¿QUÉ SIGNIFICA EL CAMBIO DE LONGITUD DE ONDA?
Han Erim
Junio 2018
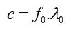
CONFIGURACIÓN DE FÁBRICA DE UN TRANSMISOR DE SEÑAL:
Velocidad de la señal = frecuencia × longitud de onda
DESPLAZAMIENTO DOPPLER Y CAMBIO EN LA LONGITUD DE ONDA:
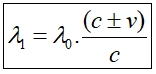
En la ecuación Doppler anterior, (c+v) representa la velocidad de la señal con respecto al sistema de referencia del transmisor. Esto se ha demostrado repetidamente en el libro.
A partir de las dos ecuaciones anteriores, se obtiene
la siguiente igualdad.
![]()
CON RESPECTO A LA FUENTE DE LA
SEÑAL:
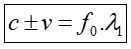
VELOCIDAD DE LA SEÑAL DIRIGIDA A UN
OBJETIVO EN MOVIMIENTO:
Velocidad de la señal = Frecuencia del transmisor × Longitud de onda modificada
![]()

SIGNIFICADO DEL CAMBIO EN LA
LONGITUD DE ONDA:
![]()
|