14. ECUACIONES DE ALICE

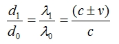
Hemos visto que el cambio en la longitud de onda en el Desplazamiento Doppler es el siguiente:



[1]
λ0 = Longitud de onda original
λ1 = Cambio en la longitud de onda
También hemos visto la relación entre las distancias y las velocidades de la señal en esta sección:
[2]
d0 = Distancia recorrida por la señal ENTRANTE según el receptor
c = Velocidad de la señal ENTRANTE según el receptor
d1 = Distancia recorrida por la señal SALIENTE según el transmisor
(c+v) = Velocidad de la señal SALIENTE según el transmisor
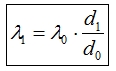
Por lo tanto, a partir de [1] y [2] obtenemos [3]:



[3]
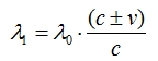
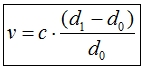
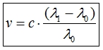
A partir de [3], obtenemos las ecuaciones [4], [5] y [6]:
Estas ecuaciones las he denominado Ecuaciones de Alice.
1) Cambio de la longitud de onda en función de las distancias:



[4]
2) Métodos de cálculo del valor de v:


[5]


[6]