banner
35.
EXPERIMENTOS RELACIONADOS CON LA LEY DE ALICE
Las matemáticas de (c+v)(c-v)
nos ofrecen grandes oportunidades para comprender la estructura
fundamental de nuestro universo. La Ley de Alice tiene la capacidad de
eliminar muchas preguntas que aún esperan respuesta.
Existen numerosos experimentos
que deben realizarse en relación con las matemáticas de (c+v)(c-v).
Muchos de ellos tienen una importancia crucial. Ni siquiera menciono la
esperada medición de la velocidad de la señal dirigida a un objetivo en
movimiento. Hay otros experimentos, por ejemplo:
Es lógicamente
evidente que el cambio en la longitud de onda ocurre en la fuente, pero
es necesario confirmar experimentalmente que este cambio ocurre de
manera independiente de la distancia y simultáneamente. Este es un tema
de extrema importancia. Si no se tiene certeza en este aspecto y no se
cuenta con evidencia experimental, el desarrollo de teorías coherentes
sobre la fuerza de la gravedad y la fuerza de la carga eléctrica será
imposible. Por supuesto, se pueden desarrollar teorías, pero nunca se
podrá estar seguro de sus resultados.
Es fundamental determinar la
velocidad de la señal RECIBIDA con respecto a un sistema de referencia
que se mueve con aceleración. Este experimento podría realizarse
incluso dentro del ámbito de la física general, pero, por alguna razón,
aún no se ha llevado a cabo. Y tampoco es una medición difícil.
Es necesario medir la velocidad
de la señal TRANSMITIDA desde un sistema de referencia estacionario
hacia un objeto que se mueve con aceleración. Solo con los datos
obtenidos de este experimento será posible desarrollar la matemática de
(c+v)(c-v).
Es imprescindible comprender
cómo se produce el efecto Doppler entre sistemas de referencia en
movimiento acelerado relativo. Actualmente, no contamos con suficiente
información sobre este tema.
Se debe determinar si la fuerza
gravitatoria causa un desplazamiento Doppler. En 1959 se llevó a cabo
un experimento (Pound-Rebka experiment), pero sus resultados fueron
analizados dentro del marco de la teoría de la relatividad. Es
necesario repetir este experimento considerando la matemática de
(c+v)(c-v).
Las ecuaciones del
desplazamiento Doppler en movimientos rotacionales deben ser revisadas
basándose en la matemática de (c+v)(c-v). Las hipótesis teóricas deben
ser contrastadas con experimentos.
Se debe llevar a cabo la
medición del "Desplazamiento de Byte" y confirmarla experimentalmente.
Es necesario determinar si las
longitudes de onda de las señales electromagnéticas que llegan a una
sonda espacial desde las estrellas cambian en paralelo a su
aceleración. La información obtenida de este experimento podría
revolucionar la física, pero actualmente no disponemos de ella.
Se deben
realizar experimentos como estos para obtener resultados que permitan a
los teóricos reflexionar, encontrar nuevas direcciones y desarrollar
ideas.
"¿Cómo se forma el
desplazamiento Doppler en movimientos acelerados y en movimientos
rotacionales según las matemáticas de (c+v)(c-v)?" Me hubiera gustado
incluir este tema en este libro. Sin embargo, debido a la falta de
ecuaciones verificadas y confiables, no lo he explicado aquí. Por
supuesto, tengo algunas ideas e investigaciones sobre cómo debería
formarse la matemática de (c+v)(c-v) en estos movimientos. Pero tales
estudios solo adquieren valor cuando son consistentes con los
resultados experimentales. Por esta razón, no los incluí en este libro.
35.1.
EXPERIMENTO PARA MEDIR LA VELOCIDAD DE LA SEÑAL SALIENTE

Teóricamente, este experimento
es extremadamente simple. Enviamos una señal desde un sistema de
referencia estacionario a un sistema de referencia en movimiento
inercial y medimos cuánto tiempo tarda en llegar a su destino. La
medición del tiempo se realiza desde el lado del transmisor de la señal.

En la práctica, llevar a cabo
esta medición es evidentemente muy difícil, pero no debería ser
imposible. Superar estas dificultades es una cuestión técnica.

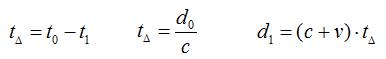
Al considerar la figura anterior;
Según la teoría electromagnética existente y la teoría de la
relatividad, el resultado debería ser el siguiente:
Según la Ley de Alice, el resultado debería ser el
siguiente:
__________________________
t
0: Momento de emisión de la señal
t
1: Momento de llegada de la señal
t
Δ: Tiempo de propagación de la señal
d
0: Distancia al objetivo en el momento de emisión de la
señal
d
1: Distancia al objetivo en el momento de llegada de la
señal
v: Velocidad de B con respecto al sistema de referencia A
c: Constante de velocidad de la luz
c+v: Velocidad de la señal según la Ley de Alice
35.2.
EXPERIMENTO DE DESVIACIÓN ANGULAR

La Ley de Alice también indica
la necesidad de realizar ciertos experimentos únicos. Estos
experimentos especiales predicen resultados tan sorprendentes que
ninguna de las teorías existentes puede explicarlos. El Experimento de
Desviación Angular es uno de estos experimentos. Su objetivo es
determinar si la dirección de la luz cambia en función del movimiento
del objetivo.

Desde hace tiempo tengo en mente
un método para este experimento, y quiero mencionarlo aquí. Por
supuesto, se pueden emplear otros métodos y dispositivos.

El experimento consiste en
iluminar un disco giratorio con una fuente láser. Se determina en qué
punto del disco llega la luz cuando el disco está inmóvil y cuando está
girando para obtener los resultados del experimento.
Según la teoría electromagnética existente y la teoría
de la relatividad, el resultado debería ser el siguiente:
Independientemente
de si el disco gira o no, la luz seguirá la línea d0 y
alcanzará el disco. No se producirá ninguna desviación angular.
Según la Ley de Alice, el resultado debería ser el
siguiente:
Al girar el disco, se debería
formar un triángulo Doppler.
Como resultado de
la desviación angular, la luz que se dirige hacia el disco seguirá la
línea d2 en lugar de la línea d0.
La cantidad de
desviación angular aumentará proporcionalmente a la velocidad de
rotación del disco.
35.3. EXPERIMENTO DE DESPLAZAMIENTO DE BYTE
Este experimento se puede realizar de diversas maneras. Por lo tanto, no propongo ningún modelo específico.
Según la Teoría Electromagnética existente y la Teoría de la Relatividad, el resultado debería ser el siguiente:
No se ha desarrollado ninguna predicción sobre el Desplazamiento de Byte.
Sin embargo, dado que estas teorías se basan en la suposición de que la
velocidad de la luz es constante en todos los sistemas de referencia,
según estas teorías, se puede afirmar que el Desplazamiento de Byte no ocurre.
Según la Ley de Alice, el resultado debería ser el siguiente:
El Desplazamiento de Byte es un efecto
que ocurre en las señales de comunicación como un resultado natural de
la existencia de la matemática (c+v)(c-v) en la naturaleza.
Este fenómeno se explica en detalle en el libro. El experimento realizado confirmará la Ley de Alice.

35.4.
EXPERIMENTO DE CAMBIO DE LONGITUD DE ONDA A GRAN DISTANCIA

El experimento se basa en la
medición de la longitud de onda de la luz que llega desde una estrella
a una sonda espacial. La sonda espacial es acelerada en dirección a la
estrella y, como resultado de esta aceleración, se verifica si cambia
la longitud de onda de la luz que llega a la sonda desde la estrella.

Según la Ley de Alice, dado que
el cambio en la longitud de onda ocurre en la fuente, la luz con
longitudes de onda alteradas debido al Efecto Doppler tardará cientos
de miles de años en llegar a la sonda espacial. Como la sonda estará
midiendo la luz que partió hace cientos de miles de años, la longitud
de onda medida no debería cambiar a pesar de la aceleración de la
sonda. Si se obtiene este resultado, se confirmará que el Efecto
Doppler ocurre en la fuente. Además, como se explica en este libro, se
obtendrá una fuerte evidencia de que la luz se mueve dentro de los
campos.

Como objetivo del experimento
también se podría elegir una estrella pulsar, en cuyo caso la base de
la medición sería la frecuencia del pulsar. Cuando la sonda espacial
acelere, la frecuencia medida no debería cambiar.
En mi opinión, este experimento es uno de los más importantes en la
historia de la física, y sus resultados influirán profundamente en
todas las teorías físicas.
Enlace