13. SOBRE EL VALOR DE "v" EN LAS MATEMÁTICAS (c+v)(c-v)
En las matemáticas (c+v)(c-v), el valor de v tiene dos significados:
Es la velocidad relativa de aproximación o alejamiento entre dos sistemas de referencia.
Es la desviación de la velocidad de la luz.
En los ejemplos que he dado hasta ahora, los movimientos siempre
ocurrían sobre el eje X. Por esta razón, pudimos usar directamente el
valor de velocidad "v" en las matemáticas (c+v)(c-v) sin necesidad de
calcularlo explícitamente. Sin embargo, esta situación no siempre es
posible.
La siguiente figura muestra cómo se debe calcular el valor de v para un
sistema de referencia que se mueve en cualquier dirección.



En la figura, se pueden ver tres cuadros separados.
En cada cuadro, los aviones se mueven en diferentes direcciones (en la dirección de la flecha).
Estamos examinando el evento desde el sistema de referencia de un observador en tierra.
Voy a explicar el cuadro de la izquierda.
Cuando el avión está en el punto B, una señal enviada desde el punto A
llega al avión en el punto C.
Dibujamos un arco centrado en A con un radio igual al segmento AB.
Trazamos una segunda línea que une el punto A con el punto C y que corta el arco.
La distancia OC representa el valor de v en las matemáticas (c+v)(c-v). ¿Por qué?
Aplicamos los principios. Supongamos que el avión está en reposo en el punto B.
Se le envía una señal desde el punto A.
Dado que, según el avión, la velocidad de la señal que le llega es c,
podemos determinar el tiempo que tarda la señal en llegar al avión.
Este tiempo será tΔ = AB/c.
El tiempo tΔ que hemos obtenido también es válido en el sistema de referencia del transmisor.
Sin embargo, si observamos con atención, la señal llega al punto C
siguiendo la trayectoria AC desde la perspectiva del observador en tierra.
Por lo tanto, según el observador en tierra,
la velocidad de la señal que se dirige al avión será c' = AC/tΔ.
Dado que AC=AO+OC, podemos definir la distancia OC,
que determina el cambio en la velocidad de la señal,
como un valor de velocidad v, escribiendo OC = v.tΔ.
Dado que AO=AB, tenemos que AO =c. tΔ. Por lo tanto;
AC = c . tΔ + v . tΔ = tΔ . (c+v).
Esto significa que (c+v) es la velocidad de la señal desde la perspectiva del observador en tierra.
La distancia OC también representa cuánto se han alejado
(o acercado) entre sí los dos sistemas de referencia durante el tiempo tΔ.
De esta manera, utilizando el "tiempo",
hemos obtenido y verificado las matemáticas (c+v)(c-v).
Como resultado, el valor de v representa la velocidad relativa
entre los dos sistemas de referencia (v)
y al mismo tiempo la variación en la velocidad de la luz (c±v).
Para que puedas seguir el tema con facilidad, he incluido la misma figura en esta página.




Hablemos un poco sobre el punto C.
La posición del punto C está determinada por el tiempo t
Δ
transcurrido desde la emisión de la señal hasta su llegada al avión.
Si llamamos "u" a la velocidad del avión,
durante este tiempo el avión recorrerá la distancia BC = u . t
Δ en la dirección de la flecha.
13.1. TRIÁNGULO DOPPLER

Si observamos con atención, veremos que el triángulo ABC en la figura
es un triángulo muy especial.
He llamado a este triángulo único "
Triángulo Doppler".
Para un "Triángulo Doppler", la duración del tiempo de llegada de la señal
"tΔ" es el factor determinante en la longitud de sus lados.
AB = c . t
Δ
BC = u . t
Δ
AC= (c+v). t
Δ (para la figura de la izquierda)
Asimismo, la posición del punto O es muy especial. OC = v . t
Δ
Los cálculos del Desplazamiento Doppler deben realizarse basándose en este triángulo especial.
Hagamos los cálculos de la misma manera para la figura de la derecha.
AB = c . t
Δ
BC = u . t
Δ
OC = v. t
Δ
AC= c . t
Δ - v. t
Δ = t
Δ . (c-v)
Por lo tanto, la velocidad de la señal que se dirige al avión en la figura de la derecha será = c-v.
Si observamos con atención:
La longitud AB es la distancia entre la fuente de la señal y su destino
en el momento en que se emite la señal.
La longitud AC es la distancia entre la fuente de la señal y su destino
en el momento en que la señal llega.
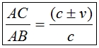
Escribamos AC= (c±v). t
Δ para representar tanto la figura de la izquierda como la de la derecha.
AB = c . t
Δ, por lo que si dividimos ambos lados de la ecuación:

obtenemos esto.
Esto nos lleva a un resultado muy importante. Podemos expresar esta ecuación de la siguiente manera:
Distancia entre dos tramas en el momento de llegada
de la señal |
= |
Velocidad de propagación
de la señal |
|
|
Distancia entre dos tramas en el momento de
transmisión
de la señal |
Constante de la velocidad
de la luz |
|

Sin embargo, con el tiempo, noté que había una deficiencia en la forma en que se escribía la ecuación anterior.
Creo que es más correcto expresarla de la siguiente manera.
Aclaro que estas ecuaciones son válidas entre sistemas de referencia inerciales.
Distancia recorrida por la señal SALIENTE
con
respecto al transmisor |
= |
Velocidad de la señal SALIENTE
con respecto al
transmisor |
|
|
Distancia recorrida por la señal ENTRANTE
con
respecto al receptor |
Velocidad de la señal ENTRANTE
con respecto al
receptor |
|

Continuamos con la misma figura.
Cuando pensamos en los principios, la ecuación se entiende más fácilmente.
Basándonos en los ejemplos de la figura, podemos decir lo siguiente:
-
Distancia recorrida por la señal SALIENTE según el transmisor:
Desde el sistema de referencia del transmisor, la señal seguirá la línea AC y llegará al avión en el punto C.
Por lo tanto, la distancia recorrida por la señal según el transmisor será AC.
-
Distancia recorrida por la señal ENTRANTE según el receptor:
Recordemos los principios.
Si consideramos que el avión está en reposo en el punto B,
entonces el transmisor será el que esté en movimiento.
El transmisor emite la señal desde el punto A.
En este caso, según el sistema de referencia del avión,
la señal llegará por la línea AB.
Por lo tanto, la distancia recorrida por la señal según el sistema de referencia del avión será AB.
-
Velocidad de la señal SALIENTE según el transmisor:
Hasta ahora, hemos aprendido lo suficiente sobre este tema.
La velocidad de una señal que se dirige hacia un objetivo en movimiento
siempre será diferente de "c" según el sistema de referencia del transmisor.
Solo hay una excepción a esta regla, que veremos en breve.
-
Velocidad de la señal ENTRANTE según el receptor:
Hemos visto que, según el sistema de referencia del receptor,
la velocidad de una señal que le llega siempre será constante e igual a "c".
Continuamos con la misma figura.



¿Qué es el Corrimiento al Azul, el Punto Muerto y el Corrimiento al Rojo en el
Desplazamiento Doppler?
Si una onda electromagnética se dirige hacia un objetivo en movimiento,
su longitud de onda original cambiará en el momento de su emisión,
como hemos visto anteriormente.
El cambio en la longitud de onda también implica un cambio en la energía de la onda electromagnética.
El Corrimiento al Azul representa un aumento de energía,
mientras que el Corrimiento al Rojo indica una disminución de energía.

● Corrimiento al Rojo
La imagen de la izquierda en la figura.
Se manifiesta como un alargamiento de la longitud de onda de la señal.
Se representa con (c+v). En este caso, se cumplen las siguientes condiciones:
• AC > AB
• Velocidad de emisión de la señal > Velocidad de la luz constante
• Velocidad de la señal SALIENTE según el transmisor > Velocidad de la señal ENTRANTE según el receptor

● Punto Muerto
La imagen central en la figura representa la situación de "Punto Muerto".
Incluso si ambos marcos de referencia están en movimiento relativo,
hay un momento en el que no se produce el Desplazamiento Doppler.
En este caso, la longitud de onda de la señal no cambia y se cumplen las siguientes condiciones:
• • AC = AB
• Velocidad de emisión de la señal = Velocidad de la luz constante
• Velocidad de la señal SALIENTE
según el transmisor = Velocidad de la señal ENTRANTE según el receptor
= Velocidad de la luz constante

● Corrimiento al Azul
La imagen de la derecha en la figura.
Se manifiesta como un acortamiento de la longitud de onda de la señal.
Se representa con (c-v). En este caso, se cumplen las siguientes condiciones:
• AB > AC
• Velocidad de la luz constante > Velocidad de emisión de la señal
• Velocidad de la señal ENTRANTE según el receptor > Velocidad de la señal SALIENTE según el transmisor

13.2. CUADRILÁTERO DOPPLER



En la figura de arriba, vemos aviones moviéndose en diferentes direcciones
y velocidades según el sistema de referencia del observador en tierra.
A la izquierda y a la derecha de la figura se representan dos situaciones diferentes.
En la parte derecha de la figura, los aviones se mueven en direcciones opuestas entre sí.
Veamos cómo se produce el Desplazamiento Doppler entre los dos aviones. En la figura:
Los puntos A y C representan las coordenadas en el momento en que los aviones envían señales entre sí.
Los puntos B y D representan las coordenadas cuando las señales alcanzan los aviones.
Las distancias AB y CD representan los trayectos recorridos por los aviones durante el tiempo de propagación de la señal.
La distancia AC representa el camino recorrido por la señal según el receptor.
La distancia BD representa el camino recorrido por la señal según el transmisor.
El tiempo de llegada de la señal para ambos aviones será tΔ = AC/c.


Ahora analicemos la imagen de la izquierda.
Vemos que se forma el cuadrilátero ABDC.
El tiempo de llegada de la señal "t
Δ" determina las longitudes de los lados del cuadrilátero ABCD.
A este cuadrilátero especial lo he llamado "
Cuadrilátero Doppler".
Longitudes de los lados del Cuadrilátero Doppler ABCD:
AB = t
Δ . u
1
CD = t
Δ . u
2
AC = t
Δ . c
BD = t
Δ . (c±v)
u
1 y u
2 representan las velocidades de los aviones (referencias).
v representa la variación en la velocidad de la señal.
Si AC>BD, entonces v es negativo; si AC<BD, entonces v es positivo.

En la imagen de la derecha, también vemos el Cuadrilátero Doppler ABDC.
Sin embargo, debido a que los aviones se mueven en direcciones opuestas,
se pliega sobre dos de sus lados.
Las mismas ecuaciones anteriores son válidas para este cuadrilátero.

Si estamos observando un evento desde el exterior y ambos sistemas de referencia se mueven con respecto a nosotros,
es necesario considerar el Cuadrilátero Doppler.