DESPLAZAMIENTO DE VELOCIDAD (SPEED SHIFT)
![]()
Han Erim
Septiembre 2018
![]()
Actualización 8 de diciembre de 2023
![]()
![]()
Uno de los efectos de la relatividad es el "DESPLAZAMIENTO DE VELOCIDAD".
El Desplazamiento de Velocidad ocurre cuando las velocidades del Objeto Fuente
y del Objeto Imagen son diferentes.
El Desplazamiento de Velocidad es un efecto relativista significativo. Cuando se trata de altas velocidades,
este efecto se convierte en un tema de gran importancia que debe ser considerado.
![]()
Debido a que los Objetos Fuente son invisibles, las mediciones realizadas
mediante observación visual proporcionan valores de velocidad pertenecientes a los
Objetos Imagen. Como la velocidad de un Objeto Imagen es diferente de la del
Objeto Fuente, una medición visual no proporciona la velocidad real del Objeto
Fuente. Para determinar la velocidad real del objeto, es necesario realizar una
corrección sobre el valor observado.
![]()
Utilizando las figuras numeradas 1, 2 y 3, que representan diferentes fases del
mismo evento, le mostraré cómo y por qué ocurre el fenómeno del Desplazamiento de Velocidad.

En el evento, hay un observador y un avión en movimiento.
Analizamos la secuencia del evento comenzando con la Figura 1.
![]()
Figura 1:
![]()
El avión (Objeto Fuente) avanza en la dirección de la línea AC con una velocidad "u".
Cuando el avión está en el punto A, consideramos una señal que parte en ese
momento y se dirige hacia el observador (Señal_1).
La Señal_1 seguirá la línea d0 hasta llegar al observador.
![]()
Figura 2:
![]()
Cuando la señal llega al observador, el avión (Objeto Fuente) ha alcanzado el punto B.
El observador ve el avión (Objeto Imagen) en el punto A con la señal que le ha llegado.
Si observamos con atención, los puntos O, A y B forman un Triángulo Doppler.
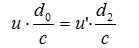
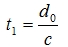
Escribamos el tiempo que tarda la señal en llegar al observador desde el punto A:
![]()
![]()
[1]
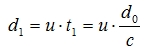
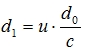
Calculemos la distancia d1:
![]()

[2]
u:
Velocidad del avión (Objeto Fuente)
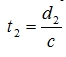
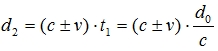
Calculemos la distancia d2:
Dado que el triángulo OAB forma un Triángulo Doppler, podemos escribir la ecuación [3].
![]()

[3]
El valor "v" en la ecuación [3] representa la velocidad relativa de
acercamiento/alejamiento entre los dos sistemas de referencia (el
observador y el avión). No debe confundirse con la velocidad del avión.
(El signo ±: Si el Objeto Objetivo y el Objeto Fuente se están alejando, toma el valor "+",
si se están acercando, toma el valor "-").
![]()
Puede preguntarse: "Si la señal es enviada por el avión, ¿cómo puede el triángulo OAB ser un Triángulo Doppler?"
Déjeme aclarar este punto.
![]() |
En la figura de la derecha, vemos la línea roja d2,
que es paralela y de igual longitud que la línea negra d2.
Supongamos que esta línea está vinculada al avión y se mueve junto con él.
Esta es la trayectoria que seguirá la señal en dirección al observador
según el sistema de referencia del avión. Notemos que cuando el avión alcanza el punto B, la línea roja d2 y la línea negra d2 se superponen, y la señal llega al observador. Por lo tanto, podemos usar el tiempo de llegada de la señal para calcular la longitud de la línea d2. La longitud de la línea d2 es:
(c±v) representa la velocidad de la señal en dirección al observador en el sistema de referencia del avión. |
![]()
Continuamos con la figura principal. Para facilitar el seguimiento, mostramos nuevamente la Figura 2.

Figura 2 continuación:
![]()
Analicemos otra señal (Señal_2) emitida desde el avión (Objeto Fuente)
cuando la Señal_1 llega al observador en el punto B.
![]()
Figura 3:
![]()
Cuando la Señal_2 llega al observador siguiendo la línea d2,
el observador ve el avión (Objeto Imagen) en el punto B.
En ese momento, el avión (Objeto Fuente) está en el punto C.
Notemos que el triángulo OBC también forma un Triángulo Doppler.
Determinemos el tiempo que tarda la Señal_2, emitida desde el punto B, en llegar al observador:
![]()

[4]
Así, hemos obtenido todos los datos necesarios para calcular la velocidad del Objeto Imagen.
![]()
Cálculo de la velocidad del Objeto Imagen:
![]()
Si determinamos cuánto tiempo tarda el Objeto Imagen en recorrer la
distancia d1, podemos calcular su velocidad. La diferencia
de tiempo entre la llegada de la Señal_1 y la Señal_2 al observador
nos indicará cuánto tiempo tardó el Objeto Imagen en recorrer
la distancia d1. Esta diferencia se expresa de la siguiente manera:
| Diferencia de tiempo entre la llegada de la Señal_1 y la Señal_2 al observador | = | Tiempo que el avión tarda en recorrer la distancia d1 | + | Tiempo de llegada de la Señal_2 al observador |
- | Tiempo de llegada de la Señal_1 al observador |
Sustituyamos los valores:
![]()
![]()
[5]
(Para calcular el tiempo que el avión tarda en recorrer la distancia d1,
usé d0/c en lugar de d1/u, ya que d1/u = d0/c)
Sustituyamos los valores:
![]()
![]()
[5]
(Para calcular el tiempo que el avión tarda en recorrer la distancia d1,
usé d0/c en lugar de d1/u, ya que d1/u = d0/c)
![]()
| Diferencia de tiempo entre la llegada de la Señal_1 y la Señal_2 al observador |
= | Tiempo que el Objeto Imagen tarda en recorrer la distancia d1 respecto al observador |
Como resultado, el Objeto Imagen recorre la distancia d1 en
tiempo.
![]()
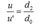
Cálculo de la velocidad del Objeto Imagen
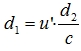
Si designamos la velocidad del Objeto Imagen como u':
. [6]
Para el Objeto Fuente, la ecuación es:
. [2]
Usando [6] y [2], podemos escribir la siguiente ecuación:
![]()
![]()
[7]
y de aquí obtenemos [8]:
![]()

[8]
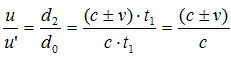
Dado que OAB es un Triángulo Doppler, anteriormente escribimos las ecuaciones [1] y [3]:
![]()
![]()
[1]
![]()
![]()
[3]
Sustituyendo estos valores en [8], obtenemos:
![]()

[9]
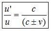
Así, obtenemos la ecuación final [10], que describe la relación entre
la velocidad del Objeto Imagen y la velocidad del Objeto Fuente.
La relación entre ambas velocidades se expresa en la siguiente ecuación:
![]()

[10]
u : Velocidad del Objeto Fuente.
u' : Velocidad del Objeto Imagen.
c : Velocidad de la luz (constante).
v : Velocidad relativa de alejamiento/acercamiento entre el Objeto Fuente y el Observador.
![]()
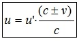
Por supuesto, la velocidad real de un objeto está representada por
la velocidad del Objeto Fuente. Por lo tanto, para determinar la
velocidad real de un objeto observado, se debe utilizar la siguiente ecuación:
![]()
![]()

[11]
Por otro lado, las ecuaciones [10] y [11] también pueden interpretarse de la siguiente manera:
|
Prestemos atención a lo siguiente:
La velocidad del Objeto Fuente es la velocidad válida en el Espacio-Tiempo Absoluto.
La velocidad del Objeto Imagen es la velocidad válida en el Espacio-Tiempo Visible.
Por lo tanto, también es apropiado introducir los conceptos de "Velocidad Absoluta" y "Velocidad Aparente".
![]()
Velocidad Absoluta: La velocidad de un objeto (Objeto Fuente) en el Espacio-Tiempo Absoluto.
![]()
Velocidad Aparente: La velocidad de un objeto (Objeto Imagen) en el Espacio-Tiempo Visible.
Gracias por leer.
Atentamente,
Han Erim

