14. УРАВНЕНИЯ
АЛИСЫ

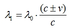
Мы видели, что изменение длины
волны в Доплеровском Смещении происходит следующим образом:



[1]
λ0 = Исходная длина волны
λ1 = Изменение длины волны
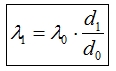
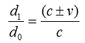
Также мы рассмотрели связь между расстояниями и скоростями сигналов в этом разделе:



[2]
d0 = Расстояние, пройденное ПРИХОДЯЩИМ сигналом, согласно приёмнику
c = Скорость ПРИХОДЯЩЕГО сигнала, согласно приёмнику
d1 = Расстояние, пройденное УХОДЯЩИМ сигналом, согласно передатчику
(c+v) = Скорость УХОДЯЩЕГО сигнала, согласно передатчику
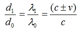
Следовательно, из [1] и [2] получаем [3]:



[3]
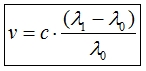
[3] через также можно получить следующие равенства [4], [5] и [6].
Я назвал эти равенства равенствами Алисы.
1) Изменение длины волны в зависимости от расстояний:



[4]
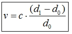
2) Методы вычисления значения v:


[5]
