17.1.
ECUACIÓN DE VELOCIDAD DE ONDA PARA SEÑALES ENTRANTES

Hemos visto que podemos considerar
uno de los marcos en movimiento como estacionario y el otro en movimiento.
La siguiente figura está dibujada
según los sistemas de referencia que reciben la señal
(los aviones y la estación en la montaña).
- El transmisor emite con una frecuencia de f
0 y una longitud de onda de λ
0
en su propio sistema de referencia.
- En el sistema de referencia del avión superior, el transmisor se aleja de él
en la dirección de la flecha roja.
- En el sistema de referencia del avión inferior, el transmisor se acerca a él
en la dirección de la flecha azul.


En la figura se muestran las velocidades de las señales según sus destinos.

El avión superior recibirá la señal
con una frecuencia de f1 y una longitud de onda de λ1.
También hemos visto que la velocidad de la señal que llega a un sistema de referencia
siempre es c. Por lo tanto, la ecuación de velocidad de onda para el avión superior
es la siguiente:
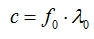
c = f1 . λ1
El avión inferior recibe la señal con una frecuencia de f2
y una longitud de onda de λ2. La velocidad de la señal que le llega
en su propio sistema de referencia también será c. La ecuación de velocidad de onda
para el avión inferior se expresa de la siguiente manera:
c = f2 . λ2
La estación está en reposo con respecto al transmisor.
Por lo tanto, recibe la señal con la misma frecuencia f0
y la misma longitud de onda λ0. La velocidad de la señal que le llega
en su propio sistema de referencia también será c. A partir de esto, podemos escribir
la ecuación de velocidad de onda.
c = f0 . λ0

17.2. ECUACIÓN DE VELOCIDAD DE ONDA PARA SEÑALES SALIENTES

La siguiente figura ha sido dibujada en el sistema de referencia del
transmisor. Según este sistema de referencia, hemos visto que las
señales se propagan hacia el avión que se aleja con una velocidad de
c+v, hacia el avión que se acerca con c-v, y hacia la estación en la
montaña con una velocidad de c. Por otro lado, aunque el transmisor ha
sido diseñado para emitir a una frecuencia f
0 y una longitud de onda λ
0
también hemos observado que, si una señal es dirigida hacia un objetivo
en movimiento, su longitud de onda cambia en el momento de la emisión.

El cambio en la longitud de onda
de una señal enviada solo puede ser detectado en el lado del receptor.
Una persona ubicada junto al transmisor no puede percibir ni medir las
señales de diferentes longitudes de onda que se dirigen hacia los
aviones.

En la figura se muestran las velocidades de las señales respecto al transmisor.

A
pesar de que la frecuencia del transmisor no cambia, hemos visto que
las longitudes de onda de las señales dirigidas a los aviones varían.
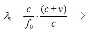
Usando esta información en la ecuación de velocidad de onda,
determinamos las velocidades de las señales dirigidas a los aviones en
el sistema de referencia del transmisor.

| Velocidad de la señal hacia el avión que se aleja |
c1 = c +v =f0 . λ1 |
| Velocidad de la señal hacia el avión que se acerca |
c2 = c -v =f0 . λ2 |
| Velocidad de la señal hacia la estación |
c = f0 . λ0 |


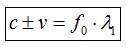
Por lo tanto, la regla general para la velocidad de una señal saliente es la siguiente:
La velocidad de una señal que se dirige a un objetivo
en movimiento es igual al producto de la frecuencia de la señal en el
sistema de referencia del emisor por la longitud de onda de la señal
medida en el sistema de referencia del receptor. Es importante recalcar
que este valor de velocidad de la señal está expresado en relación con
el sistema de referencia del transmisor. Esta ecuación puede resumirse
de la siguiente manera: Velocidad de la señal saliente =
Frecuencia del transmisor × Longitud de onda en el receptor = c ± v

RESULTADO GENERAL PARA LAS VELOCIDADES DE SEÑAL

Velocidad de la señal entrante = Frecuencia del receptor × Longitud de onda del receptor = c

Velocidad de la señal saliente=Frecuencia del transmisor×Longitud de onda del receptor = c±v
|

Regresemos
ahora al ejemplo utilizado en la sección sobre desplazamiento de bytes,
relacionado con el bit 44. Anteriormente, habíamos calculado los
cambios en la longitud de onda y las velocidades de las señales
dirigidas a los aviones que se alejan y se acercan. Esta vez,
calculemos las velocidades de las señales utilizando la ecuación de
velocidad de onda. En la siguiente tabla se presentan las velocidades
de las señales calculadas. Como se puede observar, los valores
obtenidos para las velocidades de las señales son los mismos.

| Descripción |
Fórmula
|
Valor
|
Unidad
|
| Configuración
de fábrica del transmisor |
| Frecuencia |
f0 |
3.18 |
GHz |
| Longitud de onda |
λ0 |
0.09427435786 |
m |
| Constantes |
| Constante de la velocidad de
la luz |
c |
299792458 |
m/sn |
| Velocidad de los aviones |
v |
850 |
m/sn |
| Longitudes
de onda de la señal |
| Longitud de onda de la señal
hacia el avión que se aleja |
λ1 |
0,09427462516 |
m |
| Longitud de onda de la señal
hacia el avión que se acerca |
λ2 |
0,09427409057 |
m |
| Velocidades de
la señal saliente según el transmisor (cálculo con la suma de
velocidades) |
| Velocidad de la señal hacia
el avión que se aleja |
c
+ v |
299793308 |
m/sn |
| Velocidad de la señal hacia
el avión que se acerca |
c
- v |
299791608 |
m/sn |
Velocidades
de la señal saliente según el transmisor (cálculo con la ecuación de
velocidad de onda)
Velocidad de la onda electromagnética =
Frecuencia del transmisor × Longitud de onda en el receptor |
| Velocidad de la señal hacia
el avión que se aleja |
f0
. λ1 |
299793308 |
m/sn |
| Velocidad de la señal hacia
el avión que se acerca |
f0
. λ2 |
299791608 |
m/sn |

Esta relación entre la velocidad de onda, la frecuencia y la longitud de onda
ya se muestra claramente en la matemática de (c+v)(c-v)(*).
Configuración de fábrica de la fuente de señal 
[1]

Cambio de longitud de onda
[2]

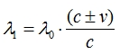
A partir de las ecuaciones uno y dos, obtenemos la siguiente tercera ecuación.

Ecuación de Velocidad de Onda
[3]
(c±v) : Velocidad de la señal saliente, f0 : Frecuencia del transmisor, λ1
: Longitud de onda de la señal medida en el receptor.
Esta ecuación nos da la regla de velocidad
a la que está sujeta una señal que sale del transmisor.
Ya sabemos que la parte c±v en la ecuación representa
la velocidad de la señal SALIENTE en el sistema de referencia del transmisor.