27. ЭНЕРГИЯ
ФОТОНА
Хочу воспользоваться случаем и
затронуть эту тему. На следующем рисунке
показаны периоды излучения сигналов передатчиком и их прием целевыми
объектами, отображенные на одной схеме на основе длин волн сигнала.



Деление длины волны на скорость сигнала даст значение времени.
Длина волны / Скорость сигнала = Время излучения или приема длины волны
Поскольку скорость сигнала может изменяться в зависимости от систем
отсчета отправителя и приемника сигнала, это время рассчитывается
двумя способами.
1- Время излучения длины волны передатчиком в его системе отсчета.
(ИСХОДЯЩИЕ сигналы)
2- Время приема длины волны в системе отсчета целевого объекта.
(ВХОДЯЩИЕ сигналы). Эти временные интервалы уже показаны на схеме.
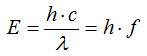
Энергия фотона
В физике энергия фотона выражается уравнением

E: энергия фотона, h: постоянная Планка, c: скорость света, m: длина волны фотона, f: частота волны
Теперь обратимся к схеме.
Мы знаем, что длины волн сигналов, излучаемых передатчиком, различны,
но они испускаются за одинаковые промежутки времени. Однако на стороне приемника ситуация иная.
Взаимодействие движущихся тел приводит к тому, что скорость поступающего сигнала относительно
целевого объекта всегда равна c, что увеличивает или уменьшает время приема в зависимости от длины волны.
Разница между временем излучения и временем приема длины волны интерпретируется как увеличение или уменьшение
энергии электромагнитной волны (фотона). Теперь рассмотрим сторону передатчика.
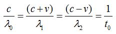
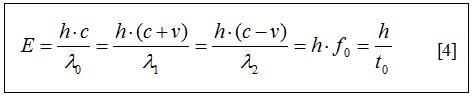
Излучаемые электромагнитные волны с длинами λ0, λ1, λ2
фактически несут одинаковую энергию, поскольку они были испущены с одним и тем же значением частоты.
Это можно легко увидеть в следующих уравнениях.
Используя время излучения длины волны, мы можем записать следующее уравнение.



[1]
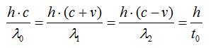
Умножая обе стороны уравнения [1] на постоянную Планка, получаем энергию излучаемых волн.

[2]

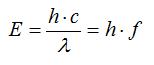
Уравнение, показывающее энергию фотона:




[3]
Из уравнений [2] и [3] можно получить следующее уравнение [4].
Как видно, энергия волн, излучаемых передатчиком, одинакова.



Однако, поскольку время приема сигналов разной длины волны
в целевых точках отличается, эта энергия воспринимается как различная.
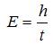
Энергия волн, воспринимаемая на стороне приемника:


Как видно, энергию фотона можно выразить в зависимости от времени его излучения или приема.



E: энергия фотона
h: постоянная Планка
t: время излучения/приема фотона
Уравнение (E=h/t) указывает на интересный момент. "Энергия всех
фотонов на самом деле одинакова, эта величина равна постоянной Планка,
а разница заключается в том, за какой промежуток времени эта энергия
испускается или поглощается", — такая мысль невольно приходит в голову.
Независимо от уровня энергии, на котором он был испущен, влияние фотона
проявляется только в точке прибытия.
"Представляет ли воспринимаемая энергия фотона в точке прибытия его истинную энергию?"
Мы видим, что ответ на этот вопрос — "Нет".
"Является ли истинная энергия фотона энергией, с которой он был испущен?"
Этот вопрос я предпочту оставить без ответа.
Если предположить, что значение t в этом уравнении логически изменяется
в диапазоне "0-1", то чем меньше t, тем больше энергия, сжатая до значения,
равного постоянной Планка, а следовательно, тем выше воздействие фотона.
Это несколько пугающее уравнение. Если учесть свойства (c-v) в математике
(c+v)(c-v), то можно увидеть, что это сжатие может достичь невероятных масштабов,
что приведет к колоссальным уровням энергии. Кто знает, возможно, природа имеет
защитный механизм против таких опасных явлений.
Если вы планируете путешествовать со скоростью света и не учитываете это уравнение,
могу с уверенностью сказать, что в течение очень короткого времени вы просто испаритесь.