21. ВРЕМЕННОЙ
СДВИГ (TIME SHIFT)

Изменение
длины волны в электромагнитном взаимодействии между движущимися
относительно друг друга объектами изменяет скорость течения видимого
времени. Это явление называется Временным Сдвигом.
В
своих предыдущих работах я рассматривал явление Временного Сдвига под
разными названиями (Растяжение Времени, Деформация Времени) и
публиковал их. Однако я считаю, что наилучшим названием является
Временной Сдвиг. С этим новым названием также подчеркивается тесная
связь Временного Сдвига с Доплеровским Сдвигом.
Представьте, что вы смотрите на
часы на своем запястье. Если во время просмотра вы двигаете рукой,
скорость хода времени, показываемая часами, немедленно изменится. Если
вы отдалите часы от лица, они будут казаться медленно работающими, а
если приблизите – быстро работающими. Это изменение не связано с
механизмом часов. Часы продолжают работать с той же скоростью.
Изменение происходит на Объекте Изображения часов, и поскольку вы
видите не Исходный Объект часов, а его Изображение, вам кажется, что
часы ускоряются или замедляются. Конечно, это изменение настолько мало,
что его невозможно заметить, поскольку расстояние очень короткое, а
движение руки очень медленное. Однако это изменение действительно
происходит. Теперь давайте увеличим расстояния и скорости и подробно
рассмотрим, как возникает Временной Сдвиг.
Мы не можем увидеть часы,
находящиеся за несколько сотен километров, невооруженным глазом. Однако
можно поступить следующим образом: давайте наблюдать за часами через
камеру и транслировать изображение в режиме реального времени. Такая
установка ничем не будет отличаться от наблюдения за часами на
запястье. Таким образом, даже если мы находимся в движении, мы можем
наблюдать за часами на расстоянии сотен, а то и тысяч километров. В
качестве передатчика, для удобства объяснения, возьмем устройство с
заводской частотой 1 Герц. Такой передатчик будет испускать одну длину
волны в секунду. Хотя столь низкая частота будет недостаточной для
передачи изображения часов, она сможет передавать временную информацию
о часах с высокой точностью.
На следующем рисунке мы видим
сигналы часов, передаваемые от сигнальной башни к трем разным кадрам.
Как мы уже видели, длины волн сигналов, исходящих от передатчика и
направляющихся к движущимся самолетам, будут изменяться. Длины волн
сигналов, отправляемых к удаляющемуся самолету со скоростью (c+v),
увеличатся, а длины волн сигналов, отправляемых к приближающемуся
самолету со скоростью (c-v), уменьшатся.


Мы можем легко
рассчитать изменения длины волны, используя уравнения Доплера, но
поскольку наша тема — Временной Сдвиг, давайте выразим изменения длины
волны в зависимости от времени. Длина волны — это значение расстояния.
Между расстоянием, скоростью и временем существует основное
уравнение.
Расстояние = Скорость × Время
Следовательно, мы можем выразить длину волны сигнала, исходящего от
передатчика, в зависимости от скорости распространения и времени
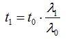
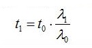
излучения. Пусть время излучения одной длины волны сигнала будет "t0".
Соответственно, длины волн будут следующими. Мы уже знаем, что время
излучения длины волны не изменяется для всех трех уравнений, так как
частоты излучения равны.

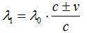
| Длина волны сигнала для удаляющегося самолёта |
λ1 = ( c +v). t0 |
| Длина волны сигнала для приёмника в горах |
λ0 = c. t0 |
| Длина волны сигнала для приближающегося
самолёта |
λ2 = ( c -v). t0 |

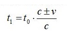
Теперь запишем, за какое время принимается сигнал
длиной, равной длине волны, в пункте назначения. Поскольку скорость
поступающего сигнала всегда постоянна и равна "c", время приема длины
волны будет следующим.

| Время приёма длины волны для удаляющегося
самолёта |
t1 = λ1/c = (c+v) .
t0 /c |
| Время приёма длины волны для приёмника в
горах |
t0 = λ0/c |
| Время приёма длины волны для
приближающегося самолёта |
t2 = λ2/c = (c-v) .
t0 /c |

На следующем рисунке представлена ситуация, описанная
выше.



Как мы видим,
если сигнал направляется к движущейся цели, между временем излучения
длины волны в источнике и временем приема длины волны в пункте
назначения возникает разница. Именно эта разница является причиной
явления, называемого Временным Сдвигом. Не следует путать Временной
Сдвиг с временем, необходимым для достижения сигнала цели. Временной
Сдвиг определяет скорость течения Видимого Времени на Объекте
Изображения. Прежде всего, давайте, используя представленный выше
рисунок, запишем основные уравнения, описывающие Временной Сдвиг.

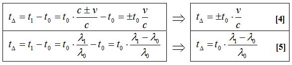
| Время приёма длины волны |
= |
Скорость распространения сигнала |
|
|
| Время излучения длины волны |
Постоянная скорость света |
|

[1]
Изменение длины волны
[2] определялось.
Используя
[1] и [2], мы можем также сформулировать приведенное выше уравнение в
зависимости от длины волны, как показано ниже.



[3]
t0 : Время излучения длины волны
t1 : Время приема длины волны
λ0 : Длина волны передатчика в заводских настройках
λ1 : Длина волны сигнала, исходящего от передатчика и
направляющегося к движущейся цели
c : Постоянная скорость света
v : Разница в скорости между источником сигнала и его пунктом назначения
c±v : Скорость распространения сигнала
Мы получили следующие уравнения для Временного Сдвига.

Представление,
основанное
на скорости сигнала
|
Представление,
основанное
на длине волны

|

Значение "t0",
которое выражает время излучения длины волны, представляет информацию о
времени события, произошедшего в Источнике Объекте в Абсолютном
Времени, и символизирует Абсолютное Время. Время приема длины волны "t1",
хотя оно также происходит в Абсолютном Времени, определяет скорость
течения времени в Объекте Изображения и фактически представляет собой
Видимое Время. Разница между этими двумя временами дает величину
Временного Сдвига.

| Величина
временного смещения |
= |
Время
приёма длины волны |
- |
Время
излучения
длины волны |
|
tΔ=t1-t0
|
|

Математически это уравнение выражается следующим
образом:




В представлении, записанном в
правом верхнем углу в зависимости от скоростей, для расходящихся систем
отсчета используется знак "+", а для сближающихся систем отсчета — знак
"-". Положительное значение t
Δ указывает на замедление
Видимого Времени, а отрицательное — на его ускорение.

Если внимательно посмотреть на
фигуру, значение t
0 является величиной, связанной с длиной
волны (t
0 = λ
0/c).
Следовательно, уравнение можно использовать для любой длины волны. Мы
можем произвольно представить, что "λ
0/c = 1 секунда" или
даже "λ
0/c = 1 час". Что я хочу сказать: в уравнениях [4] и
[5] можно использовать любое значение t
0. Если мы примем t
0
= 1 секунда, мы найдем разницу во Временном Сдвиге, возникающую за 1
секунду.

Рассчитаем разницу Временного
Сдвига в секунду для астероида, движущегося со скоростью 30 000 км/с.
Если считать, что скорость света приблизительно 300 000 км/с,
Разница Временного Сдвига = 1 × (30 000/300 000) = 0,1 секунды.
Это составляет 6 секунд в минуту. Если установить на астероиде часы и
наблюдать их через прямую трансляцию на экране на Земле, то при
удалении астероида от нас изображение часов на экране будет отставать
на 6 секунд в минуту, а при приближении – опережать на 6 секунд в
минуту. Пусть наблюдатель на Земле, наблюдая за астероидом через
телескоп, увидел выброс газа. Скорость течения времени этого
наблюдаемого события будет подвержена разнице в 6 секунд в минуту.
Временной Сдвиг похож на просмотр фильма в замедленной или ускоренной
съёмке. Объекты Изображения движущихся тел всегда содержат в себе
явление Временного Сдвига.

Естественно, невооружённым
глазом наблюдать Временной Сдвиг практически невозможно, потому что для
заметного эффекта необходимы очень высокие скорости. Если наши глаза не
могут зафиксировать летящую пулю, как они смогут заметить Временной
Сдвиг? Однако для сигналов связи это не является проблемой.
Высокочувствительные приборы могут мгновенно обнаружить Временной
Сдвиг. Временной Сдвиг становится явно выраженным в спутниковой связи,
межзвёздных путешествиях и даже в связи между сверхскоростными
самолётами.
21.1. ПРЕОБРАЗОВАНИЕ СКОРОСТИ ТЕЧЕНИЯ ВРЕМЕНИ
МЕЖДУ АБСОЛЮТНЫМ И ВИДИМЫМ ВРЕМЕНЕМ

Как описано в "Разнице
Временного Сдвига", мы можем непосредственно определить величину
изменения скорости течения времени, подставляя любое значение времени
вместо t
0 в следующих уравнениях.



Приведем пример.
Допустим, мы наблюдали событие в Объекте Изображения, которое длилось
20 минут. Теперь мы хотим узнать, сколько времени оно длилось в
Абсолютном Времени (другими словами, в Источнике Объекте, то есть в
реальности).
Пусть λ0 = 15 нм, λ1 = 16 нм. (Так как λ1
> λ0, Источник Объект удаляется)
Здесь мы ищем значение t0. Оно вычисляется по формуле t0
= t1 × (λ0 / λ1).
t0 = 20 × (15 / 16) = 18.75 минут = 18 минут 45 секунд
Как видно из приведенного выше
расчета, преобразования между Абсолютным Временем и Видимым Временем
можно сформулировать следующим образом. В уравнениях t0
представляет Абсолютное Время, а t1 представляет Видимое
Время.



В расчетах, выполненных не через
длину волны, а через значения скорости, сначала необходимо вычислить
значение "v", представляющее относительную скорость систем отсчета друг
относительно друга. Как выполняется этот расчет, было объяснено
ранее.
21.2.
ПРЕДЕЛЫ СКОРОСТИ ТЕЧЕНИЯ ВИДИМОГО ВРЕМЕНИ

Следующая таблица важна с точки
зрения теории скорости течения Видимого Времени. Принимая t
0=1
секунда, уравнение t
1= t
0 × (c±v)/c было
использовано для получения результатов. Оно показывает, сколько длится
1 секунда Абсолютного Времени в Видимом Времени.




Теоретически скорости течения
Видимого Времени не существует предела. Таблицу можно расширять в обоих
направлениях. Добавляя +2c, +3c, +4c в правую часть таблицы для
значений "v" и -4c и так далее в левую часть, можно выполнить это
расширение. Для визуального баланса таблица была составлена в таком
виде. Положительные значения скорости "+v" в таблице означают, что два
объекта удаляются друг от друга, тогда как отрицательные значения "-v"
означают, что они приближаются друг к другу.

Значение "1" в строке "Скорость
Течения Времени (с)" в таблице представляет ситуацию, когда два объекта
находятся в относительном покое. В этом случае скорость течения
Абсолютного Времени равна скорости течения Видимого Времени. Во всех
других случаях скорость течения Видимого Времени отличается от скорости
течения Абсолютного Времени или его направление противоположно.

Значения, находящиеся справа от
"0" в строке "Скорость Течения Времени", означают, что Видимое Время
движется вперед (что является нормальным направлением течения времени),
а значения слева от "0" указывают на то, что Видимое Время движется
назад. Если два объекта сближаются со скоростью, превышающей скорость
света (то есть при превышении -c), направление течения Видимого Времени
меняется на противоположное (подобно просмотру фильма в обратном
порядке).

Значения в диапазоне "-1....1" в
строке "Скорость Течения Времени" означают, что Видимое Время течет
быстрее обычного. По мере приближения к значению "0" с обеих сторон
скорость течения Видимого Времени увеличивается. Вблизи точки "0"
течение времени становится бесконечно быстрым. Когда достигается точка
"0", скорость течения Видимого Времени полностью останавливается. В
этой особой ситуации два объекта сближаются со скоростью света.
Поскольку скорость распространения сигнала и скорость источника сигнала
равны, передача сигнала становится невозможной, и, как следствие,
Видимое Время останавливается.

Значения, находящиеся за
пределами диапазона "-1....1" в строке "Скорость Течения Времени",
указывают на замедление скорости течения Видимого Времени. Чем дальше
значения уходят ниже -1 и выше +1, тем больше замедляется скорость
течения Видимого Времени. Значение -1 эквивалентно 1 секунде во
времени, но направление течения времени обратное.

Пример: рассмотрим значения t
1
равные +0.5 и -0.5. Эти значения показывают, что одна секунда в
Абсолютном Времени соответствует половине секунды во Видимом Времени.
Это одинаковые промежутки времени, но в одном случае Видимое Время
движется вперед, а в другом — назад. Скорость течения Видимого Времени
увеличивается в обоих случаях.

Наша жизнь проходит в очень
узком диапазоне вокруг значения 1 в строке "Скорость Течения Времени".
Поскольку скорости "v", с которыми мы имеем дело на практике, очень
малы по сравнению со скоростью света, скорость течения Видимого Времени
изменяется незначительно и может быть обнаружена только с помощью
чувствительных приборов.
21.3.
КОТОРЫЙ ЧАС ТАМ?

Пусть A и B — два объекта,
движущиеся относительно друг друга. Как и все объекты, эти два объекта
вынуждены совершать своё движение в Абсолютном Пространстве-Времени,
поэтому между Источниковыми Объектами этих двух тел не может быть
разницы во времени. С точки зрения Абсолютного Времени ответ на вопрос
оказывается чрезвычайно простым. Если на часах A 03:00:00, то и на
часах B 03:00:00. Ни скорости, ни пространственное положение, ни
направление движения, ни ускоренное движение, ни расстояние в несколько
метров или сотни световых лет — ничто не может нарушить эту
синхронизацию.

Следовательно, вопрос "
Который
час там?" обычно означает следующее: может ли наблюдатель видеть
или воспринимать, который час в другом месте? Это определяет следующую
ситуацию:
Наблюдатель видит, который час в Объекте Изображения? Именно этот
вопрос нам нужно рассмотреть.

Так как расстояние между
Источниковым Объектом и Объектом Назначения вместе со скоростью сигнала
определяют время прибытия сигнала, можно рассчитать задержку во времени
и определить, в каком временном интервале находится Объект Изображения.
Разделив расстояние между Источниковым и Объектом Назначения на
скорость сигнала, мы получим время прибытия сигнала. Наша задача —
использовать Абсолютное Пространство-Время в качестве основы, чтобы
получить Видимое Пространство-Время. Здесь мы кратко подведем итоги
ранее рассмотренных общих правил. Скорость сигнала будет определяться
по математическим правилам (c+v)(c-v).

Время прибытия сигнала между
Источниковым и Объектом Назначения определяется следующим образом.
Однако
это уравнение не показывает время отправления сигнала от источника, а
время его прибытия в пункт назначения.

| Время прибытия сигнала tΔ |
= |
Расстояние между источником и целью |
x |
d
|
|
|
| Скорость сигнала |
(c±v)
|
|
Полученное время
tΔ представляет собой временную задержку. Вычитая tΔ
из Абсолютного Времени, мы можем определить, который час в Объекте
Изображения.
|
| Значение времени, видимое в Объекте-Изображении |
= |
Абсолютное время |
- |
Время прибытия сигнала tΔ |
|
Поскольку во всех Источниковых
Объектах Абсолютное Время едино, в этом уравнении можно использовать
значение собственного времени. (Мы игнорируем время, необходимое для
восприятия, который сейчас час.)
|
| Значение времени, видимое в Объекте-Изображении |
= |
Наше собственное значение времени |
- |
Время прибытия сигнала tΔ |
|
Теперь с помощью следующей схемы
определим положение Объекта Изображения и время в нем, исходя из
Источникового Объекта. Предположим, что Источниковый Объект движется со
скоростью "u" и в этот момент находится в точке C. Наблюдатель в точке
A увидит Объект Изображения на расстоянии d1 = c . tΔ
от себя и позади точки C на расстоянии d2 = u . tΔ,
то есть в точке B. Сигнал, отправленный Источниковым Объектом в точке
B, является сигналом, определяющим время на Объекте Изображения. Когда
сигнал достигает наблюдателя в точке A, Источниковый Объект будет
находиться в точке C, а Объект Изображения — в точке B.



Как видно из
рисунка, образуется "Доплеровский Треугольник". Здесь мы приняли
Абсолютное Пространство-Время в качестве отправной точки и применили
правила для перехода к Видимому Пространству-Времени. Однако на
практике невозможно применять этот порядок правил, потому что
Абсолютное Пространство-Время для нас абстрактно. В приведенном примере
наблюдатель в Объекте Назначения не видит Источниковый Объект в точке
B. Только спустя время tΔ он сможет увидеть его Объект
Изображения в точке B.

Из анализа
рисунка можно легко сделать вывод: наблюдатель может легко определить,
который час в Объекте Изображения, разделив расстояние до него на
скорость света. Поскольку Объект Изображения видим, расстояние до него
обычно можно измерить. Результат деления даст время прибытия сигнала.
Вычитая это время из собственного значения часов, наблюдатель сможет
определить, который час в Объекте Изображения.
Таким образом, мы пришли к
одному и тому же результату, исходя как из Источникового Объекта, так и
из Объекта Изображения, и, конечно, мы должны были получить этот
результат. Потому что в Доплеровском Треугольнике для tΔ
выполняется следующее уравнение (если взять за основу приведенную выше
фигуру).



Это уравнение можно выразить следующим образом:
| Время прохождения
сигнала tΔ |
= |
Расстояние до
Объекта-Изображения |
x |
Расстояние до Источника |
|
|
| Скорость ПРИХОДЯЩЕГО сигнала |
Скорость УХОДЯЩЕГО сигнала |

В заключение, ответ на вопрос "Который час в Объекте
Изображения?"
следующий:
| Значение
времени Объекта-Изображения |
= |
Значение
Абсолютного Времени |
- |
Время
прохождения сигнала tΔ |
|
Практический смысл этого уравнения таков:
|
Значение времени Объекта-Изображения
|
=
|
Наше собственное значение времени
|
-
|
Расстояние до Объекта-Изображения
|
|
|
Постоянная скорость света
|
В завершение для данной фигуры запишем также скорость течения Видимого
Времени.
В Объекте Изображения скорость течения Видимого Времени изменилась на t1=
t0 . (c+v)/c секунд в секунду.
