26. ДОПЛЕРОВСКОЕ СМЕЩЕНИЕ ПРИ ИЗЛУЧЕНИИ
ЭЛЕКТРОМАГНИТНОЙ


ВОЛНЫ ВОЗНИКНОВЕНИЕ УРАВНЕНИЙ
![]()
Поскольку Доплеровское смещение возникает во время излучения сигнала и в самом источнике,
давайте сначала рассмотрим этот процесс на графике и проверим, появляются ли уравнения
Доплеровского смещения математически.
![]()

![]()
Заводские настройки передатчика сигнала заданы как
частота f0 и длина волны λ0.
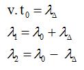
Предположим, что заводские настройки передатчика сигнала заданы как частота f0
и длина волны λ0. Рассмотрим один участок сигнала, длиной в одну длину волны.
Так как сигнал передается трем разным целям, длины волн этих сигналов различаются.
Однако, несмотря на различие длин волн, неизменность частоты указывает на то,
что сигналы с длинами волн λ0, λ1, λ2 излучаются за одинаковый промежуток времени.
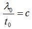
Этот временной интервал можно вычислить из заводских настроек передатчика:
λ0/ c = t0. Если умножить разность скоростей между движущимися
референтными системами (значение "v") на время излучения длины волны (t0),
мы получим величину изменения длины волны сигналов, отправленных к движущимся целям.

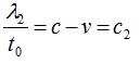
Кроме того, длина волны — это физическая величина, это длина, это расстояние.
Независимо от различий в длинах волн, тот факт, что все три сигнала излучаются за одинаковый промежуток времени,
непосредственно определяет скорости сигналов, отправленных к движущимся целям. Это весьма точный вывод.
Исходя из этого:
![]()
Скорость сигнала, направленного к удаляющемуся самолету =
![]()
Скорость сигнала, направленного к приближающемуся самолету = 
В результате: c1 > c > c2.
Используя приведенную выше схему, давайте проверим, можем ли мы получить уравнения Доплеровского смещения.
Как видно ниже, это легко сделать.

![]()
Как уже упоминалось ранее, термины "Красное смещение" и "Синее смещение" в Доплеровском эффекте
используются для обозначения уменьшения и увеличения энергии электромагнитной волны.
Красное смещение означает увеличение длины волны, что указывает на уменьшение энергии, и представляется как (c+v).
Синее смещение означает уменьшение длины волны, что указывает на увеличение энергии, и представляется как (c-v).