34.
DESPLAZAMIENTO DEL FLUJO RADIANTE

La definición de radiación o
emisión se refiere a la emisión o transferencia de energía en forma de
ondas electromagnéticas o partículas. El flujo radiante es la cantidad
de energía de la radiación electromagnética por unidad de tiempo. El
flujo radiante no se limita solo a la luz visible, sino que abarca todo
el espectro electromagnético. Para no extender demasiado el tema, aquí
me limitaré a fuentes de luz como el sol o una lámpara, que emiten
fotones de manera aleatoria e independiente. La emisión de fotones
ocurre en forma de paquetes de energía independientes dentro de las
ondas electromagnéticas.
Nuestro enfoque está en el
efecto de las matemáticas de (c+v)(c-v) sobre el flujo radiante en las
ondas electromagnéticas. No considero que las emisiones de partículas
con masa, como la radiación alfa y beta, sean relevantes para este
análisis, ya que la presencia de masa hace poco probable que estas
partículas se comporten de acuerdo con las matemáticas de (c+v)(c-v).
Cuando se analiza el flujo
radiante desde la perspectiva de la fuente de luz, es una medida de la
cantidad de fotones emitidos por unidad de tiempo. Si se analiza desde
la perspectiva del objetivo, es una medida de la cantidad de fotones
recibidos por unidad de tiempo. La energía transportada por los fotones
es un factor secundario que también influye en el flujo radiante. En
conclusión, el desplazamiento del flujo radiante es un efecto derivado
de los cambios en el número de fotones y en su energía durante la
interacción electromagnética entre cuerpos en movimiento relativo, y
está directamente relacionado con las matemáticas de (c+v)(c-v).
El cambio en el flujo radiante
de una fuente solo puede ocurrir si cambian las condiciones físicas del
propio emisor. Eventos como una erupción solar o la variación del
voltaje aplicado a una lámpara pueden modificar naturalmente el flujo
radiante de la fuente. Aquí analizaremos el flujo radiante desde la
perspectiva del objetivo receptor de la luz.
En la sección "Energía de un
Fotón" observamos que la cantidad de energía luminosa recibida por un
sistema de referencia en movimiento con respecto a una fuente de luz
varía según la dirección del movimiento. Este cambio en la energía
luminosa no se debe solo a la modificación de la longitud de onda (y,
por lo tanto, de la energía), sino también a un aumento o disminución
en la cantidad de fotones recibidos.
Para comprender cómo ocurre el
desplazamiento del flujo radiante, podemos utilizar el ejemplo del
"Desplazamiento de Bytes". Suponer que cada letra del mensaje "HELLO
WORLD" está representada por un fotón nos brindará de inmediato la
información necesaria.



Hemos visto que
la longitud del mensaje recibido por los aviones y la estación de
montaña es diferente para cada uno de los tres sistemas de referencia.
Dado que la velocidad de la señal RECIBIDA no cambia para la referencia
objetivo, cada una de las tres ubicaciones recibirá una cantidad
diferente de fotones en el mismo período de tiempo. Como resultado, el
flujo radiante será distinto para cada sistema de referencia.
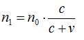
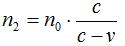
Supongamos que la torre de señales emite "n0" fotones por
segundo para cada punto de llegada. En este caso, la estación de
montaña recibirá n0 fotones por segundo,
el avión que se aleja de la torre recibirá
,
y el avión que se acerca a la torre recibirá
fotones por segundo.
Para determinar el cambio en la energía, podemos usar la frecuencia. El
cambio en la cantidad de fotones emitidos o recibidos "n" es muy
similar al cambio en la frecuencia.



Dado que por
segundo se emiten "n0" fotones hacia el objetivo y llegan "n1"
fotones, si multiplicamos ambos lados de la ecuación, obtenemos el
efecto total generado por los "n1" fotones con frecuencia f1
en el punto de llegada. Esto nos lleva a la ecuación principal del
flujo radiante. Esta ecuación muestra el principio general desde la
perspectiva de las matemáticas de (c+v)(c-v): en ella se consideran
tanto el cambio en la frecuencia (y, por lo tanto, la longitud de onda
del fotón) como el cambio en la cantidad de fotones.



Multiplicando la ecuación por la constante de Planck,
obtenemos el cambio de energía en el flujo radiante.



Por supuesto,
para utilizar esta ecuación es necesario conocer la cantidad de
fotones. Sin embargo, desde la perspectiva de nuestro análisis, esto no
es relevante. El objetivo principal era mostrar cómo las matemáticas de
(c+v)(c-v) influyen en el fenómeno. Además, es posible eliminar la
cantidad de fotones en los cálculos. La ecuación del desplazamiento del
flujo radiante se puede simplificar de la siguiente manera:
, y al sustituir esta expresión en
la ecuación anterior, obtenemos la ecuación general.



La ecuación que
muestra la magnitud del desplazamiento del flujo radiante,
, representa la cantidad de cambio
en el flujo luminoso experimentado por un sistema de referencia en
movimiento con respecto a la fuente.
El desplazamiento del flujo
radiante se puede resumir de la siguiente manera:
El desplazamiento del flujo radiante ocurre en la fuente, al igual que
el cambio en la longitud de onda, pero su efecto se manifiesta en el
objetivo. Si un sistema de referencia se mueve con respecto a una
fuente de luz, esto aumenta o disminuye la intensidad de la luz que
recibe. En otras palabras, cambia la densidad de los fotones que
llegan. Este cambio en la densidad de los fotones ocurre durante la
emisión de la luz. Sin embargo, para que los fotones puedan mostrar sus
efectos, deben recorrer la distancia entre la fuente y el objetivo. Por
lo tanto, el desplazamiento del flujo radiante no es un efecto
inmediato dependiente del cambio de velocidad, sino que se manifiesta
después de que la luz ha recorrido su camino.
Es más fácil explicarlo con un
ejemplo. Imaginemos que nos dirigimos a otro sistema estelar ubicado a
cuatro años luz de distancia a una velocidad de la mitad de la
velocidad de la luz. El cambio en el flujo radiante de la luz
proveniente de la estrella para nuestra nave espacial comenzará
exactamente después de cuatro años, cuando hayamos llegado a la mitad
del camino. Solo en ese momento la tripulación comenzará a notar el
cambio en la longitud de onda de la luz proveniente de la estrella. En
ese instante, el flujo radiante que llega a la nave también habrá
cambiado.
34.1. INTENSIDAD LUMINOSA, DISTANCIA Y MATEMÁTICAS (C+V)(C-V)
Se sabe que la intensidad de la
luz varía según la distancia. A medida que se aleja un círculo de la
fuente de luz, la cantidad de luz que pasa a través del círculo por
unidad de tiempo disminuirá gradualmente. La siguiente figura ilustra
esta situación.

La regla general
es la siguiente: la intensidad de la luz emitida por una fuente puntual
disminuye en proporción inversa al cuadrado de la distancia. En la
práctica, podemos pensar en ello de la siguiente manera: si duplicamos
la distancia, la intensidad de la luz disminuirá cuatro veces. De
acuerdo con esta regla, existe la siguiente ecuación.
| Intensidad de la luz1 |
=
|
Distancia12 |
|
|
| Intensidad de la luz2 |
Distancia22 |
|
Dado que la intensidad de la luz depende principalmente del número de fotones que la componen,
podemos escribir la ecuación anterior de la siguiente manera considerando esta causa.

| Número de fotones
recibidos1 |
=
|
Distancia22 |
|
|
| Número de fotones
recibidos2 |
Distancia22 |
|
Sin embargo, ambas ecuaciones anteriores son válidas solo para objetivos estacionarios con respecto a la fuente de luz.
Cuando hay movimiento, las matemáticas de (c+v)(c-v) intervienen.
En la siguiente figura podemos ver cómo intervienen las matemáticas de (c+v)(c-v).
Supongamos un objeto estacionario a una distancia d1 de la fuente de luz.
La forma circular del objeto en la figura no es relevante.
Supongamos que en el instante t0, n fotones emitidos desde la fuente se dirigen hacia este objeto.
Finalmente, los n fotones recorrerán la distancia d0 en un tiempo tΔ =d0/c y alcanzarán el objeto.
Si el objeto se aleja, los fotones viajarán a (c+v) y alcanzarán el objeto en d1.
Si el objeto se acerca, los fotones viajarán a (c-v) y lo alcanzarán en d2.
El hecho de que el número de fotones no cambie no significa que el objeto reciba la misma intensidad de luz en los tres casos.
Porque, aunque el número de fotones permanezca igual, su energía cambiará.
El cambio de energía ocurrirá en proporción al cambio en la longitud de onda.
Por lo tanto, podemos definir la siguiente ecuación: EX . λX = E0 . λ0.
Entonces, un objeto que recibe una energía de E0 en estado estacionario, al moverse, si se aleja, recibirá una energía de E2=
E0.c/(c+v), y si se acerca, E1=
E0.c/(c-v).
En la figura, observemos que las distancias d1 y d2 están determinadas por el tiempo tΔ, y el hecho de que el número de fotones no cambie está directamente relacionado con este tiempo tΔ.
Una vez que el tiempo tΔ se supere, el número de fotones cambiará.

34.2.
FACTOR DE SOMBREADO (SHADING FACTOR)



En la figura anterior, el objeto amarillo se mueve en la dirección de la flecha roja.
En su camino hay una zona sombreada por el objeto azul.
El objeto amarillo pasa a través de esta zona sombreada y continúa su camino...
Este fenómeno, que parece simple, no lo es en absoluto cuando se analiza desde la perspectiva de la matemática (c+v)(c-v),
ya que implica una gran cantidad de detalles e información.



Pensemos en esto usando un triángulo de Doppler.
Analicemos una señal de luz enviada desde la fuente de luz cuando el objeto amarillo está en el punto B.
El tiempo de llegada de la señal será tΔ=d1/c.
Durante el tiempo tΔ, el objeto amarillo, moviéndose con una velocidad u, recorrerá la distancia d2= u. tΔ
y entrará en la zona sombreada.
En el camino de la señal de luz que llega al objeto amarillo a través de la línea d3 desde el sistema de referencia de la fuente,
se encuentra el objeto azul.
Recordemos que, desde el sistema de referencia del objeto amarillo, la
señal de luz debería llegar a él a través de la línea roja d1.
Como resultado del movimiento del objeto amarillo, la línea roja d1 quedará dentro de la zona de sombra.
Cuando el objeto amarillo se acerca al punto C, si la señal de luz ha logrado pasar el objeto azul, llegará al objeto amarillo.
Si no lo ha logrado, la señal de luz será absorbida por el objeto azul.
El objeto azul impedirá que la señal de luz llegue al objeto amarillo.
Como resultado de esto, a medida que el objeto amarillo entra en la línea de sombra,
el objeto azul se verá obligado a recibir más luz de la que debería recibir.
No estoy seguro de cómo el objeto azul procesará este exceso de luz,
por lo que no haré ninguna suposición aquí. Podría provocar un cambio en el flujo de luz del objeto azul,
un aumento en su energía térmica u otros efectos.
Lo cierto es que aún tenemos
mucho que aprender sobre la Ley de Alice. El tema del Factor de
Sombreado es algo completamente nuevo para mí, que descubrí mientras
escribía sobre el Desplazamiento del Flujo Luminoso. Incluso dudé si
escribir sobre este tema o no. Sin embargo, decidí que sería más
correcto mencionarlo. Entiendo que este tema contiene muchos detalles a
los que se debe prestar atención. Pero aquí no quise entrar en esos
detalles.
El factor de sombreado también ofrece una oportunidad especial para confirmar experimentalmente la Ley de Alice.
Al menos, la posibilidad de ello es bastante alta.

Nave espacial
Continuemos con el tema de la
nave espacial. Después de alcanzar la mitad del camino, la nave
continúa su trayecto bajo el nuevo flujo de radiación. La estrella a la
que se dirigen ahora brilla mucho más intensamente. Sin embargo, los
motores de la nave fallan inesperadamente. En su camino, a un año luz
de la estrella de destino, hay una estación de rescate y reparación que
permanece inmóvil en relación con la estrella. La nave reduce la
velocidad y se acerca a la estación para ser reparada. ¿Reducir la
velocidad afectará el flujo de radiación? Sí, lo afectará, pero este
cambio comenzará al menos a un año luz de distancia. El cambio tardará
un año en alcanzarlos. Durante todo este tiempo, la nave seguirá
recibiendo la energía concentrada proveniente de la estrella. El
capitán puede detener la nave, cambiar su rumbo o intentar alejarse de
la estrella, pero el efecto continuará. Esos rayos viajan dentro del
área de la nave como misiles guiados dirigidos al centro de la
nave.
La nave aterriza en el hangar de la estación de reparación.
Los escudos solares de la estación ahora protegen a la nave de la intensa radiación de la estrella.
¿Y qué pasa con los pasajeros?
Ellos comenzaron este viaje dormidos en los compartimentos seguros de la nave.
Cuando se supo que la reparación tomaría mucho tiempo, los despertaron y los trasladaron a las instalaciones de la estación.
La cafetería de la estación está bellamente diseñada.
A través de su cúpula de cristal se puede ver toda la majestuosidad del espacio.
Uno de los pasajeros toma un café y dirige su mirada hacia la estrella a la que se dirigen.
¿Cómo verá la estrella? ¿El cambio en el flujo de radiación aún continúa para este pasajero?
Es un escenario muy interesante.
No es sorprendente que la Ley de Alice tenga sus propios paradojas.
Aquí nos encontramos con una de ellas. Para ser honesto, se me ocurrió
mientras escribía el libro. No sé la respuesta a la última parte de la
historia, pero por supuesto, me genera curiosidad. Si tuviera que hacer
una suposición, diría que el cambio en el flujo de radiación continuará
para ese pasajero durante el próximo año.