23. DESPLAZAMIENTO ANGULAR (ANGLE SHIFT) PARTE I
CAMBIO EN EL ÁNGULO DE EMISIÓN DE LA SEÑAL
![]()
Si el objetivo de una señal es un sistema de referencia en movimiento,
el ángulo de emisión de la señal cambia según la dirección de movimiento del objetivo.
He denominado este fenómeno como "Desplazamiento Angular".
![]()

![]()
En la figura anterior, el avión
en las coordenadas (x1,y1,z1)
es el objetivo de una señal emitida por una estación en tierra.
En el instante t1, cuando el avión se encuentra en las coordenadas
(x1,y1,z1), la señal comienza su propagación.
Durante el tiempo de viaje de la señal, el avión continúa su movimiento
en su trayectoria. Finalmente, la señal llega al avión en el instante
t2 en la posición (x2,y2,z2).
Si el avión no se moviera, la misma señal llegaría al avión en la
posición (x1,y1,z1). Sin embargo,
dado que el avión está en movimiento, la señal lo alcanza en la posición
(x2,y2,z2).
Para facilitar el razonamiento, consideremos la situación con un solo fotón.
Normalmente, la señal (fotón) debería viajar hacia la posición
(x1,y1,z1), pero en su lugar, se dirige
a la posición (x2,y2,z2).
Para que esto ocurra, la señal que apunta al avión debe cambiar su dirección
durante la emisión. Y, de hecho, la señal lo hace, cambia su dirección.
El cambio de dirección de la señal ocurre simultáneamente con su emisión
y con el cambio de la longitud de onda. La razón del cambio de dirección
de la señal es la misma. La causa que genera la variación en la longitud
de onda de la señal también determina su dirección de propagación.
El ángulo formado por las líneas d1 y d3 en la figura,
en el punto donde se cruzan, indica la cantidad de cambio en el ángulo de
propagación de la señal en relación con el sistema de referencia del
transmisor.
Puede parecer repetitivo, pero lo escribiré una vez más.
La línea d3 en la figura representa la dirección de propagación
de la señal en relación con el sistema de referencia de la torre de señales.
La línea d1 en la figura representa la dirección en la que la
señal llega en relación con el sistema de referencia del avión
(recordemos que el avión puede considerarse inmóvil y la estación de
señales en movimiento).
No hay una regla que diga que el Desplazamiento Angular ocurre siempre.
Si el movimiento de los sistemas de referencia de la fuente y del objetivo
ocurre en la misma línea (en una sola dimensión), el ángulo de emisión
de la señal no cambia. En todos los demás casos, ocurre el Desplazamiento
Angular.
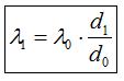
Ya hemos visto que el cambio en la longitud de onda puede expresarse
en función de las distancias.
d0 : Distancia recorrida por la señal QUE LLEGA al receptor
d1: Distancia recorrida por la señal QUE SALE del transmisor
λ0 : Longitud de onda base del transmisor
λ1 : Longitud de onda medida en el receptor
Si observamos con atención, para que ocurra un cambio en la longitud
de onda, las distancias d0 y d1 en la ecuación
deben ser diferentes. Esto, por sí solo, demuestra que el
Desplazamiento Angular es un fenómeno inevitable.
![]()

![]()
En la figura, se muestra un avión aproximándose a la torre de señales
en la dirección del eje Z desde el horizonte. La ruta del avión está
representada por la línea roja. Si observamos, en el sistema de referencia
de la torre de señales, la posición del avión en el eje Z disminuye,
mientras que en el eje Y aumenta constantemente. Dividamos el movimiento
del avión en pequeños triángulos Doppler. Supongamos que el avión está en
el punto A (x0,y6,z6) cuando la señal
sale de la torre de señales y que la señal llega al avión en el punto
B (x0,y5,z5). Luego, cuando el avión
está en el punto B (x0,y5,z5), una nueva
señal sale de la torre de señales y llega a él en el punto
C (x0,y4,z4). Se puede ver que, en este
ejemplo, el Desplazamiento Angular ocurre en la dirección del aumento del
ángulo. Si el avión se moviera en la misma línea pero alejándose, el
Desplazamiento Angular sería en la dirección de la reducción del ángulo.
El Desplazamiento Angular es una variable dinámica. Está en un cambio
constante dependiendo de la velocidad, dirección y posición de los
sistemas de referencia y es único para cada señal y momento de emisión.

El Desplazamiento Angular es un efecto extremadamente importante que
debe considerarse. Es un resultado único y específico de la Ley de Alice.
Ninguna otra teoría tiene la capacidad de predecir la existencia de este
fenómeno. El Desplazamiento Angular es uno de los argumentos más
importantes que guiarán el desarrollo de la física teórica y la ciencia
del futuro. El hecho de que sea un efecto detectable experimentalmente
aumenta aún más su importancia.
Continuaré con el tema del Desplazamiento Angular en la tercera sección.