27. LA ENERGÍA
DE UN FOTÓN
Quiero aprovechar la oportunidad
para tocar este tema. En la figura siguiente,
se muestran los períodos de emisión de señales desde el transmisor y
su recepción en los objetivos de destino, representados en la misma
figura en función de las longitudes de onda de la señal.



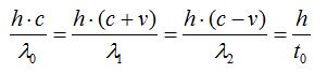
Dividir la longitud de onda entre la velocidad de la señal
nos dará el tiempo.
Longitud de onda / Velocidad de la señal = Tiempo de emisión o recepción
de la longitud de onda
Dado que la velocidad de la señal puede cambiar según los sistemas de
referencia del emisor y receptor, este tiempo se calcula de dos maneras.
1- Tiempo de emisión de la longitud de onda según el sistema de referencia del transmisor.
(SEÑALES SALIENTES)
2- Tiempo de recepción de la longitud de onda según los sistemas de referencia de los objetivos.
(SEÑALES ENTRANTES). Estos tiempos ya están representados en la figura.
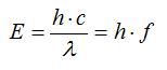
La Energía de un Fotón
En física, la energía de un fotón se expresa con la ecuación

E: energía del fotón, h: constante de Planck, c: velocidad de la luz,
m: longitud de onda del fotón, f: frecuencia de la onda
Ahora observemos la figura.
Sabemos que, aunque las longitudes de onda de las señales emitidas desde el transmisor sean diferentes,
todas se emiten en períodos de tiempo iguales. Sin embargo, en el lado del receptor la situación es diferente.
En las interacciones entre cuerpos en movimiento, el hecho de que la velocidad de la señal LLEGANTE con respecto
al objetivo siempre sea c hace que el tiempo de recepción aumente o disminuya dependiendo de la longitud de onda.
La diferencia entre el tiempo de emisión y el tiempo de recepción de la longitud de onda se interpreta como
un aumento o disminución en la energía de la onda electromagnética (fotón). Ahora veamos el lado del transmisor.
Las ondas electromagnéticas emitidas con longitudes de onda λ0, λ1, λ2
en realidad transportan la misma energía, ya que han sido emitidas con el mismo valor de frecuencia.
Esto se puede ver fácilmente en las siguientes ecuaciones.
Utilizando el tiempo de emisión de la longitud de onda, podemos escribir la siguiente ecuación.



[1]
Multiplicando ambos lados de la ecuación [1] por la constante de Planck, obtenemos la energía de las ondas emitidas.

[2]

La ecuación que representa la energía de un fotón:




[3]
A partir de las ecuaciones [2] y [3], llegamos a la siguiente ecuación [4].
Como se puede ver, la energía de las ondas emitidas por el transmisor es la misma.



Sin embargo, debido a que los tiempos de recepción de las ondas
en los objetivos son diferentes, esta energía se percibe como si fuera diferente.
Energía de las ondas según el receptor:


Como se puede ver, la energía de un fotón se puede expresar en función del tiempo de emisión o recepción.



E: energía del fotón
h: constante de Planck
t: tiempo de emisión/recepción del fotón
La ecuación (E=h/t) señala un punto interesante. "La energía de todos
los fotones en realidad es la misma, esta cantidad es igual a la constante de Planck,
y la diferencia radica en el tiempo en que esta energía es emitida o absorbida",
es un pensamiento inevitable.
Naturalmente, independientemente del nivel de energía con el que fue emitido,
el efecto del fotón se manifiesta en su destino.
"¿La energía percibida del fotón en su destino representa su energía real?"
Vemos que la respuesta a esta pregunta es "No".
"¿La energía real del fotón es la que tenía al ser emitido?"
Prefiero dejar esta pregunta sin respuesta.
Si asumimos que el valor de t en esta ecuación varía lógicamente en el rango "0-1",
cuanto más pequeño sea t, más comprimimos la energía hasta que sea igual a la constante
de Planck, y en consecuencia, el efecto del fotón aumentará.
Es una ecuación un tanto aterradora. Si consideramos las propiedades de (c-v) en la matemática
de (c+v)(c-v), se puede ver que esta compresión puede alcanzar niveles inimaginables,
con energías increíblemente altas. Quién sabe, tal vez la naturaleza tenga una medida
de seguridad contra esta situación peligrosa.
Si planeas viajar a la velocidad de la luz y no tienes en cuenta esta ecuación,
puedo decir con certeza que te evaporarás en un instante.