banner
CORRECCIÓN DEL GRAN ERROR
EN LA TEORÍA ELECTROMAGNÉTICA
Y
TRANSICIÓN A LA LEY DE ALICE
Han Erim
Investigador
Independiente
11 de agosto de 2025
DOI:
https://zenodo.org/records/17919673


I – PRÓLOGO

En la Teoría Electromagnética actual, la velocidad de la luz se ha
aceptado como constante para todos los
sistemas de referencia y se simboliza con la constante
“
c”.
Sin embargo, según el
sistema de
referencia del objeto
que emite la luz, la velocidad de la señal luminosa emitida con
frecuencia es diferente del valor “
c”.
Esto se debe a un fenómeno denominado
desplazamiento
Doppler,
que cambia la longitud de onda de la señal luminosa emitida, y la
velocidad de la señal emitida se determina mediante la ecuación de "
Velocidad de
onda".
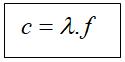
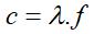
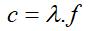
ECUACIÓN DE VELOCIDAD DE ONDA
Velocidad de onda = Longitud de onda × Frecuencia de la onda

En este estudio se ha establecido, basándose en las ecuaciones de
Velocidad de Onda y Desplazamiento Doppler, que la velocidad de la luz
varía con respecto a los sistemas de referencia. Este resultado ha
demostrado que, en la Teoría Electromagnética actual, debe adoptarse
como fundamento el enfoque que he denominado la
Ley de Alice, basado en la
matemática (c+v)(c−v).
II – INTRODUCCIÓN

Si el
Objeto Fuente que emite
la señal
y el
Objeto Destino que la
recibe
están
en reposo uno respecto
al otro,
entonces, según el Objeto Fuente, la velocidad de la señal
es constante, es decir, “
c”.

Si el Objeto Fuente y el Objeto Destino están en reposo uno respecto al
otro,
entonces, según el marco de referencia del Objeto Fuente, la velocidad
de la señal luminosa emitida
es “c”.
|

Sin embargo, si el Objeto Fuente y el Objeto Destino
se mueven uno respecto al
otro,
la frecuencia de emisión de la señal no cambia,
pero
la longitud de onda de la señal
sí cambia. En este caso,
como la velocidad de onda se determina según la longitud de onda
modificada,
la velocidad de la señal emitida será diferente del valor “
c”.

Si el Objeto Fuente y el Objeto Destino se mueven uno respecto al
otro,
entonces, según el marco de referencia del Objeto Fuente, la velocidad
de la señal luminosa emitida
es diferente de “c”.
|

Para el
Objeto Destino que
recibe la señal,
la situación es diferente. Según el propio marco de referencia de un
objeto,
la velocidad de una señal luminosa entrante siempre es constante y
igual a “c”. Este es un resultado
obtenido mediante medición, y por esta razón en física existe la
constante “
c”.

Si el Objeto Fuente y el Objeto Destino están en reposo uno respecto al
otro,
entonces, según el marco de referencia del Objeto Destino, la velocidad
de la señal luminosa entrante
es “c”. La longitud de onda y la frecuencia de la señal entrante son
las mismas que la longitud de onda y la frecuencia
de la señal emitida por el Objeto Fuente.
|

Sin embargo, si el Objeto
Fuente y el Objeto Destino se mueven uno con respecto al otro, la
velocidad de la señal luminosa que llega al Objeto Destino seguirá
siendo “
c”. Sin embargo, debido
al cambio en la longitud de onda de la señal emitida, para el Objeto
Destino tanto la longitud de onda como la frecuencia de la señal
entrante serán diferentes.

Si el Objeto Fuente y el Objeto Destino se mueven uno respecto al
otro,
entonces, según el marco de referencia del Objeto Destino, la velocidad
de la señal luminosa entrante
es “c”, pero la longitud de
onda y la frecuencia
de la señal han cambiado.
|

En este estudio, se ha demostrado matemáticamente que la luz se
comporta como se describe aquí. Como resultado, en la Teoría
Electromagnética es necesario pasar a la matemática mostrada aquí,
denominada matemática (c+v) (c-v).
III –
MÉTODO Y RESULTADOS

Inicio del evento, Figura 1:

Como punto de partida, describiré un “
Evento”
y luego desarrollaré el tema.

Como se ve en la figura a continuación, en la posición
A
hay tres Objetos Destino (cajas) y
en la posición
B hay tres
Objetos Fuente
(lámparas). Las cajas son idénticas entre sí. Las lámparas son
idénticas entre sí.

Al inicio del evento, los Objetos Destino y los Objetos Fuente están
en reposo en sus respectivas
posiciones A y B.

Comienza el evento,
Figura
2:
Las
tres lámparas se encienden al mismo tiempo, y simultáneamente la
Lámpara 2 se mueve alejándose de las cajas, mientras que la Lámpara 3
se mueve hacia las cajas. Llamo
"v"
a la velocidad de las lámparas. Ambas lámparas se mueven a la misma
velocidad pero en direcciones opuestas.
Desarrollo del evento,
Figura 3
Mientras la luz emitida por las lámparas viaja hacia sus respectivos
destinos, la Lámpara 2 y la Lámpara 3 continúan moviéndose en sus
respectivas direcciones. Acepto como un hecho básico de la física que
la velocidad de los rayos de luz que se dirigen hacia los Objetos
Destino es
“c” con respecto a
estos. Como las lámparas están en la posición B y se encienden al mismo
tiempo, las distancias desde las cajas hasta los rayos de luz que se
aproximan siempre serán iguales.

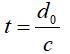
Fin
del evento, Figura 4
Como las luces se encendieron cuando las lámparas estaban en la
posición B, las
luces llegan a sus destinos en la posición A al mismo tiempo y en un
tiempo “t”
(
). En
el
momento en que las luces llegan, muestro en
la figura las distancias de las lámparas a las cajas.

Después de
expresar las dimensiones matemáticamente, podemos ver fácilmente que la
afirmación de que la velocidad de la luz es “c” en todos los marcos de
referencia no es posible y
constituye una información muy incorrecta.

Los datos obtenidos hasta ahora se muestran a continuación en una tabla.
TABLA DE VALORES
Tiempo de
llegada de la luz:
|
|
Distancias entre las Cajas y las Lámparas en el momento en que la luz
llega a las cajas:
|
Caja 1 -
Lámpara 1
|
|
Caja 2 -
Lámpara 2
|
|
Caja 3 -
Lámpara 3
|
|
Velocidades de las señales luminosas emitidas por las lámparas según sus
propios marcos de referencia:
|
Lámpara 1
|
|
| Lámpara 2 |
|
| Lámpara 3 |
|
Velocidades de las señales luminosas entrantes hacia las cajas según sus
propios marcos de referencia:
|
Caja 1
|
|
Caja 2
|
|
Caja 3
|
 |
Como se ve en la “Tabla de valores”, los valores
(c+v)
y
(c-v) representan, en
significado, las
velocidades
de las señales de luz emitidas
según
los propios marcos de referencia de las lámparas.

Debido a que la velocidad
de la luz varía según los marcos de referencia, la velocidad de una
señal luminosa solo puede definirse correctamente mediante la “
Matemática (c+v)
(c-v)”. Y la
Ley de Alice es la Teoría
Electromagnética que utiliza esta matemática.
Por lo tanto, cuando se indica que se ha adoptado la “
Ley de Alice”, se
está indicando que
se ha adoptado la Matemática (c+v) (c-v).
Universalidad del
evento, Figura 5

Al describir el “Evento”,
mencioné que en el estado inicial las Lámparas y las Cajas estaban en
reposo. Sin embargo, en el universo no existe ningún objeto que esté
realmente en reposo. Incluso si las Lámparas y las Cajas están en
reposo entre sí, esto no significa que no se estén moviendo.
Consideremos que el “Evento” que describimos aquí ocurre dentro de un
marco de referencia superior. Este marco superior puede moverse en
cualquier dirección y a cualquier velocidad. No obstante, el “Evento”
ocurre exactamente de la misma manera y sin ningún cambio. En física,
esta situación se explica mediante el
Principio
de Relatividad de Galileo.

| Principio
de Relatividad de Galileo: Las
leyes fundamentales de la física son las mismas en todos los marcos de
referencia que se mueven a velocidad constante entre sí. |

Por lo tanto, en el
“Evento” descrito aquí, los valores que hemos calculado para las
distancias y velocidades son los correctos y en los que debemos
confiar. Dado que hemos incorporado el Principio de Relatividad de
Galileo en la lógica del “Evento”, podemos formular un principio
coherente para el comportamiento de la luz de la siguiente manera:
| Velocidad
de la luz universal:
En el espacio vacío, la luz viaja a la velocidad constante c, con
respecto al marco de referencia de su destino, independientemente de la
fuente que la emita. |
Desarrollo del evento y
longitudes de onda,
Figura 6

En esta etapa, al
añadir las longitudes de onda de la luz emitida al “Evento” que estamos
examinando, llegaremos a conclusiones importantes. Expresemos ahora las
distancias

en términos de longitudes de onda.

Se ha supuesto que las
lámparas son idénticas entre sí. Por lo tanto, las frecuencias de la
luz emitida por las tres lámparas son iguales. Definamos este valor de
frecuencia como

.
La frecuencia

es un valor
común para las tres lámparas.

Supongamos que los fotones
que forman la luz de las lámparas son emitidos uno por uno y de forma
sucesiva por las lámparas. Numeremos los fotones según su orden de
emisión y, además, representemos la longitud de onda de cada fotón como
una onda sinusoidal completa. Como se muestra en la figura siguiente,
se emite el fotón número 1, seguido por el fotón número 2, y la emisión
de la luz continúa de esta manera. Supongamos que, en el momento en que
los fotones número 1 llegan a sus destinos, la emisión de los fotones
número “n” se ha completado. En consecuencia, en el momento de la
llegada de la luz, la situación de los fotones será como se muestra en
la figura siguiente.

Prestemos atención aquí.
Debido a que las frecuencias de las lámparas son iguales, las tres
lámparas han emitido “n” fotones dentro del mismo tiempo “t”. Sin
embargo, las longitudes de onda de la luz emitida no son iguales. Como
“Caja 2 y Lámpara 2” y “Caja 3 y Lámpara 3” se mueven una con respecto
a la otra, las longitudes de onda de las señales luminosas emitidas por
la Lámpara 2 y la Lámpara 3 han cambiado.

Si tomamos como referencia la longitud de onda de la luz emitida por la
"Lámpara 1":
La longitud de onda de la luz emitida por la "Lámpara 2" ha
aumentado.
La longitud de onda de la luz emitida por la "Lámpara 3" ha
disminuido.

El cambio en la longitud de onda causado por el movimiento relativo
entre el Objeto Fuente y el Objeto Destino se conoce en física como
Desplazamiento Doppler,
y la figura anterior nos muestra la formación de este desplazamiento. Y
nuevamente, observemos que la luz (fotones) se emite ya con
longitudes de onda
modificadas. En
el Desplazamiento Doppler, el cambio en la longitud de onda ocurre en
el Objeto Fuente y
durante la emisión
de la señal luminosa.
El cambio en la longitud de onda causado por el movimiento relativo
entre el Objeto Fuente y el Objeto Destino se conoce en física como
Desplazamiento Doppler,
y la figura anterior muestra la formación de este fenómeno. Y,
nuevamente, observe que cuando la luz (fotones) se emite, ya se emite
con
una longitud de onda modificada.
En el desplazamiento Doppler, el cambio de longitud de onda ocurre en
el Objeto Fuente y
durante la emisión
de la señal luminosa.
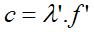
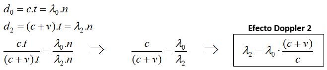
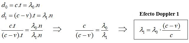
Obtención de las
ecuaciones de velocidad de onda para los Cuerpos Fuente y los Cuerpos
Objetivo:

Primero, reescribamos aquí la ecuación general del Desplazamiento
Doppler que obtuvimos arriba:


1) Según el propio marco de
referencia del Cuerpo Fuente, escribamos la velocidad de la señal
luminosa enviada a un Cuerpo Objetivo
estacionario:


2) Utilizando las dos ecuaciones anteriores, según el propio marco de
referencia del Cuerpo Fuente, escribamos la velocidad de la señal
luminosa enviada a un Cuerpo Objetivo
en
movimiento:
 |
Según
el marco de referencia del Cuerpo Fuente, velocidad de la señal enviada
al Cuerpo Objetivo en movimiento |
 |
Longitud
de onda de la señal emitida por el Cuerpo Fuente que ha sufrido
Desplazamiento Doppler |
 |
Frecuencia
de emisión de la señal en el Cuerpo Fuente |

3) Según el marco de referencia del Cuerpo Objetivo, la longitud de
onda de la señal proveniente de un Cuerpo Fuente
estacionario
no cambiará. Midiendo la longitud de onda de la señal recibida, podemos
encontrar su frecuencia. El valor de la frecuencia obtenido será el
mismo que el de la fuente. Luego podemos escribir la ecuación de
velocidad de onda para la señal recibida:

4) Según el marco de referencia del Cuerpo Objetivo, si la señal
recibida fue emitida por un Cuerpo Fuente
en movimiento, la señal llegará
igualmente con la velocidad “
c”,
pero su longitud de onda habrá cambiado debido al Desplazamiento
Doppler. Definamos la longitud de onda modificada como

.
Luego, calculando la frecuencia, podemos escribir la ecuación de
velocidad de onda.
 |
Según
el propio marco de referencia del Cuerpo Objetivo, velocidad de la
señal que le llega desde un Cuerpo Fuente en movimiento |
 |
1-
Longitud de onda de la señal emitida por el Cuerpo Fuente. Debido al
Desplazamiento Doppler, la longitud de onda ha cambiado.
2- Longitud de onda de la señal que llega al Cuerpo Objetivo. |
 |
Para
el Cuerpo Objetivo, la frecuencia de la señal que recibe. |
IV –RESULTADOS Y DISCUSIÓN

Aquí se podría decir mucho, pero yo solo diré esto:
Reconozcan el gran error cometido en el pasado dentro de la teoría de
la física y diríjanse de inmediato hacia lo correcto. La información
proporcionada en esta publicación forma parte del conocimiento básico
de la física, y es información que toda persona que se dedique a la
ciencia de la física —ya sea de forma amateur o profesional, joven o
mayor, estudiante o profesor— debe aprender y comprender. Y, por
supuesto, ustedes serán responsables de este conocimiento: a nivel
personal, como educadores y como instituciones.

Y les pido encarecidamente que no involucren a Albert Einstein en este
asunto. Con sus aciertos y sus errores, él expresó sus propias ideas.
En esta publicación queda muy claro que la Teoría de la Relatividad no
es una teoría válida. Lo que deben hacer es orientarse hacia lo que es
correcto.
V –
BIBLIOGRAFÍA

Encontré estas
publicaciones hace unos veinticinco años, cuando comencé a trabajar en
la Ley de Alice. Estos trabajos muestran que las cosas no marchan bien
dentro de la Teoría de la Relatividad. Gracias a estos estudios, pude
encontrar la fuerza para continuar desarrollando la Ley de Alice.
Quiero agradecer aquí a los autores de estas publicaciones.
The GPS and the Constant Velocity of
Light
Paul Marmet, Professor, Physics, Laval University, Québec, Canada
1962-83, Senior Research Officer, National Research Council of Canada
1983-90
Successful GPS Operations Contradict
the Two Principles of Special Relativity
and Imply a New Way for Inertial Navigation – Measuring Speed Directly
Ruyong Wang, St. Cloud State University, St. Cloud, Minnesota, United
States
Clock Behavior and the Search for an
Underlying Mechanism for Relativistic Phenomena
Ronald R. Hatch, NavCom Technology, Inc
Lunar Laser Ranging Test Of The
Invariance Of C
Daniel Y. Gezari
NASA/Goddard Space Flight Center, Laboratory for ExoPlanets and Stellar
Astrophysics,
One-Way Light Speed Determination
Using the Range Measurement Equation of the GPS
Stephan J. G. Gift
Department of Electrical and Computer Engineering Faculty of
Engineering
The University of the West Indies St. Augustine, Trinidad, West Indies
Resolving Spacecraft Earth-Flyby
Anomalies with Measured Light Speed Anisotropy
Reginald T. Cahill
School of Chemistry, Physics and Earth Sciences, Flinders University,
Adelaide 5001, Australia
Link