29. СВЯЗЬ МАТЕМАТИКИ (C+V)
(C-V) С СИЛОЙ ТЯГОТЕНИЯ И СИЛАМИ ЗАРЯДА

Математика (c+v)(c-v) дает важные подсказки о существовании определенного
механизма в природе. Этот механизм — это механизм ПОЛЯ.
Давайте посмотрим на два уравнения ниже.



"Вот это да…
откуда это взялось, какая связь? Одно — Закон Всемирного Тяготения,
другое — Закон Кулона, описывающий силу между статическими электрическими зарядами.
Мы говорим о математике (c+v)(c-v), какое это имеет отношение?"
не спешите делать выводы. Потому что эти два уравнения действительно имеют
очень тесную связь с математикой (c+v)(c-v).
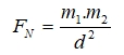
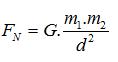
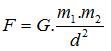
Закон Всемирного Тяготения: Два тела притягиваются друг к другу
с силой, прямо пропорциональной произведению их масс и обратно пропорциональной
квадрату расстояния между ними.
Закон Кулона: Два тела, обладающие электрическим зарядом,
действуют друг на друга с силой, прямо пропорциональной произведению их зарядов
и обратно пропорциональной квадрату расстояния между ними.
Обе эти закономерности содержат
чрезвычайно важную информацию, которую мы можем использовать для объяснения
причины математики (c+v)(c-v), и которая направляет нас в нужном направлении.
Давайте теперь рассмотрим эти сведения.
Первая информация такова: Для обоих уравнений
не существует верхнего предела расстояния между двумя телами или двумя
электрическими зарядами. Независимо от того, составляет ли это расстояние
один сантиметр, один метр, тысячи километров, несколько световых лет или
миллионы световых лет, данные уравнения остаются неизменными.
Вторая информация заключается в том,
что свойства тел не имеют значения. Нет никакого ограничения, что только
определенный класс тел может оказывать силу на другие. Для Закона Всемирного
Тяготения наличие массы у тел достаточно для возникновения силы. Для Закона
Кулона наличие электрического заряда у тел также достаточно для возникновения
силы взаимодействия.
Третья информация заключается в том,
что эти силы применяются не к определенным телам, а ко всем телам во Вселенной
одновременно. Иными словами, нет такого ограничения, что одно тело может
применять силу только к одному другому телу. Пока Земля оказывает гравитационное
воздействие на Луну, она также оказывает силу на Солнце, Юпитер, Плутон,
Андромеду или даже на небесные тела, которые мы можем наблюдать через
телескоп "Хаббл" на расстоянии в миллионы световых лет. Это был общий пример,
но давайте углубимся. Закон Всемирного Тяготения гласит, что любой атом,
имеющий массу, оказывает гравитационное воздействие на все другие атомы
во Вселенной, независимо от их местоположения. Закон Кулона утверждает, что
электрон, несущий заряд, воздействует на все другие электроны и протоны во
Вселенной, где бы они ни находились. Здесь совершенно неважно, находится ли
этот электрон внутри нейтрального атома. (Нейтральный атом: отрицательно
заряженные электроны и положительно заряженные протоны в атоме находятся
в балансе, поэтому суммарный электрический заряд атома теоретически равен нулю).
Насколько это интересная ситуация,
которая заставляет нас максимально напрячь воображение. Вы включаете свет
в своей комнате, электроны начинают двигаться по проводу к лампе, и каким-то
образом электроны на другом конце Вселенной об этом узнают. Они знают,
сколько электронов движется и с какой скоростью! (Или будут знать, скажем так).
Вы слегка меняете положение стакана на своем столе, и информация об изменении
его положения каким-то образом доходит до всех других объектов во Вселенной.
Я хочу сказать нечто еще более странное. Не исключена возможность, что передача
этой информации другим телам происходит за нулевое время. Я говорю это не ради
дискуссии, а лишь для пояснения того, что говорят уравнения. Обратите внимание,
оба уравнения не зависят от скоростей тел. Как только тело перемещается, изменяются
расстояния между ним и другими телами, и, следовательно, меняется сила. Это можно
интерпретировать как мгновенное изменение силы. Таким образом, если эти уравнения
абсолютно точны, отсюда следует вывод, что информация о перемещении тела передается
всем телам во Вселенной за нулевое время. Если же передача не мгновенная, значит,
в уравнениях есть некоторая недоработка, что-то упущено. В таком случае эти уравнения
точно описывают силу между двумя неподвижными телами, но содержат пробел в описании
сил между движущимися телами. Это не невозможно. Если помните, мы видели аналогичный
пример в уравнении скорости электромагнитной волны, где использовалось c =
f0.λ0, но правильное уравнение должно быть c =
f0.λ1.
Четвертая информация заключается в том,
что эти силы не имеют преград и могут проходить сквозь материю. Позвольте объяснить
это на простом примере. Когда Земля оказывается между Луной и Солнцем, изменяется ли
гравитационная сила, которую Солнце оказывает на Луну? Препятствует ли Земля воздействию
гравитации Солнца на Луну? Если бы это было так, орбита Луны изменилась бы, и мы бы это
заметили. По крайней мере, с точки зрения гравитации так можно сказать, но в случае сил
заряда ситуация, возможно, немного иная, поскольку мы можем создать экранированные области,
где электрические заряды не оказывают влияния.
Теперь я хочу показать вам, что сила гравитации не знает преград.
Для этого воспользуемся уравнением Закона Всемирного Тяготения
и объясним на примере, что означает произведение "m1.m2".
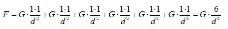
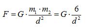
Представим, что у нас есть 5 металлических шаров, каждый массой один килограмм.
Соединим три из них вместе, чтобы получить массу m1,
и два других, чтобы получить массу m2.
Гравитационная сила между этими двумя массами будет F=G.
(3x2)/d2. Получаем:
m1.m2 = 3x2 = 6.
Но что означает это число 6, полученное в результате умножения масс?
Сначала разберёмся с этим, а затем сосредоточимся на расстоянии "d" между массами.



Для нахождения гравитационной силы мы умножили массы друг на друга и получили результат [1].
Теперь давайте сделаем это более точно:
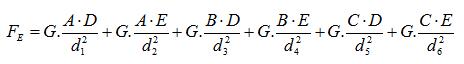
Рассчитаем гравитационную силу между каждым отдельным шаром массы m1
и каждым отдельным шаром массы m2 [2],
затем суммируем полученные результаты и таким образом вычислим гравитационную силу [3].
[1]
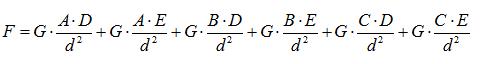
Масса m1 состоит из элементов (A, B, C),
а масса m2 состоит из элементов (D, E).
Используя среднее расстояние, получаем следующее уравнение:
[2]
Как видно ниже, вычисленная нами сила через элементы также дает
тот же результат для произведения масс m1.m2.
В данном примере массы отдельных элементов равнялись 1 единице.
[3]
Фактически, количество элементов,
из которых состоят массы m1 и m2, или их индивидуальные
значения массы не имеют значения для конечного результата. Чтобы это продемонстрировать,
я подготовил следующую таблицу. В таблице предполагается, что масса m1 равна 19 единицам,
а масса m2 — 9 единицам. Элементы, составляющие m1 и m2,
получили случайные значения массы. Произведение "m1.m2"
дает результат 19x9=171. Как видно в таблице, сумма произведений отдельных элементов
также равна 171. (Сумма чисел, отмеченных желтым цветом).

|
m1 масса = 19 единиц, 9 элементов |
||||||||
|---|---|---|---|---|---|---|---|---|
| A | B | C | D | E | F | G | H | I |
| 1,3 | 4,5 | 1,56 | 1,96 | 1,9 | 2,62 | 1,24 | 2,36 | 1,56 |
|
m2 масса = 9 единиц, 6 элементов |
||||||||
| J | K | L | M | N | O | |||
| 1,1 | 0,8 | 1,8 | 1,4 | 0,5 | 3,4 | |||
|
m1 * m2 = 9 × 19 = 171 |
||||||||
| J | K | L | M | N | O | |||
| A | 1,43 | 1,04 | 2,34 | 1,82 | 0,65 | 4,42 | ||
| B | 4,95 | 3,6 | 8,1 | 6,3 | 2,25 | 15,3 | ||
| C | 1,716 | 1,248 | 2,808 | 2,184 | 0,78 | 5,304 | ||
| D | 2,156 | 1,568 | 3,528 | 2,744 | 0,98 | 6,664 | ||
| E | 2,09 | 1,52 | 3,42 | 2,66 | 0,95 | 6,46 | ||
| F | 2,882 | 2,096 | 4,716 | 3,668 | 1,31 | 8,908 | ||
| G | 1,364 | 0,992 | 2,232 | 1,736 | 0,62 | 4,216 | ||
| H | 2,596 | 1,888 | 4,248 | 3,304 | 1,18 | 8,024 | ||
| I | 1,716 | 1,248 | 2,808 | 2,184 | 0,78 | 5,304 | ||
| CУММА ЧИСЕЛ В ЖЁЛТОЙ ОБЛАСТИ = 171 | ||||||||

Как видно из таблицы, важным моментом с точки зрения силы гравитации или силы электрического заряда
является сумма сил, которые элементы одного тела оказывают на элементы другого тела.
Итоговая сила формируется именно из этой суммы. Такова механика работы природы.
Материя состоит из атомов.
Следовательно, элементы, составляющие массу, — это атомы. (Можно углубиться и сказать,
что материя состоит из частиц, образующих атом, но мы ограничимся атомным уровнем).
Если предположить, что Земля состоит приблизительно из 1,33*1050 атомов,
а Луна — примерно из 1,33*1048 атомов, и если учесть, что каждый атом на Земле
притягивает каждый атом на Луне, можно осознать, насколько невероятно устроена природа.
Тем более, что эти расчёты касаются только Земли и Луны. Ожидается, что во Вселенной
существует порядка 1081 атомов. Согласно этому, каждый атом одновременно
оказывает силу на 1081 атомов.
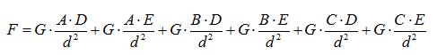
Теперь давайте сосредоточимся на расстоянии между элементами.
При вычислении силы между элементами выше я использовал среднее расстояние [4].
Очевидно, что истинное значение силы будет определяться с учетом
фактических расстояний между элементами [5].
[4]
[5]
В уравнении гравитационной силы в качестве точки отсчета
берется расстояние между центрами масс тел [6].
[6]
Однако при вычислении с учетом отдельных элементов,
расстояния учитываются гораздо точнее, что повышает точность уравнения.
Но есть ли разница между результатами этих двух методов расчета,
и если есть, то насколько она велика?
Чтобы ответить на этот вопрос,
я написал специальную программу. В ней я провел вычисления,
используя 9000 точек в качестве элементов для каждой массы.
В расчете масса каждого элемента принята за одну единицу.
Результат можно увидеть в таблице ниже.


| m1 | 9000 | точек | |
| m2 | 9000 | точек | |
|
Количество операций |
81000000 | ||
|
Примечание: Гравитационная постоянная (G) является постоянным множителем и не включена в расчёты. |
|||
Рассчитанные силы гравитации |
||
|
d Расстояние между двумя центрами масс |
FN Всемирная сила тяготения Сила, рассчитанная по общей формуле
|
FE Сила, рассчитанная с учетом расстояний между элементами двух масс
|
| 300 | 900 | 981,3608966 |
| 500 | 324 | 333,4265753 |
| 1000 | 81 | 81,56725952 |
| 10000 | 0,81 | 0,81005952 |
| 100.000 | 0,0081 | 0,00810001 |
| 1.000.000 | 0,000081 | 0,0000810000 |
|
10.000.000 |
0,0000081 | 0,0000008100000 |
|
100.000.000 |
0,00000081 | 0,0000000081 |
FN : Гравитационная сила, рассчитанная
по общей формуле.
FE : Гравитационная сила, рассчитанная с учетом
расстояний между элементами двух масс.
Как видно из таблицы,
на больших расстояниях результаты двух методов расчета FN
и FE совпадают. На самом деле, FN никогда
не будет точно равен FE. Однако видно, что по мере
увеличения расстояния разница между ними уменьшается и становится
настолько незначительной, что влияет лишь на число знаков после запятой.
По мере уменьшения расстояния между массами
наблюдается обратная ситуация. Разница между силами FN и FE
увеличивается, и значение FE становится все больше.
Естественно, этот факт должен изменить наше представление о гравитационной силе.
Например, насколько правильно использовать силу FN
при анализе движения планет на орбитах, близких к звездам?
При слиянии звезд именно сила FE будет играть решающую роль.
В таких анализах следует учитывать силу FE вместо FN.
Когда мы встаем на весы, чтобы измерить свой вес,
на нас действует сила FE.
Моделирование, которое я проводил,
является двумерным: использованные 9000 точек для каждой массы и
9000² = 81 000 000 итераций достаточно, чтобы получить общее представление.
Тем не менее, я считаю, что для достижения более точных данных
необходимо проводить моделирование с большим количеством точек
и в трехмерном пространстве.
То, что я рассказал вам выше, — это выводы, которые я сделал
из уравнения
.
Уравнение гравитационной силы, безусловно, содержит и другую информацию.
Например, "Почему сила обратно пропорциональна квадрату расстояния?"
На этот вопрос я не могу ответить. "Что представляет собой универсальная
гравитационная постоянная G?" Здесь также у меня нет точного ответа.
Некоторое время я работал над постоянной G,
но не могу сказать, что достиг значительных результатов.
Однако, если учитывать, что такие величины, как секунда, масса и метр,
являются полностью искусственно созданными единицами,
то можно прийти к определенным предположениям.
С точки зрения нашей темы здесь важны три ключевых момента:
Эти силы действуют на бесконечно
большие расстояния.
Общая сила формируется за счет
взаимодействия отдельных элементов.
Эти силы не имеют преград и проходят
сквозь материю.
Я хотел показать это. Теперь вернемся к нашей теме.

