13. О ЗНАЧЕНИИ "v" В МАТЕМАТИКЕ (c+v)(c-v)
В математике (c+v)(c-v) значение v имеет два смысла:
Это скорость относительного приближения или удаления двух систем отсчёта.
Это отклонение от скорости света.
В приведённых ранее примерах движения всегда происходили по оси X. По
этой причине мы могли напрямую использовать значение скорости "v" в
математике (c+v)(c-v) без необходимости его явного расчёта. Однако
такая ситуация возможна не всегда.
На следующем рисунке показано, как следует рассчитывать значение v для системы отсчёта, движущейся в любом направлении.



На рисунке представлены три отдельных кадра.
В каждом кадре самолёты движутся в разных направлениях (в направлении стрелки).
Мы рассматриваем это событие из системы отсчёта наблюдателя на земле.
Объясняю левый кадр.
Когда самолёт находится в точке B, сигнал, отправленный из точки A,
достигает самолёта в точке C.
Рисуем дугу с центром в A и радиусом, равным отрезку AB.
Проводим вторую прямую, соединяющую точку A с точкой C и пересекающую дугу.
Расстояние OC представляет собой значение v в математике (c+v)(c-v). Почему?
Применяем принципы. Предположим, что самолёт находится в покое в точке B.
Ему отправляется сигнал из точки A.
Так как для самолёта скорость сигнала, который к нему приходит, равна c,
можем определить время, за которое сигнал достигает самолёта.
Это время будет tΔ = AB/c.
Полученное tΔ время также применимо в системе отсчёта передатчика.
Однако, если мы внимательно посмотрим, сигнал достигает точки C,
следуя траектории AC с точки зрения наблюдателя на земле.
Следовательно, согласно наблюдателю на земле,
скорость сигнала, направленного к самолёту, будет c' = AC/tΔ.
Так как AC=AO+OC, можно определить расстояние OC,
которое определяет изменение скорости сигнала,
как значение скорости v, записав OC = v.tΔ.
Так как AO=AB, мы имеем AO =c. tΔ. Следовательно;
AC = c . tΔ + v . tΔ = tΔ . (c+v).
Это означает, что (c+v) является скоростью сигнала
с точки зрения наблюдателя на земле.
Расстояние OC также показывает, насколько два системы отсчёта
разошлись (или сблизились) друг с другом за время tΔ.
Таким образом, используя "время",
мы получили и подтвердили математическое выражение (c+v)(c-v).
В результате значение v представляет собой
относительную скорость между двумя системами отсчёта (v)
и в то же время изменение скорости света (c±v).
Чтобы вам было удобнее следить за темой, я включил ту же самую фигуру на этой странице.




Поговорим немного о точке C.
Расположение точки C определяется временем t
Δ,
прошедшим с момента излучения сигнала до его достижения самолёта.
Если обозначить скорость самолёта буквой "u",
за это время самолёт пройдёт расстояние BC = u . t
Δ в направлении стрелки.
13.1. ДОПЛЕРОВСКИЙ ТРЕУГОЛЬНИК

Если внимательно посмотреть, можно увидеть, что треугольник ABC на рисунке —
это очень особенный треугольник.
Я назвал этот уникальный треугольник "
Доплеровский треугольник".
Для "Доплеровского треугольника"
время прибытия сигнала
"tΔ" определяет длину его сторон.
AB = c . t
Δ
BC = u . t
Δ
AC= (c+v). t
Δ (для левого рисунка)
Также положение точки O является особенным. OC = v . t
Δ
Расчёты Доплеровского смещения должны основываться на этом особом треугольнике.
Выполним расчёты аналогичным образом для крайнего правого рисунка.
AB = c . t
Δ
BC = u . t
Δ
OC = v. t
Δ
AC= c . t
Δ - v. t
Δ = t
Δ . (c-v)
Следовательно, скорость сигнала, направляющегося к самолёту на правом рисунке, будет = c-v.
Если внимательно посмотреть:
Длина AB — это расстояние между источником сигнала и его целью
в момент излучения сигнала.
Длина AC — это расстояние между источником сигнала и его целью
в момент прибытия сигнала.
Запишем AC= (c±v). t
Δ, чтобы представить как левый, так и правый рисунки.
AB = c . t
Δ, поэтому если разделить обе стороны уравнения:

получаем следующее.

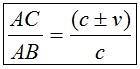
Это приводит нас к очень важному результату. Мы можем выразить это уравнение следующим образом:
| Расстояние
между
двумя
кадрами в
момент
прибытия
сигнала |
= |
Скорость
распространения
сигнала |
|
|
| Расстояние
между
двумя
кадрами в
момент
передачи
сигнала |
Постоянная
скорость
света |
|
Однако со временем я заметил, что в записи приведённого выше уравнения есть недочёт.
Я считаю, что правильнее выразить его следующим образом.
Подчеркну, что эти уравнения действительны только для инерциальных систем отсчёта.

| Пройденное
расстояние
исходящего
сигнала
относительно
передатчика |
= |
Скорость
исходящего
сигнала
относительно
передатчика |
|
|
| Пройденное
расстояние
входящего
сигнала
относительно
приемника |
Скорость
входящего
сигнала
относительно
приемника |
|


Продолжаем разбирать ту же фигуру.
Если применять принципы, уравнение становится легче для понимания.
Основываясь на примерах из рисунка, можно сказать следующее:
-
Путь, пройденный ИСХОДЯЩИМ сигналом согласно передатчику:
В системе отсчёта передатчика сигнал следует по линии AC и достигает самолёта в точке C.
Таким образом, путь, пройденный сигналом согласно передатчику, будет AC.
-
Путь, пройденный ВХОДЯЩИМ сигналом согласно приёмнику:
Вспомним принципы.
Если считать, что самолёт находится в покое в точке B,
тогда передатчик будет двигаться.
Передатчик излучает сигнал из точки A.
В этом случае, согласно системе отсчёта самолёта,
сигнал будет приходить по линии AB.
Следовательно, путь, пройденный сигналом в системе отсчёта самолёта, будет AB.
-
Скорость ИСХОДЯЩЕГО сигнала согласно передатчику:
Думаю, что мы уже достаточно изучили этот вопрос.
Скорость сигнала, направленного к движущемуся объекту,
всегда будет отличаться от "c" в системе отсчёта передатчика.
Существует только одно исключение из этого правила, о котором мы скоро поговорим.
-
Скорость ВХОДЯЩЕГО сигнала согласно приёмнику:
Мы уже видели, что в системе отсчёта приёмника
скорость поступающего сигнала всегда постоянна и равна "c".
Продолжаем разбирать ту же фигуру.



Что такое Синий Смещение, Мёртвая Точка и Красное Смещение в Доплеровском
Смещении?
Если электромагнитная волна направляется к движущемуся объекту,
её исходная длина волны изменяется в момент излучения,
как мы видели ранее.
Изменение длины волны также означает изменение энергии электромагнитной волны.
Синий Смещение означает увеличение энергии,
а Красное Смещение — уменьшение энергии.

● Красное Смещение
Левый рисунок на схеме.
Проявляется в виде удлинения длины волны сигнала.
Обозначается как (c+v). В этом случае выполняются следующие условия:
• AC > AB
• Скорость излучения сигнала > Скорость света (константа)
• Скорость сигнала, УХОДЯЩЕГО от передатчика > Скорость сигнала, ПРИХОДЯЩЕГО к приёмнику

● Мёртвая Точка
Средний рисунок на схеме представляет ситуацию "Мёртвая Точка".
Даже если обе системы отсчёта движутся относительно друг друга,
есть момент, когда Доплеровское Смещение не происходит.
В этом случае длина волны сигнала остаётся неизменной, и выполняются следующие условия:
• AC = AB
• Скорость излучения сигнала = Скорость света (константа)
• Скорость сигнала, УХОДЯЩЕГО от передатчика = Скорость сигнала, ПРИХОДЯЩЕГО к приёмнику = Скорость света (константа)

● Синий Смещение
Правый рисунок на схеме.
Проявляется в виде укорочения длины волны сигнала.
Обозначается как (c-v). В этом случае выполняются следующие условия:
• AB > AC
• Скорость света (константа) > Скорость излучения сигнала
• Скорость сигнала, ПРИХОДЯЩЕГО к приёмнику > Скорость сигнала, УХОДЯЩЕГО от передатчика

13.2. ДОПЛЕРОВСКИЙ ЧЕТЫРЁХУГОЛЬНИК



На рисунке выше показаны самолёты, движущиеся в разных направлениях и с разными скоростями,
относительно системы отсчёта наблюдателя на земле.
Слева и справа от рисунка представлены две разные ситуации.
На правой стороне рисунка самолёты движутся в противоположных направлениях.
Определим, как возникает Доплеровское Смещение между двумя самолётами. На рисунке:
Точки A и C — это координаты, в момент когда самолёты отправляют сигналы друг другу.
Точки B и D — это координаты, когда сигналы достигают самолётов.
Расстояния AB и CD — это пути, пройденные самолётами за время распространения сигнала.
Расстояние AC — это путь, пройденный сигналом с точки зрения приёмника.
Расстояние BD — это путь, пройденный сигналом с точки зрения передатчика.
Время прибытия сигнала для обоих самолётов будет tΔ = AC/c.


Рассмотрим изображение слева.
Мы видим, что образуется четырёхугольник ABDC.
Время прибытия сигнала "t
Δ" определяет длины сторон четырёхугольника ABCD.
Этот особый четырёхугольник я назвал "
Доплеровский Четырёхугольник".
Длины сторон Доплеровского Четырёхугольника ABCD:
AB = t
Δ . u
1
CD = t
Δ . u
2
AC = t
Δ . c
BD = t
Δ . (c±v)
u
1 и u
2 — это скорости самолётов (систем отсчёта).
v — это изменение скорости сигнала.
Если AC>BD, то v отрицательно; если AC<BD, то v положительно.

На правом изображении мы также видим Доплеровский Четырёхугольник ABDC.
Однако из-за того, что самолёты движутся в противоположных направлениях,
он складывается по двум сторонам.
Для этого четырёхугольника применимы те же уравнения, что и выше.

Если мы наблюдаем за событием извне и обе системы отсчёта движутся относительно нас,
то необходимо учитывать Доплеровский Четырёхугольник.