21. DESPLAZAMIENTO
TEMPORAL (TIME SHIFT)

El
cambio en la longitud de onda en la interacción electromagnética entre
objetos en movimiento relativo altera la velocidad del flujo del tiempo
visible. Este fenómeno se llama Desplazamiento Temporal.
En
mis trabajos anteriores, analicé el fenómeno del Desplazamiento
Temporal bajo diferentes nombres (Dilación Temporal, Deformación
Temporal) y los publiqué. Sin embargo, considero que el mejor término
es Desplazamiento Temporal. Con esta nueva denominación, también se
enfatiza la estrecha relación entre el Desplazamiento Temporal y el
Desplazamiento Doppler.
Imagina que estás mirando el reloj en tu muñeca.
Si mueves el brazo mientras lo miras, la velocidad del tiempo que muestra el reloj
cambiará inmediatamente. Si alejas el reloj de tu rostro, parecerá que funciona más lento,
y si lo acercas, parecerá que funciona más rápido. Este cambio no tiene nada que ver con
el mecanismo del reloj. El reloj sigue funcionando a la misma velocidad. El cambio ocurre en
el Objeto de Imagen del reloj, y como no ves el Objeto Fuente del reloj sino su Imagen,
parece que el reloj se acelera o se ralentiza. Por supuesto, este cambio es tan pequeño
que no puede percibirse, ya que la distancia es muy corta y el movimiento de la mano es muy lento.
Sin embargo, este cambio realmente ocurre. Ahora aumentemos las distancias y velocidades para ver
en detalle cómo ocurre el Desplazamiento Temporal.
No podemos ver un reloj que esté a cientos de kilómetros
de distancia con nuestros propios ojos. Sin embargo, podemos hacer lo siguiente:
observemos el reloj a través de una cámara y transmitamos su imagen en vivo.
Este escenario no será diferente a mirar el reloj en nuestra muñeca. De esta manera,
incluso si estamos en movimiento, podemos observar un reloj a cientos o incluso miles de kilómetros
de distancia. Como transmisor, y para facilitar la explicación, utilizaremos uno con una frecuencia
predeterminada de 1 Hertz. Dicho transmisor emitirá una longitud de onda por segundo. Aunque
una frecuencia tan baja no será suficiente para transmitir la imagen del reloj,
podrá enviar la información del tiempo con gran precisión.
En la siguiente figura, podemos ver las señales del reloj
que van desde la torre de señales hasta tres marcos diferentes. Como ya hemos visto,
las longitudes de onda de las señales que salen del transmisor y se dirigen hacia aviones en movimiento
cambiarán. Las longitudes de onda de las señales que se dirigen hacia un avión que se aleja
y viajan a la velocidad de (c+v) se alargarán, mientras que las longitudes de onda de las señales
que se dirigen hacia un avión que se acerca y viajan a la velocidad de (c-v) se acortarán.


Podemos calcular fácilmente los cambios en la longitud
de onda utilizando las ecuaciones de Doppler, pero dado que nuestro tema es el Desplazamiento Temporal,
expresemos los cambios en la longitud de onda en función del tiempo. La longitud de onda es un valor de distancia.
Entre la distancia, la velocidad y el tiempo, existe una ecuación fundamental.
Distancia = Velocidad × Tiempo
Por lo tanto, podemos expresar la longitud de onda de la señal que sale del transmisor
en función de la velocidad de emisión y el tiempo de emisión. Supongamos que el tiempo
de emisión de una única longitud de onda de la señal es "t0". En consecuencia,
las longitudes de onda serán las siguientes. Ya sabemos que el tiempo de emisión de la longitud de onda
no cambiará en las tres ecuaciones, ya que las frecuencias de emisión son iguales.

| Longitud de onda de la señal hacia el avión que se aleja |
λ1 = ( c +v). t0 |
| Longitud de onda de la señal hacia el receptor en la montaña |
λ0 = c. t0 |
| Longitud de onda de la señal hacia el avión que se acerca |
λ2 = ( c -v). t0 |

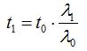
Ahora, escribamos el tiempo en el que una señal de longitud igual a la longitud de onda
es recibida en su destino. Dado que la velocidad de la señal entrante es siempre constante y
es "c", el tiempo de recepción de la longitud de onda será el siguiente.

| Tiempo de recepción de la longitud de onda para el avión que se aleja |
t1 = λ1/c = (c+v) . t0
/c |
| Tiempo de recepción de la longitud de onda para el receptor en la montaña |
t0 = λ0/c |
| Tiempo de recepción de la longitud de onda para el avión que se acerca |
t2 = λ2/c = (c-v) . t0
/c |

En la siguiente figura se muestra la situación descrita anteriormente.



Como podemos ver, si una señal se dirige hacia un
objetivo en movimiento, hay una diferencia entre el tiempo de emisión de la longitud de onda en la fuente
y el tiempo de recepción de la longitud de onda en el destino. Esta diferencia es la causa del fenómeno
conocido como Desplazamiento Temporal. No se debe confundir el Desplazamiento Temporal con el tiempo
que tarda una señal en alcanzar su destino. El Desplazamiento Temporal determina la velocidad del
flujo del Tiempo Visible en el Objeto de Imagen. Primero, utilizando la figura anterior,
escribamos las ecuaciones fundamentales que describen el Desplazamiento Temporal.

Tiempo de recepción
de la longitud de onda |
= |
Velocidad de propagación
de la señal
|
|
|
Tiempo de emisión
de la longitud de onda |
Constante de la velocidad
de la luz |
|


[1]

El cambio en la longitud de onda
[2] estaba determinado.
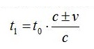
Utilizando [1] y [2], podemos reformular la ecuación
anterior en función de la longitud de onda de la siguiente manera.



[3]
t0 : Tiempo de emisión de la longitud de onda
t1 : Tiempo de recepción de la longitud de onda
λ0 : Longitud de onda del transmisor en su configuración de fábrica
λ1 : Longitud de onda de la señal que sale del transmisor y se dirige
a un objetivo en movimiento
c : Constante de la velocidad de la luz
v : Diferencia de velocidad entre la fuente de la señal y su destino
c±v : Velocidad de propagación de la señal
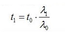
Hemos obtenido las siguientes ecuaciones para el Desplazamiento Temporal.

Representación basada en la velocidad
de la señal

|
Representación basada en la longitud
de onda

|

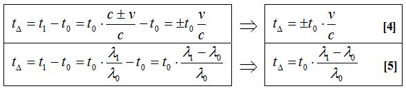
El valor "t0",
que expresa el tiempo de emisión de la longitud de onda, representa la información de tiempo
del evento ocurrido en el Objeto Fuente en el Tiempo Absoluto y simboliza el Tiempo Absoluto.
El tiempo de recepción de la longitud de onda "t1", aunque también ocurre en el
Tiempo Absoluto, determina la velocidad del flujo del tiempo en el Objeto de Imagen y,
en esencia, representa el Tiempo Visible. La diferencia entre estos dos tiempos da la
magnitud del Desplazamiento Temporal.
| Magnitud del desplazamiento temporal |
= |
Tiempo de recepción
de la longitud de
onda |
- |
Tiempo de emisión
de la longitud de ondai |
|
tΔ=t1-t0 | |

Matemáticamente, esta ecuación se expresa de la siguiente manera:




En la representación escrita en la parte superior derecha
en función de las velocidades, la ecuación toma el valor "+" para sistemas de referencia que se
alejan entre sí y "-" para sistemas de referencia que se acercan. Un valor positivo de
t
Δ indica que el flujo del Tiempo Visible se ralentiza, mientras que un valor
negativo indica que se acelera.

Si observamos la figura, el valor t
0
está relacionado con la longitud de onda (t
0 = λ
0/c).
Por lo tanto, podemos usar esta ecuación para cualquier longitud de onda. Podemos imaginar
arbitrariamente que "λ
0/c = 1 segundo" o incluso "λ
0/c = 1 hora".
Lo que quiero decir es que en las ecuaciones [4] y [5] se puede usar cualquier duración de
tiempo para t
0. Si aceptamos que t
0 = 1 segundo, encontraremos la
diferencia del Desplazamiento Temporal que ocurre en 1 segundo.

Calculemos la diferencia de
Desplazamiento Temporal por segundo para un asteroide que viaja a
30 000 km/s. Si tomamos la velocidad de la luz como aproximadamente
300 000 km/s,
Diferencia de Desplazamiento Temporal = 1 × (30 000/300 000) = 0,1 segundos.
Esto equivale a 6 segundos por minuto. Si colocamos un reloj en el asteroide
y lo observamos en una transmisión en vivo en una pantalla en la Tierra,
cuando el asteroide se aleje, la imagen del reloj en la pantalla
se retrasará 6 segundos por minuto, y si el asteroide se acerca,
avanzará 6 segundos por minuto. Supongamos que un observador en la Tierra,
mirando el asteroide a través de un telescopio, observa un evento de expulsión de gas.
La velocidad del flujo del tiempo de este evento observado estará sujeta
a una diferencia de 6 segundos por minuto. El Desplazamiento Temporal
es como ver una película en cámara lenta o rápida.
Los Objetos de Imagen de los cuerpos en movimiento siempre contienen
el fenómeno del Desplazamiento Temporal.

Naturalmente, es casi imposible
observar el Desplazamiento Temporal a simple vista,
ya que para notar el efecto se requieren velocidades muy altas.
Si nuestros ojos no pueden detectar una bala en movimiento,
¿cómo podrían detectar el Desplazamiento Temporal? Sin embargo,
este no es el caso para las señales de comunicación.
Los dispositivos de alta precisión pueden detectar el Desplazamiento Temporal
de inmediato. Se manifiesta claramente en las comunicaciones satelitales,
en los viajes interestelares e incluso en las comunicaciones entre
aviones de alta velocidad.
21.1. TRANSFORMACIONES DE LA VELOCIDAD DEL FLUJO DEL TIEMPO
ENTRE EL TIEMPO ABSOLUTO Y EL TIEMPO VISIBLE

Como se explicó en la "Diferencia de Desplazamiento Temporal",
podemos determinar directamente la magnitud del cambio en la velocidad del flujo del tiempo,
sustituyendo cualquier valor de tiempo en lugar de t
0 en las siguientes ecuaciones.



Demos un ejemplo.
Supongamos que hemos observado un evento en un Objeto de Imagen que duró 20 minutos.
Ahora queremos saber cuánto tiempo duró en el Tiempo Absoluto
(es decir, en el Objeto Fuente, en la realidad).
Supongamos que λ0 = 15 nm, λ1 = 16 nm. (Como λ1 > λ0,
el Objeto Fuente se está alejando)
Aquí buscamos el valor de t0. Se calcula con la ecuación
t0 = t1 × (λ0 / λ1).
t0 = 20 × (15 / 16) = 18.75 minutos = 18 minutos 45 segundos
Como se puede ver en el cálculo anterior,
podemos formular las conversiones entre el Tiempo Absoluto y el Tiempo Visible
de la siguiente manera. En las ecuaciones, t0 representa el Tiempo Absoluto,
mientras que t1 representa el Tiempo Visible.




En los cálculos realizados utilizando valores de velocidad
en lugar de longitudes de onda, primero se debe calcular el valor de "v",
que representa la velocidad relativa de los sistemas de referencia entre sí.
Cómo se realiza este cálculo ya se ha explicado anteriormente.
21.2.
LÍMITES DE LA VELOCIDAD DEL FLUJO DEL TIEMPO VISIBLE

La siguiente tabla es importante
en términos de la teoría de la velocidad del flujo del Tiempo Visible.
Al asumir t
0=1 segundo, se utilizó la ecuación
t
1= t
0 × (c±v)/c para obtener los resultados.
Muestra la correspondencia de 1 segundo en el Tiempo Absoluto
con el Tiempo Visible.




Teóricamente, no hay un límite
para la velocidad del flujo del Tiempo Visible. Es posible extender
la tabla en ambas direcciones. Al agregar +2c, +3c, +4c al lado
derecho de la tabla para los valores de "v" y -4c, etc., al lado
izquierdo, podemos realizar esta expansión. La tabla ha sido
preparada de esta manera para mantener un equilibrio visual.
Los valores de velocidad "+v" en la tabla indican que los dos
objetos se están alejando, mientras que los valores de velocidad
"-v" indican que los objetos se están acercando.

El valor "1" en la fila
"Velocidad del Flujo del Tiempo (s)" en la tabla representa la
situación en la que dos objetos están en reposo relativo entre sí.
En este caso, la velocidad del flujo del Tiempo Absoluto es igual
a la velocidad del flujo del Tiempo Visible. En cualquier otra
situación, la velocidad del flujo del Tiempo Visible es diferente
de la del Tiempo Absoluto o su dirección de flujo es opuesta.

Los valores a la derecha del
"0" en la fila "Velocidad del Flujo del Tiempo" indican que el
Tiempo Visible fluye hacia adelante (que es la dirección normal del
tiempo), mientras que los valores a la izquierda indican que el
Tiempo Visible fluye hacia atrás. Si dos objetos se acercan a una
velocidad superior a la de la luz (es decir, si se supera -c), la
dirección del flujo del Tiempo Visible se invierte (como ver una
película al revés).

Los valores dentro del
rango "-1....1" en la fila "Velocidad del Flujo del Tiempo" indican
que el flujo del Tiempo Visible es más rápido de lo normal. A medida
que nos acercamos al valor "0" desde ambos lados, la velocidad del
flujo del Tiempo Visible aumenta gradualmente. Cerca del punto "0",
el flujo del tiempo avanza a una velocidad infinita. Cuando se
alcanza el punto "0", la velocidad del flujo del Tiempo Visible se
detiene por completo. En esta situación particular, los dos objetos
se están acercando a la velocidad de la luz. Dado que la velocidad
de propagación de la señal y la velocidad del objeto emisor son
iguales, la transferencia de la señal no puede ocurrir y, como
resultado, el Tiempo Visible se detiene.

Los valores que se encuentran fuera
del rango "-1....1" en la fila "Velocidad del Flujo del Tiempo" indican
una desaceleración en la velocidad del flujo del Tiempo Visible. Cuanto más
se alejan los valores por debajo de -1 y por encima de +1, más se ralentiza
el flujo del Tiempo Visible. El valor -1 es equivalente a 1 segundo en el tiempo,
pero la dirección del flujo del tiempo es inversa.

Ejemplo: consideremos los valores
de t
1 iguales a +0.5 y -0.5. Estos valores indican que un segundo
en el Tiempo Absoluto corresponde a medio segundo en el Tiempo Visible.
Son intervalos de tiempo iguales, pero en un caso el Tiempo Visible fluye
hacia adelante y en el otro hacia atrás. La velocidad del flujo del Tiempo
Visible se ha incrementado en ambos casos.

Nuestra existencia transcurre en un
rango muy estrecho alrededor del valor 1 en la fila "Velocidad del Flujo del
Tiempo". Dado que las velocidades "v" con las que lidiamos en la práctica
son muy pequeñas en comparación con la velocidad de la luz, la velocidad del
flujo del Tiempo Visible varía muy poco y solo puede detectarse con instrumentos
de alta precisión.
21.3. ¿QUÉ HORA ES ALLÍ?

Sea
que A y B sean dos cuerpos en movimiento relativo entre sí. Como todos
los cuerpos, estos dos también deben realizar sus movimientos dentro
del Espacio-Tiempo Absoluto, por lo que no puede haber ninguna
diferencia de tiempo entre sus Objetos Fuente dentro del intervalo
temporal en el que se encuentran. Desde esta perspectiva, responder
desde el punto de vista del Tiempo Absoluto es extremadamente sencillo.
Si en A el reloj marca las 03:00:00, en B también marcará las 03:00:00.
Ni sus velocidades, ni sus posiciones espaciales, ni sus direcciones de
movimiento, ni el hecho de que estén en un movimiento acelerado, ni si
la distancia entre ellos es de unos pocos metros o de cientos de años
luz, nada puede romper esta sincronización.

Por lo tanto, la pregunta
"¿Qué hora es allí?" generalmente tiene el siguiente significado: ¿Un
observador ve o percibe qué hora marca un reloj en otro lugar? Esto
describe la siguiente situación:
Un observador, ¿qué hora ve en un Objeto Imagen? Esta es la verdadera cuestión que debemos responder.

Dado que la distancia entre
el Objeto Fuente y el Objeto Objetivo, junto con la velocidad de la
señal, determinan conjuntamente el tiempo de llegada de la señal, a
partir de este punto podemos calcular el retraso en el tiempo y
determinar en qué intervalo de tiempo se encuentra el Objeto Imagen. Si
dividimos la distancia entre el Objeto Fuente y el Objeto Objetivo por
la velocidad de la señal, obtendremos el valor del tiempo de llegada de
la señal. Nuestro objetivo es partir del Espacio-Tiempo Absoluto para
alcanzar el Espacio-Tiempo Aparente. Aquí resumiremos las reglas
generales que ya hemos observado. La velocidad de la señal se
establecerá según las reglas matemáticas de (c+v)(c-v).

El tiempo de llegada de una
señal entre un Objeto Fuente y un Objeto Objetivo es el siguiente. Sin
embargo, esta ecuación no representa una señal que acaba de partir de
su fuente, sino el tiempo de llegada de una señal que ya ha alcanzado
su destino.

Tiempo de
llegada
de la señal tΔ |
= |
Distancia entre la
fuente y el destino
|
x |
d
|
|
|
| Velocidad de la señal
|
(c±v)
|
|
El tiempo tΔ obtenido nos da el retraso en el tiempo. Si restamos el tiempo tΔ del Tiempo Absoluto, podemos determinar la hora que se mostrará en el Objeto Imagen.
Valor de tiempo visto en
el
Objeto Imagen |
= |
Tiempo Absoluto
|
- |
Tiempo de llegada
de la
señal tΔ
|
|
Dado que en el Tiempo Absoluto
existe una unidad de tiempo entre los Objetos Fuente, podemos usar el
valor de nuestro propio reloj en la ecuación. (Estamos ignorando el
tiempo que tomamos para percibir la hora).
| Valor de tiempo visto
en el Objeto Imagen |
= |
Nuestro propio valor
de tiempo
|
- |
Tiempo de
llegada de la seña tΔ
|
|
Ahora, utilizando la siguiente
figura, determinemos la ubicación del Objeto Imagen y el tiempo en el
Objeto Imagen a partir del Objeto Fuente. Supongamos que el Objeto
Fuente se mueve con una velocidad u y en este momento se encuentra en
el punto C. Un observador en el punto A verá el Objeto Imagen a una
distancia de d1 = c . tΔ y en el punto B, que está a d2 = u . tΔ detrás del punto C.
La señal enviada desde el Objeto Fuente cuando estaba en el punto B es
la señal que determina la hora que se mostrará en el Objeto Imagen.
Cuando la señal llega al observador en el punto A, el Objeto Fuente
estará en el punto C, y el Objeto Imagen en el punto B.



Como se puede
observar en la figura, se ha formado un "Triángulo Doppler". Aquí hemos
tomado el Espacio-Tiempo Absoluto como punto de partida y hemos
aplicado las reglas para alcanzar el Espacio-Tiempo Aparente. Pero, por
supuesto, en la práctica no tenemos la posibilidad de aplicar esta
regla en este orden, ya que el Espacio-Tiempo Absoluto es abstracto
para nosotros. En este ejemplo, el observador en el Objeto Objetivo no
ve el Objeto Fuente en el punto B. Solo después de un intervalo de
tiempot Δ, verá su Objeto Imagen en el punto B.

A partir de la
figura, podemos afirmar fácilmente lo siguiente. Un observador puede
determinar la hora en el Objeto Imagen dividiendo la distancia
observada por la constante de la velocidad de la luz. Dado que el
Objeto Imagen es visible, la distancia entre ellos generalmente también
es medible. El resultado de esta división proporciona el tiempo de
llegada de la señal. Si el observador resta este tiempo de su propia
hora, podrá saber qué hora marca el Objeto Imagen.
De este modo, hemos llegado al
mismo resultado tanto desde el Objeto Fuente como desde el Objeto
Imagen, y era precisamente lo que debía ocurrir. Porque en un Triángulo
Doppler, existe la siguiente igualdad para tΔ (basada en la figura anterior).



Podemos expresar esta ecuación de la siguiente manera.

Tiempo de propagación
de la señal tΔ |
= |
Distancia al
Objeto Imagen |
x |
Distancia al Objeto Fuente |
|
|
| Velocidad de la señal ENTRANTE |
Velocidad de la señal SALIENTE |

Finalmente, la respuesta a la pregunta "¿Qué hora es en un Objeto Imagen?" es la siguiente.

Valor de tiempo del
Objeto Imagen |
= |
Valor del Tiempo
Absoluto
|
- |
Tiempo de propagación
de la señal
tΔ
|
|
El significado práctico de esta ecuación es el siguiente.
|
Valor de tiempo del Objeto Imagen
|
=
|
Nuestro propio valor
de tiempo
|
- |
Distancia al Objeto Imagen
|
|
|
Constante de la velocidad
de la luz
|
Por último, escribamos también la velocidad de flujo del Tiempo Aparente en la figura.
La velocidad de flujo del Tiempo Aparente en el Objeto Imagen ha cambiado en t1= t0
. (c+v)/c por segundo.
