17.1.
УРАВНЕНИЕ СКОРОСТИ ВОЛНЫ ДЛЯ ВХОДЯЩИХ СИГНАЛОВ

Мы видели, что можно принять одну из движущихся
систем отсчета неподвижной, а другую — подвижной.
Следующая диаграмма нарисована
с точки зрения систем отсчета, принимающих сигнал
(самолетов и станции на горе).
- Передатчик излучает с частотой f
0 и длиной волны λ
0
в своей собственной системе отсчета.
- В системе отсчета верхнего самолета передатчик удаляется от него
в направлении красной стрелки.
- В системе отсчета нижнего самолета передатчик приближается к нему
в направлении синей стрелки.


На рисунке показаны скорости сигналов относительно их точек назначения.

Верхний самолет будет принимать сигнал
с частотой f1 и длиной волны λ1.
Мы также видели, что скорость сигнала, приходящего в систему отсчета,
всегда равна c. Следовательно, уравнение скорости волны для верхнего самолета
имеет следующий вид:
c = f1 . λ1
Нижний самолет принимает сигнал с частотой f2
и длиной волны λ2. Скорость сигнала, приходящего к нему, в его собственной
системе отсчета также будет равна c. Уравнение скорости волны для нижнего самолета
записывается следующим образом:
c = f2 . λ2
Станция неподвижна относительно передатчика.
Поэтому она принимает сигнал с той же частотой f0
и длиной волны λ0. Скорость приходящего к ней сигнала в её системе
отсчета также будет равна c. Из этого можно записать уравнение скорости волны.
c = f0 . λ0

17.2. УРАВНЕНИЕ СКОРОСТИ ВОЛНЫ ДЛЯ ИСХОДЯЩИХ СИГНАЛОВ

Следующая фигура нарисована
в системе отсчета передатчика.
Мы видели, что в системе отсчета передатчика сигналы движутся
со скоростью c+v к удаляющемуся самолету, c-v к приближающемуся самолету
и c к станции на горе.
Однако, несмотря на то, что передатчик изначально настроен
на излучение сигнала с частотой f
0 и длиной волны λ
0,
если сигнал направляется к движущейся цели, его длина волны изменяется.

Изменение длины волны отправленного сигнала
можно определить только на принимающей стороне. Человек, находящийся рядом
с передатчиком, не может ощущать или измерять сигналы с разными длинами волн,
отправляемые к самолетам.


На рисунке показаны скорости сигналов относительно передатчика.

Несмотря на неизменность частоты передатчика,
длина волны сигналов, отправляемых к самолетам, изменяется.
Используя это в уравнении скорости волны, мы можем найти скорости сигналов
для каждого самолета в системе отсчета передатчика.

| Скорость сигнала удаляющемуся самолёту |
c1 = c +v =f0 . λ1 |
| Скорость сигнала приближающемуся самолёту |
c2 = c -v =f0 . λ2 |
| Скорость сигнала к станции |
c = f0 . λ0 |
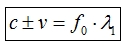
Таким образом, общее правило для скорости
исходящего сигнала заключается в следующем: скорость сигнала, отправленного
к движущейся цели, равна произведению частоты передатчика на длину волны сигнала,
измеренную в системе отсчета приемника.
Важно подчеркнуть, что это значение относится к системе отсчета передатчика.
Уравнение можно записать так:
Скорость исходящего сигнала = Частота передатчика × Длина волны в приемнике = c ± v
|
ОБЩИЙ РЕЗУЛЬТАТ ДЛЯ
СКОРОСТЕЙ СИГНАЛА
Скорость входящего сигнала = Частота приёмника × Длина волны приёмника = c
Скорость исходящего сигнала = Частота передатчика × Длина волны приёмника = c ± v
|

Давайте вернемся к примеру, который мы использовали
в разделе "Сдвиг байта", в частности, к 44-му биту. Мы ранее рассчитали
изменения длины волны и скорости сигналов, направляемых к удаляющемуся
и приближающемуся самолетам. Теперь мы рассчитаем скорости сигналов с помощью
уравнения скорости волны.
В следующей таблице показаны полученные значения, которые совпадают
с ранее рассчитанными.
| Описание |
Формула |
Значение
|
Ед.
|
| Заводская
настройка
передатчика |
| Частота |
f0 |
3.18 |
GHz |
| Длина
волны |
λ0 |
0.09427435786 |
м |
| Константы |
| Постоянная
скорость
света |
c |
299792458 |
м/с |
| Скорость
самолётов |
v |
850 |
м/с |
| Длины
волн
сигнала |
| Длина
волны
сигнала
удаляющемуся
самолёту |
λ1 |
0,09427462516 |
м |
| Длина
волны
сигнала
приближающемуся
самолёту |
λ2 |
0,09427409057 |
м |
| Скорости
исходящего
сигнала
относительно
передатчика
(расчёт
через сумму
скоростей) |
| Скорость
сигнала
удаляющемуся
самолёту |
c
+ v |
299793308 |
м/с |
| Скорость
сигнала
приближающемуся
самолёту |
c
- v |
299791608 |
м/с |
Скорости
исходящего
сигнала
относительно
передатчика
(расчёт
через
уравнение
скорости
волны)
Скорость
электромагнитной
волны =
Частота
передатчика
× Длина
волны на
приёмнике |
| Скорость
сигнала
удаляющемуся
самолёту |
f0
. λ1 |
299793308 |
м/с |
| Скорость
сигнала
приближающемуся
самолёту |
f0
. λ2 |
299791608 |
м/с |
Эта связь между скоростью волны, частотой и длиной волны
четко выражена в математике (c+v)(c-v)(*).
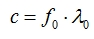
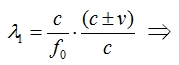
Заводская настройка источника сигнала 
[1]

Изменение длины волны
[2]

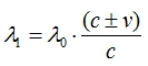
Из уравнений (1) и (2) мы выводим следующее третье уравнение.

Уравнение скорости волны
[3]
(c±v) : Скорость исходящего сигнала, f0 : Частота передатчика, λ1
: Длина волны сигнала, измеренная приемником
Это уравнение определяет правило скорости,
которому подчиняется сигнал, исходящий от передатчика.
Теперь мы уже знаем, что c±v в уравнении означает скорость ИСХОДЯЩЕГО сигнала
в системе отсчета передатчика.