26. DESPLAZAMIENTO DOPPLER DURANTE LA EMISIÓN
DE ONDAS


ELECTROMAGNÉTICAS APARICIÓN DE LAS ECUACIONES
![]()
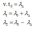
Dado que el Desplazamiento Doppler ocurre durante la emisión de la señal y en la fuente,
primero representemos este fenómeno en un gráfico y veamos si las ecuaciones
del Desplazamiento Doppler emergen matemáticamente.
![]()

![]()
Las configuraciones de fábrica del transmisor de la señal
están dadas por la frecuencia f0 y la longitud de onda λ0.
Supongamos que la configuración de fábrica del transmisor de la señal está dada por la frecuencia f0
y la longitud de onda λ0. Tomemos una parte de la señal que corresponde a una longitud de onda.
Dado que la señal se transmite a tres objetivos diferentes, las longitudes de onda de estas señales varían.
Sin embargo, aunque las longitudes de onda de las señales emitidas sean diferentes,
el hecho de que la frecuencia no cambie indica que el tiempo de emisión de las señales con longitudes de onda
λ0, λ1, λ2 es igual. Podemos obtener este tiempo a partir de los ajustes
de fábrica del transmisor: λ0/ c = t0. Si multiplicamos la diferencia de velocidad "v"
entre los sistemas de referencia responsables del efecto Doppler por el tiempo de emisión de la longitud de onda "t0",
obtenemos la cantidad responsable del cambio en la longitud de onda de las señales que van hacia objetivos en movimiento.

Por otro lado, la longitud de onda es una magnitud física, una distancia, una medida.
Independientemente de sus diferencias, el hecho de que las señales con diferentes longitudes de onda se emitan
en el mismo intervalo de tiempo proporciona directamente la velocidad de las señales enviadas a los objetivos en movimiento.
Este es un dato muy claro.
Entonces:
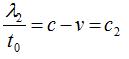
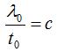
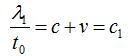
![]()
La velocidad de la señal hacia el avión que se aleja =
![]()
La velocidad de la señal hacia el avión que se acerca = 
En conclusión: c1 > c > c2.
Utilizando la figura anterior, veamos si podemos derivar las ecuaciones del Desplazamiento Doppler.
Como se muestra a continuación, podemos hacerlo fácilmente.

![]()
Como se explicó anteriormente, los términos "Desplazamiento al rojo" y "Desplazamiento al azul" en el efecto Doppler
se utilizan para describir la disminución y el aumento de la energía de la onda electromagnética.
El desplazamiento al rojo indica un aumento en la longitud de onda, lo que significa una disminución de la energía,
y se representa como (c+v). El desplazamiento al azul indica una reducción en la longitud de onda,
lo que implica un aumento de energía, y se representa como (c-v).