12. ИЗМЕНЕНИЕ ЧАСТОТЫ В ДОПЛЕРОВСКОМ СМЕЩЕНИИ

В электромагнитном взаимодействии между системами отсчёта, движущимися относительно друг друга,
частота сигнала изменяется аналогично его длине волны.
Однако здесь есть важная деталь: сдвиг частоты не происходит в источнике излучения сигнала,
а наблюдается в ПРИНИМАЕМОМ сигнале как Эффект Относительности.



На рисунке изображена ситуация сдвига частоты.
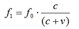
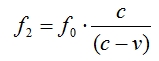
Передатчик излучает сигнал с частотой f0.
Горная станция примет этот сигнал на частоте f0,
удаляющийся самолёт — на частоте f1,
а приближающийся самолёт — на частоте f2.
Сдвиг частоты выражается следующими уравнениями.

|
Сдвиг частоты |
|
Системы удаляются друг от друга![]() |
Системы приближаются друг к другу
|

Выражения (c+v) и (c-v) в знаменателе дроби в уравнениях
представляют собой скорости сигналов, направляющихся к движущимся объектам
в системе отсчёта источника сигнала. Здесь они поют ту же самую песню.
"Мы – скорости сигналов, идущих от передатчика к самолётам.
Мы – скорости сигналов, идущих от передатчика к самолётам."
![]()
|
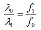
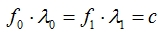
Из-за равенства между частотами и длинами волн на стороне приёмника и передатчика,
.Тема сдвига частоты будет рассмотрена более подробно в будущем. Пока что остановимся на этом.

