофе и направляет взгляд к звезде, к которой они направляются.
Как он увидит звезду? Продолжается ли изменение потока излучения для этого пассажира?
Очень интересный сценарий. Нет
ничего удивительного в том, что у Закона Алисы есть свои собственные
парадоксы. Здесь мы столкнулись с одним из них. Если честно, эта идея
пришла мне в голову, когда я писал книгу. Я не знаю ответа на последнюю
часть истории, но, конечно, мне любопытно. Если бы меня попросили
сделать предположение, я бы сказал, что изменение потока излучения
продолжится для этого пассажира в течение следующего года.