banner
6.1. CASO
(C+V), LOS MARCOS SE ALEJAN ENTRE SÍ

Primero analizamos la situación
desde la perspectiva del Marco A. El Marco A considera que está en
reposo y que el Marco B se aleja de él a una velocidad de v.


En el sistema de referencia del Marco A, el evento
ocurre así:
1.1 - Cuando el Marco B está a una distancia d0, el Marco A
le envía una señal.
1.2 - La señal llega al Marco B cuando este está a una distancia d1.
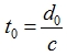
El tiempo de llegada de la señal se calculó previamente en la sección
de SEÑALES ENTRANTES.
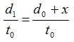
Tiempo de llegada de la señal: 
Ahora determinemos la distancia:
En el momento del envío de la señal, el Marco B está a una distancia d0
del Marco A.
Durante el tiempo que transcurre desde el envío hasta la llegada de la
señal, el Marco B avanza una distancia x en la dirección de la flecha
roja. 
La señal enviada desde el Marco A debe recorrer una distancia d1
para llegar al Marco B. 
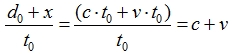
Dado que conocemos la distancia y el tiempo, ahora podemos calcular la
velocidad de la señal:
Velocidad de la señal = distancia / tiempo = 
Por lo tanto, en el sistema de referencia del Marco A;
Velocidad de la SEÑAL SALIENTE = 

|
Con
respecto al Marco A; la velocidad de la señal que envía al Marco B =
c+v
|

Cuando los
marcos se alejan entre sí, también podemos analizar la situación desde
la perspectiva del Marco B, considerándolo en reposo y el Marco A en
movimiento. Sin embargo, dado que los cálculos serán completamente
similares y conducirán al mismo resultado, no es necesario repetirlos
aquí.
6.2. CASO
(C-V), LOS MARCOS SE ACERCAN ENTRE SÍ

Primero analizamos la situación
desde la perspectiva del Marco A. El Marco A considera que está en
reposo y que el Marco B se acerca a él a una velocidad de v.


En el sistema de referencia del Marco A, el evento
ocurre así:
1.1 - Cuando el Marco B está a una distancia d0, el Marco A
le envía una señal.
1.2 - La señal llega al Marco B cuando este está a una distancia d1.
El tiempo de llegada de la señal se calculó previamente en la sección
de SEÑALES ENTRANTES.

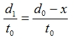
Tiempo de llegada de la señal: 
Ahora determinemos la distancia:
En el momento del envío de la señal, el Marco B está a una distancia d0
del Marco A.
Durante el tiempo que transcurre desde el envío hasta la llegada de la
señal, el Marco B avanza una distancia x en la dirección de la flecha
roja. 
La señal enviada desde el Marco A debe recorrer una distancia d1
para llegar al Marco B. 
Dado que conocemos la distancia y el tiempo, ahora podemos calcular la
velocidad de la señal:
Velocidad de la señal = distancia / tiempo = 
Por lo tanto, en el sistema de referencia del Marco A;
Velocidad de la SEÑAL SALIENTE = 

|
Con
respecto al Marco A; la velocidad de la señal que envía al Marco B =
c-v
|
Cuando los
marcos se acercan entre sí, también podemos analizar la situación desde
la perspectiva del Marco B, considerándolo en reposo y el Marco A en
movimiento. Sin embargo, dado que los cálculos serán completamente
similares y conducirán al mismo resultado, no es necesario repetirlos
aquí.
A partir del análisis de las
SEÑALES SALIENTES, podemos escribir otro resultado importante y valioso.
|
SEÑALES SALIENTES
La velocidad de la señal (onda
electromagnética) con respecto al sistema de referencia de la fuente
emisora será (c+v) si se aleja y (c-v) si se acerca. Aquí, c es la
constante de la velocidad de la luz y v es la velocidad relativa de
alejamiento/acercamiento entre los dos sistemas de referencia.
|
Como se puede ver, para que la
velocidad de la señal con respecto al sistema de referencia de la
fuente emisora permanezca constante en "c", el destino de la señal debe
estar en reposo con respecto a la fuente. En cualquier otro caso, la
velocidad de la señal será diferente de la velocidad de la luz.
6.3.
SEÑALES ENTRANTES Y SALIENTES
Así, hemos visto que las SEÑALES ENTRANTES y SALIENTES deben
considerarse por separado para cada sistema de referencia. Sin embargo,
aquí falta un aspecto: hasta ahora no se han medido las velocidades de
las SEÑALES SALIENTES. Este es precisamente un gran error en la física.
Según el modelo correcto, la velocidad de una señal que se dirige a un
objetivo en movimiento debería ser (c±v), pero debido a la falta de
mediciones, se tomó una decisión errónea y se aceptó como "c".
Cualquier medición en esta dirección confirmará sin duda la Ley de
Alice. Lo digo con total confianza.

Quiero llamar su atención sobre
el hecho de que el valor "c" para las SEÑALES ENTRANTES se basa
completamente en el Principio de Velocidad de la Luz de Albert
Einstein. Puede parecer que este principio entra en conflicto con las
velocidades de las SEÑALES SALIENTES, pero, como mencioné antes, no es
tan simple. Lo importante es desde qué perspectiva se observa este
principio. Al leer la última parte, podrá reconsiderar este tema.
Quiero enfatizar que sin basarse en este principio, no sería posible
derivar las matemáticas de (c+v) (c-v). Como se puede ver aquí, para
llegar a la ecuación (c+v) (c-v), primero tomé como base su principio
para las SEÑALES ENTRANTES y luego utilicé el tiempo obtenido (t
0
= d
0 / c) para calcular las velocidades de las SEÑALES
SALIENTES.

Puede parecer que todo lo
escrito en esta sección, donde se deriva la ecuación de (c+v) (c-v), es
muy simple, y preguntarse por qué los científicos del pasado no
pudieron verlo. Sin embargo, pensar así sería una gran injusticia para
estos grandes científicos. Lo que está escrito aquí no es nada simple.
La Ley de Alice solo logró esta claridad y simplicidad después de
muchos años de desarrollo. La física es difícil, realmente difícil.
6.4. TEORÍA
ELECTROMAGNÉTICA Y MATEMÁTICAS (c+v) (c-v)

Así, les he mostrado que la luz
y, en general, todas las ondas electromagnéticas obedecen a la
matemática (c+v) (c-v). A partir de este punto, les explicaré las
consecuencias de la matemática (c+v) (c-v). Ahora que tenemos una base
matemática y hemos visto cómo se forma esta matemática, podemos
analizar sus resultados con confianza, prever sus implicaciones,
comprenderlas y llegar a muchas conclusiones.

Por supuesto, debe haber una
razón muy importante en la naturaleza que dé origen a la matemática
(c+v) (c-v). Sin embargo, en este momento no cuestionaremos esa razón.
Porque el hecho de no conocer la razón no cambia la existencia de la
matemática (c+v) (c-v). Por lo tanto, he decidido primero explicar los
temas que considero más urgentes e importantes. Traté las razones que
conducen a la matemática (c+v) (c-v) en los capítulos tercero y cuarto
del libro.

El hecho de que haya llamado a
mi trabajo la "Ley de Alice" y de que la matemática (c+v)(c-v) haya
entrado en la física no cambia el panorama general. La imagen general
es que todos estos cambios en realidad ocurren dentro de la Teoría
Electromagnética. Estos cambios pueden clasificarse en tres categorías
principales.
La matemática
(c+v)(c-v) representará a partir de ahora la matemática de la Teoría
Electromagnética. Así, la matemática de la Teoría Electromagnética
adquirirá una estructura capaz de describir correctamente la
interacción electromagnética entre sistemas de referencia en movimiento.
La Teoría de la Relatividad
desaparecerá completamente junto con todas sus consecuencias.
Se ha formado un puente sólido
entre la Mecánica Clásica y la Teoría Electromagnética.

En este punto, la mayor tarea de
los científicos es realizar la medición que hasta ahora no se ha
llevado a cabo y ha pasado desapercibida. Si miden la velocidad de una
señal que va hacia un objeto en movimiento, confirmarán
experimentalmente la existencia de la matemática (c+v) (c-v) en la
naturaleza.
Link